Synthesis and Electrical Conductivity of Nanocrystalline Scandium Fluoride
- Authors: Sorokina N.I.1, Buchinskaya I.I.1
-
Affiliations:
- Shubnikov Institute of Crystallography of Kurchatov Complex of Crystallography and Photonics of NRC “Kurchatov Institute”
- Issue: Vol 59, No 8 (2023)
- Pages: 896-903
- Section: Articles
- URL: https://journals.rcsi.science/0002-337X/article/view/231971
- DOI: https://doi.org/10.31857/S0002337X23080158
- EDN: https://elibrary.ru/XNRPOS
- ID: 231971
Cite item
Full Text
Abstract
Phase-pure ScF3 nanocrystals (ReO3 structure, sp. gr.
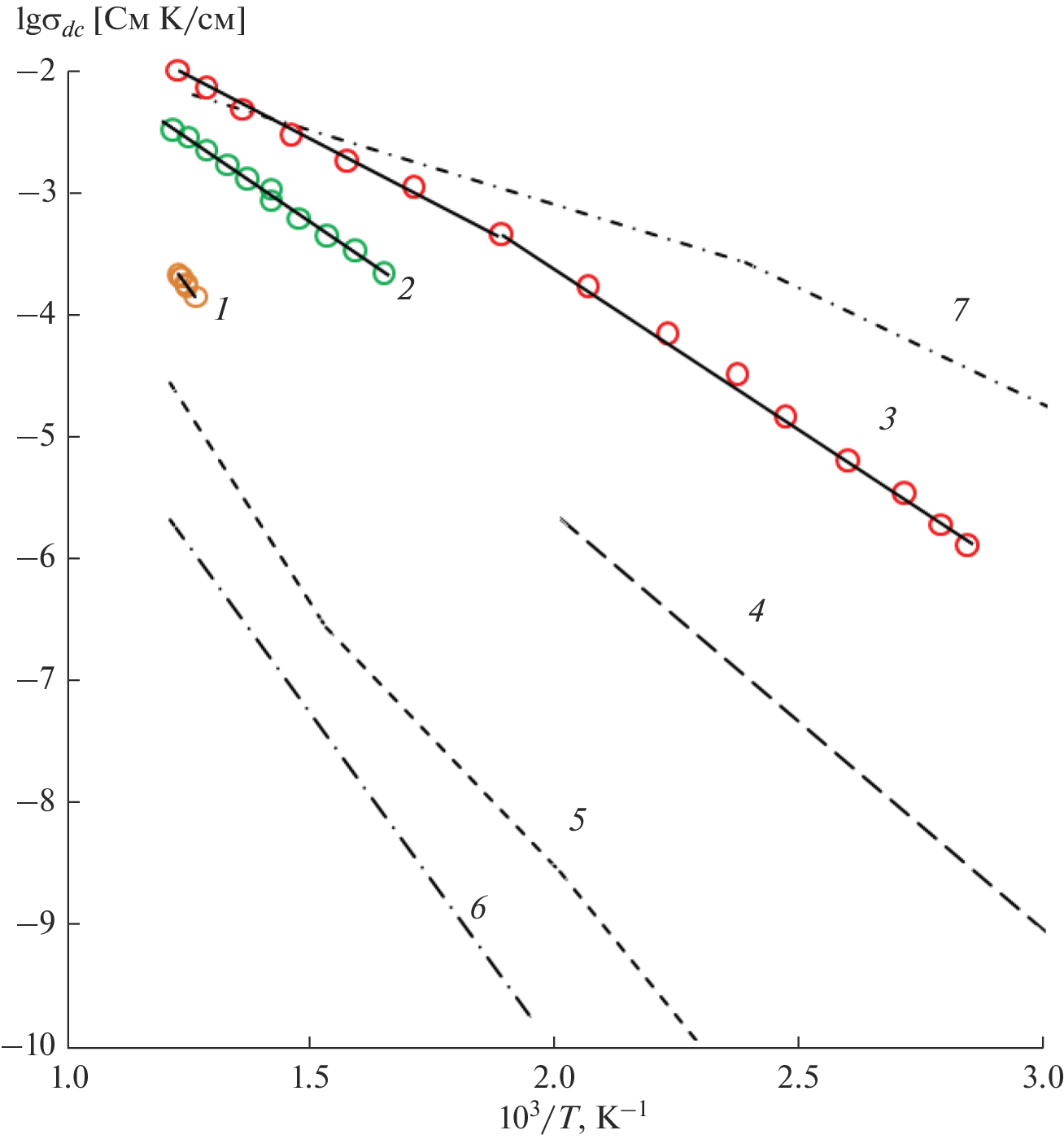
) with an average grain size of ~20 nm and unit-cell parameter a = 4.0054 ± 0.0002 Å were prepared by a mild chemical method (precipitation from aqueous ScCl3 by HF). The nanopowders were cold-pressed into ceramic compacts and their ionic conductivity was measured and determined to be 1.0 × 10–5 S/cm at 673 K. The activation energy for ion transport in the ceramics is 1.09 ± 0.05 eV. The electrical conductivity of nanocrystalline ScF3 exceeds that of microcrystalline and single-crystal scandium fluoride by 25 and 250 times, respectively.
About the authors
N. I. Sorokina
Shubnikov Institute of Crystallography of Kurchatov Complex of Crystallography and Photonics of NRC “Kurchatov Institute”
Email: agapova@polly.phys.msu.ru
Russian Federation, 119333, Moscow, Russia
I. I. Buchinskaya
Shubnikov Institute of Crystallography of Kurchatov Complex of Crystallography and Photonics of NRC “Kurchatov Institute”
Author for correspondence.
Email: buchinskayii@gmail.com
Russian Federation, 119333, Moscow, Russia
References
- Бучинская И.И., Сорокин Н.И. Нанокристаллические растворы R1−xScxF3 (R = La, Pr) со структурой тисонита: синтез и электропроводность // Журн. неорган. химии. 2023. Т. 68. № 7. С. 877–884. https://doi.org/10.31857/S0044457X23600044
- Сорокин Н.И., Ивановская Н.А., Бучинская И.И. Ионная проводимость нанокерамики холодного прессования Pr0.9Pb0.1F2.9, полученной механосинтезом компонентов // ФТТ. 2023. Т. 65. № 1. С. 106–111.
- Кузнецов С.В., Федоров П.П., Воронов В.В., Самарина К.С., Осико В.В. Синтез порошков Ba4R3F17 (R – редкоземельные элементы) из водных растворов // Журн. неорган. химии. 2010. Т. 55. № 4. С. 536–545.
- Сорокин Н.И., Ивановская Н.А., Соболев Б.П. Ионная проводимость керамик холодного прессования из помола синтезированных реакцией в расплаве твердых электролитов R0.95M0.05F2.95 (R = La, Nd; M = Ca, Sr, Ba) // Кристаллография. 2014. Т. 59. № 2. С. 286–289. https://doi.org/10.7868/S002347611402026X
- Гарашина Л.С., Соболев Б.П., Александров В.Б., Вишняков Ю.С. О кристаллохимии фторидов редкоземельных элементов // Кристаллография. 1980. Т. 25. № 2. С. 294–300.
- Болотина Н.Б., Черная Т.С., Верин И.А., Хрыкина О.Н., Соболев Б.П. Диморфизм кристаллов RF3 (R = La–Nd) по данным рентгенодифракционных исследований // Кристаллография. 2016. Т. 61. № 1. С. 36–41. https://doi.org/10.7868/S0023476116010045
- Spedding F.H., Beaudry B.J., Henderson D.C., Moorman J. High-Temperature Enthalpies and Related Thermodynamic Functions of the Trifluorides of Sc, Ce, Sm, Eu, Gd, Tb, Dy, Er, Tm, and Yb // J. Chem. Phys. 1974. V. 60. № 4. P. 1578–1588.
- Karimov D., Buchinskaya I., Arkharova N., Prosekov P., Grebenev V., Sorokin N., Glushkova T., Popov P. Growth from the Melt and Properties Investigation of ScF3 // Crystals. 2019. V. 9. P. 371–387. https://doi.org/10.3390/cryst9070371
- Сорокин Н.И., Каримов Д.Н., Гребенев В.В., Соболев Б.П. Ионная проводимость монокристаллов ScF3 (тип ReO3) // Кристаллография. 2016. Т. 61. № 2. С. 270–274. https://doi.org/10.7868/S0023476116020284
- Федоров П.П., Трновцова В., Кочерба Г.И., Соболев Б.П. Ионная проводимость и диэлектрическая релаксация фторида скандия // Кристаллография. 1995. Т. 40. № 4. С. 716–720.
- Сорокин Н.И., Соболев Б.П. Фтор-ионная проводимость разных технологических форм твердых электролитов R1−yMyF3−y (тип LaF3) (M = Ca, Sr, Ba; R − редкоземельные элементы) // Кристаллография. 2016. Т. 61. № 3. С. 468–474. https://doi.org/10.7868/S0023476116020296
- Patro L.N. Role of Mechanical Milling on the Synthesis and Ionic Transport Properties of Fast Fluoride Ion Conducting Materials // J. Solid State Electrochem. 2020. V. 24. P. 2219–2232. https://doi.org/10.1007/s10008-020-04769-x
- Puin W., Rodewald S., Ramlau R., Heitjans P., Maier J. Local and Overall Ionic Conductivity in Nanocrystalline CaF2 // Solid State Ionics. 2000. V. 131. № 1–2. P. 159–164.
- Gaurkhede G.S. Synthesis and Studies Room Temperature Conductivity, Dielectric Analysis of LaF3 Nanocrystals // Nanosystems: Phys. Chem. Math. 2014. V. 5. № 6. P. 843–848.
- Patro L.N., Bharathi K.K., Raju N.R.C. Microstructural and Ionic Transport Studies of Hydrothermally Synthesized Lanthanum Fluoride Nanoparticles // AIP Adv. 2014. V. 4. P. 127139. https://doi.org/10.1063/1.4904949
- Breuer S., Gombotz M., Pregartner V., Hanzu I., Martin H., Wilkening R. Heterogeneous F Anion Transport, Local Dynamics and Electrochemical Stability of Nanocrystalline La1–xBaxF3–x // Energy Storage Mater. 2019. V. 16. P. 481–503. https://doi.org/10.1016/j.ensm.2018.10.010
- Breur S., Lunghammer S., Kiesl A., Wilkening M. F Anion Dynamics in Cation-Mixed Nanocrystalline LaF3: SrF2 // J. Mater. Sci. 2018. V. 53. P. 13669–13681. https://doi.org/10.1007/s10853-018-2361-x
- Chable J., Martin A.G., Bourdin A., Legein C., Jouanneaux A., Crosuier-Lopez M.P., Galven C., Pieudonne B., Leblanc M., Demourgnes A., Maisonneuve V. Fluoride Solid Electrolytes: From Microcrystalline to nanostructured tysonite-type La0.95Ba0.05F2.95 // J. Alloys Compd. 2017. V. 692. P. 980–988. doi: j.jallcom.2016.09.135
- Duvel A., Bendarcik J., Sepelak V., Heitjans P. Mechanosynthesis of the Fast Fluoride Ion Conductor BaLaF – from the Fluorite to the Tysonite Structure // J. Phys. C. 2014. V. 118. № 13. P. 7117–7129. https://doi.org/10.1021/JP410018T
- Маякова М.Н., Кузнецов С.В., Воронов В.В., Баранчиков А.Е., Иванов В.К., Федоров П.П. Синтез порошков в системе BaF2–ScF3 методом мягкой химии // Журн. неорган. химии. 2014. Т. 59. № 7. С. 988–992. https://doi.org/10.7868/S0044457X14070228
- Fedorov P.P., Luginina A.A., Kuznetsov S.V., Osiko V.V. Nanofluorides // J. Fluor. Chem. 2011. V. 132. P. 1012–1039.
- Маякова М.Н., Кузнецов С.В., Федоров П.П., Воронов В.В., Ермаков Р.П., Болдырев К.Н., Карбань О.В., Уваров О.В., Баранчиков А.Е., Осико В.В. Синтез и исследование ксерогелей фторидов // Неорган. материалы. 2013. Т. 49. № 11. С. 1242–1246. https://doi.org/10.7868/S0002337X13110109
- Кузнецов С.В., Осико В.В., Ткаченко Е.А., Федоров П.П. Неорганические нанофториды и нанокомпозиты на их основе // Успехи химии. 2006. Т. 75. № 12. С. 1193–1211.
- Boultifand A., Louer D. Powder Pattern Indexing with the Dichotomy Method // J. Appl. Crystallogr. 2004. V. 37. P. 724–731. https://doi.org/10.1107/S0021889804014876
- Petricek V., Dusek M., Palatinus L. Crystallographic Computing System JANA2006: General Features // Z. Kristallogr. – Cryst. Mater. 2014. B. 229. S. 345–352. https://doi.org/10.1515/zkri-2014-1737
- Болдырев В.В. Экспериментальные методы в механохимии твердых неорганических веществ. Новосибирск: Наука, 1983. 65 с.
- Иванов-Шиц А.К., Сорокин Н.И., Федоров П.П., Соболев Б.П. Проводимость твердых растворов Sr1–xLaxF2+x (0.03 ≤ x ≤ 0.40) // ФТТ. 1983. Т. 25. № 6. С. 1748–1753.
- Александров К.С., Воронов А.Н., Втюрин А.Н., Крылов А.С., Молокеев М.С., Павловский М.С., Горяйнов С.В., Лихачева А.Н., Анчаров А.И. Индуцированный давлением фазовый переход в кубическом кристалле ScF3 // ФТТ. 2009. Т. 51. № 4. С. 764–770.
- Гусев А.И. Наноматериалы, наноструктуры, нанотехнологии. М.: ФИЗМАТЛИТ, 2005. 416 с.
- Федоров П.П., Кузнецов С.В., Маякова М.Н., Воронов В.В., Ермаков Р.П., Баранчиков А.Е., Осико В.В. Синтез бинарных фторидов методом соосаждения из водных растворов // Журн. неорган. химии. 2011. Т. 56. № 10. С. 1604–1610.
- Achary K.R., Rao Y.B., Patro L.N. Structural and Transport Properties of Machanochemically Synthesized La0.9Ba0.1F2.9 and La0.9Ba0.05Ca0.05F2.9 // Mater. Lett. 2021. V. 301. P. 130337. https://doi.org/10.1016/j.matlet.2021.130337
- Мурин И.В., Глумов О.В., Амелин Ю.В. Механизм ионного переноса в LaF3 // Журн. прикл. химии. 1980. Т. 53. № 7. С. 1474–1478.
- Сорокин Н.И., Смирнов А.Н., Федоров П.П., Соболев Б.П. Суперионная фторидная керамика RF3 и R0.95M0.05F2.95 (R = La, Ce, Pr, Nd), полученная горячим прессованием // Электрохимия. 2009. Т. 45. № 5. С. 641–644.
- Сорокин Н.И., Фоминых М.В., Кривандина Е.А., Жмурова З.И., Соболев Б.П. Ионный перенос в твердых растворах R1–xSrxF3–x со структурой типа LaF3 (тисонита) // Кристаллография. 1996. Т. 41. № 2. С. 310–319.
- Алиев А.Э. Транспортные свойства суперионных кристаллов со структурой тисонита // Электрохимия. 1990. Т. 26. № 1. С. 79–81.
- Бучинская И.И., Теплякова Т.О., Сорокин Н.И., Каримов Д.Н. Композиционные материалы в системе CaF2–BaF2 // Кристаллография. 2023. Т. 68. № 2. С. 306–312. https://doi.org/10.31857/S0023476123020054
Supplementary files





