Thermal Conductivity of Fine-Grained Nd:YAG/SiC Composite Ceramics for Inert Fuel Matrices
- Authors: Alekseeva L.S.1, Nokhrin A.V.2, Orlova A.I.1, Boldin M.S.2, Lantsev E.A.2, Murashov A.A.1, Chuvil’deev V.N.2, Moskvichev A.A.3
-
Affiliations:
- Lobachevsky State University
- Lobachevsky State University of Nizhny Novgorod
- Mechanical Engineering Research Institute, Russian Academy of Sciences
- Issue: Vol 59, No 6 (2023)
- Pages: 689-695
- Section: Articles
- URL: https://journals.rcsi.science/0002-337X/article/view/140203
- DOI: https://doi.org/10.31857/S0002337X23060027
- EDN: https://elibrary.ru/EKEGJU
- ID: 140203
Cite item
Full Text
Abstract
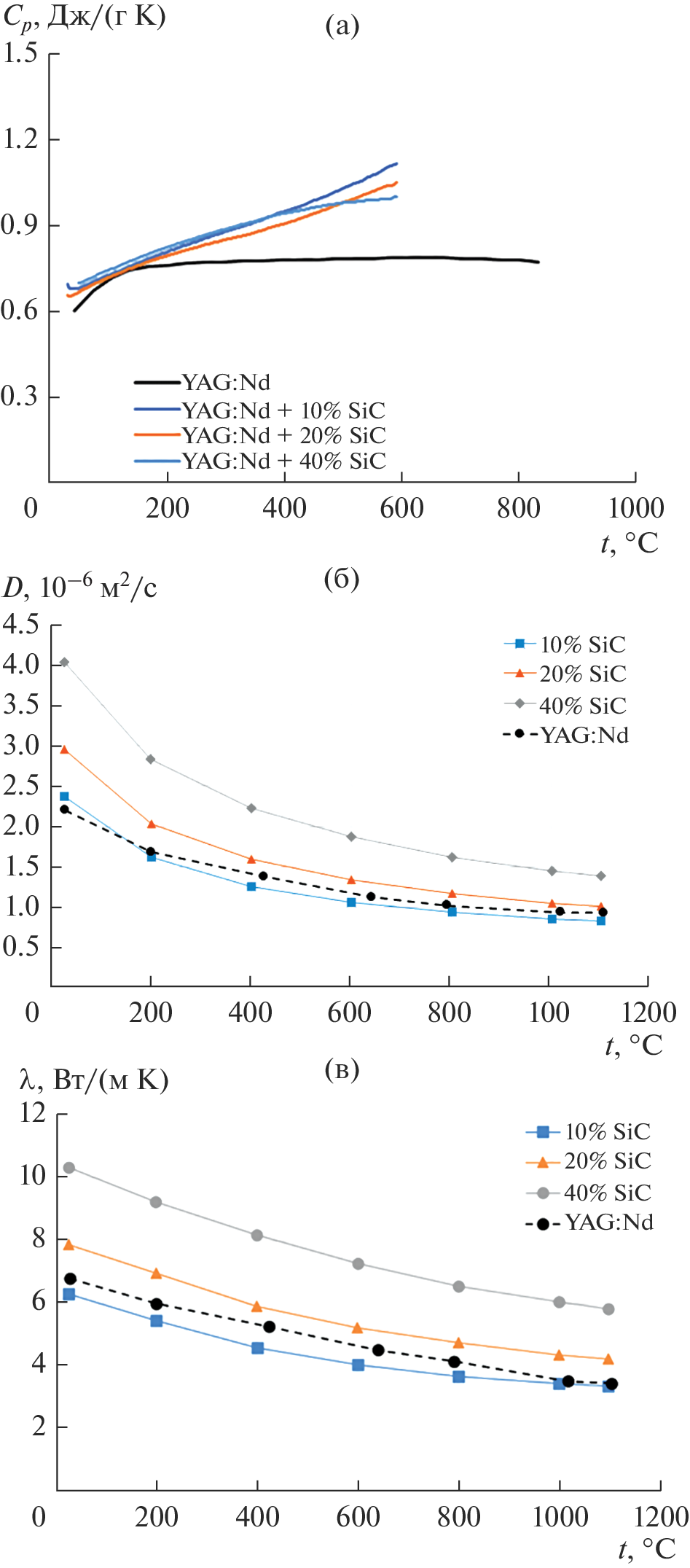
We have studied the thermophysical properties (specific heat, thermal diffusivity, and thermal conductivity) of fine-grained ceramic composites based on yttrium aluminum garnet, Y2.5Nd0.5Al5O12 (Nd:YAG), differing in silicon carbide (α-SiC) content. The thermal conductivity of the Nd:YAG/SiC composites has been shown to exceed that of CeO2/SiC and Nd:YAG/Ni composites. The high thermal conductivity of Nd:YAG/SiC is due to the formation of a grain microstructure with a bimodal grain size distribution, in which large garnet grains are surrounded by regions enriched in the high-thermal-conductivity phase α-SiC.
Keywords
About the authors
L. S. Alekseeva
Lobachevsky State University
Email: golovkina_lyudmila@mail.ru
603022, Nizhny Novgorod, Russia
A. V. Nokhrin
Lobachevsky State University of Nizhny Novgorod
Email: nokhrin@nifti.unn.ru
Russia, 603022, Nizhny Novgorod
A. I. Orlova
Lobachevsky State University
Email: golovkina_lyudmila@mail.ru
Russia, Nizhniy Novgorod, 603022
M. S. Boldin
Lobachevsky State University of Nizhny Novgorod
Email: nokhrin@nifti.unn.ru
Russia, 603022, Nizhny Novgorod
E. A. Lantsev
Lobachevsky State University of Nizhny Novgorod
Email: nokhrin@nifti.unn.ru
Russia, 603022, Nizhny Novgorod
A. A. Murashov
Lobachevsky State University
Email: golovkina_lyudmila@mail.ru
603022, Nizhny Novgorod, Russia
V. N. Chuvil’deev
Lobachevsky State University of Nizhny Novgorod
Email: semenycheva@nifti.unn.ru
Russia, 603022, Nizhny Novgorod
A. A. Moskvichev
Mechanical Engineering Research Institute, Russian Academy of Sciences
Author for correspondence.
Email: golovkina_lyudmila@mail.ru
603024, Nizhny Novgorod, Russia
References
- O’Brien R.C., Ambrosi R.M., Bannister N.P., Howe S., Atkinson H. Spark Plasma Sintering of Simulated Radioisotope Materials within Tungsten Cermets // J. Nucl. Mater. 2009. V. 39. P. 108–113. https://doi.org/10.1016/j.jnucmat.2009.05.012
- O’Brien R.C., Jerred N.D. Spark Plasma Sintering of W-UO2 Cermets // J. Nucl. Mater. 2013. V. 433. P. 50–54. https://doi.org/10.1016/j.jnucmat.2012.08.044
- Williams H.R., Ning H., Reece M.J., Ambrosi R.M., Bannister N.P., Stephenson K. Metal Matrix Composite Fuel for Space Radioisotope Energy Sources // J. Nucl. Mater. 2013. V. 433. № 1–3. P. 116–123. https://doi.org/10.1016/j.jnucmat.2012.09.030
- Kamel N., Aϊt-Amar H., Kamel Z., Souami N., Telmoune S., Ouarezki S. On the Basic Properties of an Iron-Based Simulated Cermet Inert Matrix Fuel, Synthesized by a Dry Route in Oxidizing Conditions // Prog. Nucl. Energy. 2006. V. 48. P. 590–598. https://doi.org/10.1016/j.pnucene.2006.03.004
- Gregg D.J., Karatchevtseva I., Triani G., Lumpkin G.R., Vance E.R. The Thermophysical Properties of Calcium and Barium Zirconium Phosphate // J. Nucl. Mater. 2013. V. 441. № 1–3. P. 203–210. https://doi.org/10.1016/j.jnucmat.2013.05.075
- Ryu H.J., Lee Y.W., Cha S.I., Hong S.H. Sintering Behaviour and Microstructures of Carbides and Nitrides for the Inert Matrix Fuel by Spark Plasma Sintering // J. Nucl. Mater. 2006. V. 352. P. 341–348. https://doi.org/10.1016/j.jnucmat.2006.02.089
- Raison P.E., Haire R.G. Structural Investigation of the Pseudo-Ternary System AmO2–Cm2O3–ZrO2 as Potential Materials for Transmutation // J. Nucl. Mater. 2003. V. 320. № 1–2. P. 31–35. https://doi.org/10.1016/S0022-3115(03)00165-X
- Potanina E., Golovkina L., Orlova A., Nokhrin A., Boldin M., Sakharov N. Lanthanide (Nd, Gd) Compounds with Garnet and Monazite Structures. Powders Synthesis by “Wet” Chemistry to Sintering Ceramics by Spark Plasma Sintering // J. Nucl. Mater. 2016. V. 473. P. 93–98. https://doi.org/10.1016/j.jnucmat.2016.02.014
- Лившиц Т.С. Изоморфизм актиноидов и РЗЭ в синтетических ферритных гранатах // Геология рудных месторождений. 2010. Т. 52. № 1. С. 54–64.
- Томилин С.В., Лизин А.А., Лукиных А.Н., Лившиц Т.С. Радиационная и химическая устойчивость алюмоиттриевого граната // Радиохимия. 2011. Т. 53. № 2. С. 162–165.
- Лившиц Т.С., Лизин А.А., Джанг Дж., Юинг Р.Ч. Аморфизация редкоземельных алюминатных гранатов при ионном облучении и распаде примеси 244Cm // Геология руд. месторождений. 2010. Т. 52. № 4. С. 297–309.
- Stockmeier M., Sakwe S.A., Hens P., Wellmann P.J., Hock R., Magerl A. Thermal Expansion Coefficients of 6H Silicon Carbide // Mater. Sci. Forum. 2009. V. 600–603. P. 517–520. https://doi.org/10.4028/www.scientific.net/MSF.600-603.517
- Wang J., Xu F., Wheatley R.J., Neate N.C., Hou X. Yb3+ Doping Effects on Thermal Conductivity and Thermal Expansion of Yttrium Aluminium Garnet // Ceram. Int. 2016. V. 42. № 12. P. 14228–14235. https://doi.org/10.1016/j.ceramint.2016.06.034
- Chuvil’deev V.N., Boldin M.S., Nokhrin A.V., Popov A.A. Advanced Materials Obtained by Spark Plasma Sintering // Acta Astronaut. 2017. V. 135. P. 192–197. https://doi.org/10.1016/j.actaastro.2016.09.002
- Алексеева Л.С., Нохрин А.В., Каразанов К.О., Орлова А.И., Болдин М.С., Ланцев Е.А., Мурашов А.А., Чувильдеев В.Н. Исследование механических свойств и стойкости к термоудару мелкозернистой керамики YAG:Nd/SiC // Неорган. материалы. 2022. Т. 58. № 2. С. 209–214. https://doi.org/10.1134/S0020168522020017
- Golovkina L.S., Orlova A.I., Chuvil’deev V.N., Boldin M.S., Lantcev E.A., Nokhrin A.V., Sakharov N.V., Zelenov A.Yu. Spark Plasma Sintering of High-Density Fine-Grained Y2.5Nd0.5Al5O12 + SiC Composite Ceramics // Mater. Res. Bull. 2018. V. 103. P. 211–215. https://doi.org/10.1016/j.materresbull.2018.03.042
- Schneider G.A. Thermal Shock Criteria for Ceramics // Ceram. Int. 1991. V. 17. P. 325–333.
- Bao Y.W., Wang X.H., Zhang H.B., Zhou Y.C. Thermal Shock Behavior of Ti3AlC2 between 200°C and 1300°C // J. Eur. Ceram. Soc. 2005. V. 25. P. 3367–3374.
- Tokita M. Progress of Spark Plasma Sintering (SPS) Method, Systems, Ceramics Applications and Industrializations // Ceramics. 2021. V. 4. № 2. P. 160–198. https://doi.org/10.3390/ceramics4020014
- Orlova A.I. Crystalline Phosphates for HLW Immobilization – Composition, Structure, Properties and Production of Ceramics. Spark Plasma Sintering as a Promising Sintering Technology // J. Nucl. Mater. 2022. V. 559. P. 153407. https://doi.org/10.1016/j.jnucmat.2021.153407
- Orlova A.I., Ojovan M.I. Ceramic Mineral Waste-Forms for Nuclear Waste Immobilization // Materials. 2019. V. 12. № 16. P. 2638. https://doi.org/10.3390/ma12162638
- Михайлов Д.А., Потанина Е.А., Орлова А.И., Нохрин А.В., Болдин М.С., Белкин О.А., Сахаров Н.В., Скуратов В.А., Кирилкин Н.С., Чувильдеев В.Н. Исследование радиационной и гидролитической устойчивости керамики на основе фосфата Y0.95Gd0.05PO4 со структурой ксенотима // Неорган. материалы. 2021. Т. 57. № 7. С. 796–802. https://doi.org/10.31857/S0002337X21070125
- Mikhailov D., Orlova A., Malanina N., Nokhrin A.V., Potanina E.A., Chuvil’deev V.N., Boldin M.S., Sakharov N.V., Belkin O.A., Kalenova M.Yu., Lantcev E.A. A Study of Fine-Grained Ceramics Based on Complex Oxides ZrO2-Ln2O3 (Ln = Sm, Yb) Obtained by Spark Plasma Sintering for Inert Matrix Fuel // Ceram. Int. 2018. V. 44. P. 18595–18608. https://doi.org/10.1016/j.ceramint.2018.07.084
- Alekseeva L., Nokhrin A., Boldin M., Lantsev E., Murashov A., Orlova A., Chuvil’deev V. Study of the Hydrolytic Stability of Fine-Grained Ceramics Based on Y2.5Nd0.5Al5O12 Oxide with a Garnet Structure under Hydrothermal Conditions // Materials. 2021. V. 14. № 9. P. 2152. https://doi.org/10.3390/ma14092152
- Hargman D.L. MATPRO-Version11, A Handbook of Materials Properties for Use in the Analysis of Light Water Reactor Fuel Rod Behavior, Idaho National Engineering Lab, 1981.
- Alekseeva L., Nokhrin A., Boldin M., Lantsev E., Orlova A., Chuvil’deev V., Sakharov N. Fabrication of Fine-Grained CeO2-SiC Ceramics for Inert Fuel Matrices by Spark Plasma Sintering // J. Nucl. Mater. 2020. V. 539. P. 152225. https://doi.org/10.1016/j.jnucmat.2020.152225
- Golovkina L.S., Orlova A.I., Boldin M.S., Sakharov N.V., Chuvil’deev V.N., Konings R., Staicu D. Development of Composite Ceramic Materials with Improved Thermal Conductivity and Plasticity Based on Garnet-Type Oxides // J. Nucl. Mater. 2017. V. 489. P. 158–163. https://doi.org/10.1016/j.jnucmat.2017.03.031
Supplementary files







