Optical Properties of Grätzel Cells Based on Delphinidin with Silicon Carbide Nanoparticles
- Authors: Rasmagin S.I.1
-
Affiliations:
- Prokhorov General Physics Institute (Federal Research Center), Russian Academy of Sciences, 119991, Moscow, Russia
- Issue: Vol 59, No 1 (2023)
- Pages: 34-38
- Section: Articles
- URL: https://journals.rcsi.science/0002-337X/article/view/140114
- DOI: https://doi.org/10.31857/S0002337X23010177
- EDN: https://elibrary.ru/OTZIKP
- ID: 140114
Cite item
Full Text
Abstract
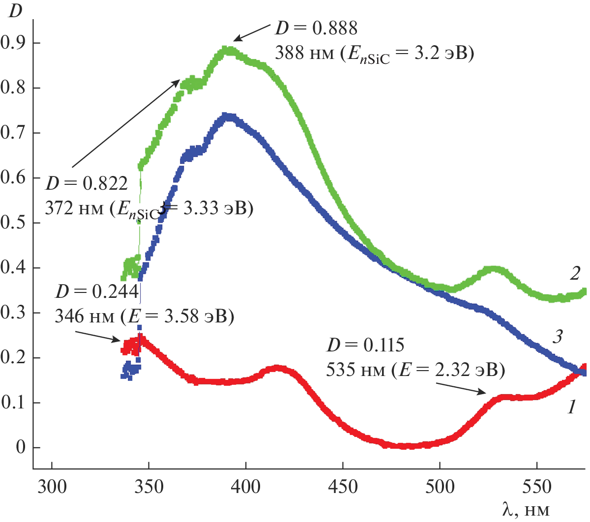
Properties of a delphinidin complex with silicon carbide nanoparticles have been studied by optical methods. Electron microscopy data have been used to determine the phase composition of silicon carbide samples. A comparative analysis of the absorption spectra of solutions of delphinidin and delphinidin with silicon carbide nanoparticles has shown a marked increase in light absorption in the presence of the nanoparticles. The observed large increase in absorbance attests to a considerable adsorption of delphinidin molecules on the surface of silicon carbide nanoparticles. Combining delphinidin with silicon carbide nanoparticles improves the performance of Grätzel cells compared to the sensitizer without nanoparticles. The addition of silicon carbide nanoparticles to the dye increases the power and efficiency of the Grätzel cell.
About the authors
S. I. Rasmagin
Prokhorov General Physics Institute (Federal Research Center), Russian Academy of Sciences, 119991, Moscow, Russia
Author for correspondence.
Email: rasmas123@yandex.ru
Россия, 119991, Москва,
ул. Вавилова, 38
References
- O’Regan B., Gratzel M. A Low-Cost. High-Efficiency Solar Cell Based on Dye-Sensitized Colloidal TiO2 Films // Nature. 1991. V. 353. № 6346. P. 737–740. https://doi.org/10.1038/353737a0
- Kakiage K., Aoyama Y., Yano T. Highly-Efficient Dye-Sensitized Solar Cells with Collaborative Sensitization by Silyl-Anchor and Carboxy-Anchor Dyes // Chem. Commun. 2015. V. 51b. № 88. P. 15894–15897. https://doi.org/10.1039/x0xx00000x
- Zhao J.H., Wang A., Green M.A. 19.8% Efficient “Honeycomb” Textured Multicrystalline and 24.4% Monocrystalline Silicon Solar Cells // Appl. Phys. Lett. 1998. V. 73. P. 1991–1993. https://doi.org/10.1063/1.122345
- Shockey W., Queisser M.A. Detailed Balance Limit of Efficiency of p-n Junction Solar Cells // J. Appl. Phys. 1961. V. 32. P. 510–519. https://doi.org/10.1063/1.1736034
- Lee A.C., Lin R.H., Yang C.Y. Preparations and Characterization of Novel Photocatalysts with Mesoporous Titanium Dioxide (TiO2) via a Sol-Gel Method // Mater. Chem. Phys. 2008. V. 109. P. 275–280. https://doi.org/10.1016/j.matchemphys.2007.11.016
- Sekar N., Ghelot V. Metal Complex Dyes for Dye-Sensitized Solar Cells: Recent Developments // Resonance. 2010. V. 15. P. 819–831. https://doi.org/10.12691/pmc-3-1-1
- Perera I.R., Hettiarachchi C.V., Ranatunga R.J.K.U. Metal–Organic Frameworks in Dye-Sensitized Solar Cells Energy, Environment, and Sustainability // Advances in Solar Energy Research. 2019. P. 175–219. https://doi.org/10.1007/978-981-13-3302-6_7
- Min K.-W., Yu M.-T., Ho C.-T., Chen P.-R., Tsai J.-K., Wu T.-C., Wu T.-L. Application of Doping Graphene Quantum Dots and Gold Nanoparticles on Dye-Sensitized Solar Cells // Mod. Phys. Lett. B. 2021. P. 2141017. https://doi.org/10.1142/S0217984921410177
- Sharif N.F.M., Md Din M.F., Ab. Kadir M.Z.A., Shafie S., Yusuf Y., Buda S. Light Absorption Enhancement Using Graphene Quantum Dots and the Effect of N-719 Dye Loading on the Photoelectrode of Dye-Sensitized Solar Cell (DSSC) // Key Eng. Mater. 2022. V. 908. P. 259–264. https://doi.org/10.4028/p-0cm1r4
- Расмагин С.И., Красовский В.И. Исследование взаимодействия дифталоцианина лютеция с наночастицами карбида кремния оптическими методами // ЖТФ. 2021. Т. 91. № 3. С. 490–494. https://doi.org/10.1134/S1063784221030208
- Kouari Y.El., Migalska-Zalas A., Arof A.K., Sahraoui B. Computations of Absorption Spectra and Nonlinear Optical Properties of Molecules Based on Anthocyanidin Structure // Opt. Quant. Electron. 2015. V. 47. P. 1091–1099. https://doi.org/10.1007/s11082-014-9965-4
- Jin L., Dajun Chen D. Enhancement in Photovoltaic Performance of Phthalocyanine-sensitized Solar Cells by Attapulgite Nanoparticles // Electrochim. Acta. 2012. V. 72. P. 40–45.
- Расмагин С.И. Оптические свойства комплекса дифталоцианина лютеция с наночастицами карбида кремния // Неорган. материалы. 2020. Т. 56. № 9. С. 975–978. https://doi.org/10.1134/s0020168520090149
- Ершов И.А., Исхакова Л.Д., Красовский В.И., Милович Ф.О., Расмагин С.И., Пустовой В.И. Cинтез наночастиц карбида кремния методом лазерного пиролиза смеси моносилана и ацетилена // Физика и техника полупроводников. 2020. Т. 54. № 11 (111177). С. 1233–1237. https://doi.org/10.1134/S1063782620110081
- Tractz G.T., Dias B.V., Banczek E.P., Da Cunha M.T., Rodrigues P.R.P., Alves G.J.T. Dye Sensitized Solar Cells (CSSC): Perspectives, Materials, Functioning and Characterization Techniques // Rev. Virtual Quim. 2020. V. 12. № 3. P. 748–774. https://doi.org/10.21577/1984-6835.20200060
Supplementary files





