Energy Spectrum and Optical Absorption of Mn100 – хAlх (x = 20, 30) Compounds with the β-Mn Structure
- Authors: Knyazev Y.V.1, Lukoyanov A.V.1,2, Knyazev Y.I.1, Dash S.3,4, Patra A.K.3, Vasundhara M.5
-
Affiliations:
- Mikheev Institute of Metal Physics, Ural Branch, Russian Academy of Sciences, 620108, Yekaterinburg, Russia
- Yeltsin Federal University, 620002, Yekaterinburg, Russia
- Central University of Rajasthan, NH-8, Rajasthan, 305817, Bandarsindri, India
- MLR Institute of Technology, Dundigal, Telangana, 500043, Hyderabad, India
- Polymers and Functional Materials Department, CSIR–Indian Institute of Chemical Technology, Telangana, 500007, Tarnaka, Hyderabad, India
- Issue: Vol 59, No 1 (2023)
- Pages: 28-33
- Section: Articles
- URL: https://journals.rcsi.science/0002-337X/article/view/140113
- DOI: https://doi.org/10.31857/S0002337X23010098
- EDN: https://elibrary.ru/OQHYER
- ID: 140113
Cite item
Full Text
Abstract
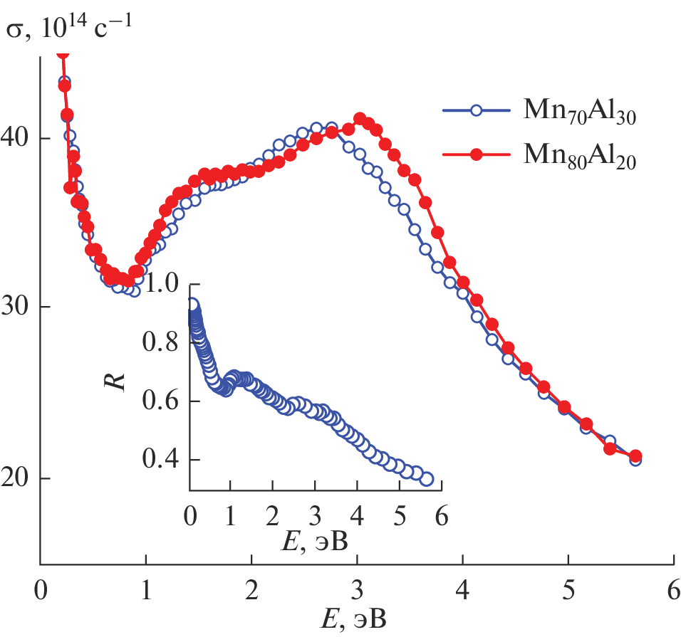
This paper presents electronic spectrum calculations and a study of the optical properties of the binary compounds Mn70Al30 and Mn80Al20 with the β-Mn structure. The energy dependences of the calculated density of states, with high values at the Fermi level, are determined by broad bands formed by manganese 3d states. The calculated electronic structures are used to analyze measured optical conductivity spectra of the alloys in the quantum light absorption range. From their optical properties in the infrared spectral region, we evaluate a number of characteristics of conduction electrons.
About the authors
Yu. V. Knyazev
Mikheev Institute of Metal Physics, Ural Branch, Russian Academy of Sciences, 620108, Yekaterinburg, Russia
Email: knyazev@imp.uran.ru
Россия, 620108, Екатеринбург,
ул. С. Ковалевской, 18
A. V. Lukoyanov
Mikheev Institute of Metal Physics, Ural Branch, Russian Academy of Sciences, 620108, Yekaterinburg, Russia; Yeltsin Federal University, 620002, Yekaterinburg, Russia
Email: knyazev@imp.uran.ru
Россия, 620108, Екатеринбург,
ул. С. Ковалевской, 18; Россия, 620002, Екатеринбург,
ул. Мира, 19
Yu. I. Knyazev
Mikheev Institute of Metal Physics, Ural Branch, Russian Academy of Sciences, 620108, Yekaterinburg, Russia
Email: knyazev@imp.uran.ru
Россия, 620108, Екатеринбург,
ул. С. Ковалевской, 18
Shubhra Dash
Central University of Rajasthan, NH-8, Rajasthan, 305817, Bandarsindri, India; MLR Institute of Technology, Dundigal, Telangana, 500043, Hyderabad, India
Email: knyazev@imp.uran.ru
Индия, 305817, Раджастан, Бандарсиндри; Индия, Телангана, Хайдарабад-500043
Ajit K. Patra
Central University of Rajasthan, NH-8, Rajasthan, 305817, Bandarsindri, India
Email: knyazev@imp.uran.ru
Индия, 305817, Раджастан, Бандарсиндри
M. Vasundhara
Polymers and Functional Materials Department, CSIR–Indian Institute of Chemical Technology, Telangana, 500007, Tarnaka, Hyderabad, India
Author for correspondence.
Email: knyazev@imp.uran.ru
Индия, 500007, Телангана, Хайдарабад
References
- Elphick K., Frost W., Samiepour M., Kubota T., Takanashi K., Sukegawa H., Mitani S., Hirohata A. Heusler Alloys for Spintronic Devices: Review on Recent Development and Future Perspectives // Sci. Technol. Adv. Mater. 2021. V. 22. № 1. P. 235–271. https://doi.org/10.1080/14686996.2020.1812364
- Jiang S., Yang K. Review of High-Throughput Computational Design of Heusler Alloys // J. Alloys Compd. 2021. V. 867. P. 158854-1–158854-14. https://doi.org/10.1016/j.jallcom.2021.158854
- Katsnelson M.I., Irkhin V.Yu., Chioncel L., Lichtenstein A.I., de Groot R.A. Half-Metallic Ferromagnets: From Band Structure to Many-body Effects // Rev. Mod. Phys. 2008. V. 80. № 2. P. 315–378. https://doi.org/10.1103/RevModPhys.80.315
- Wollmann L., Chadov S., Kübler J., Felser C. Magnetism in Cubic Manganese-Rich Heusler Compounds // Phys. Rev. B. 2014. V. 90. № 21. P. 214420-1–214420-11. https://doi.org/10.1103/PhysRevB.90.214420
- Li T., Khenata R., Cheng Z., Chen H., Yuan H., Yang T., Kuang M., Omran S.B., Wang X. Martensitic Transformation, Electronic Structure and Magnetism in D03-Ordered Heusler Mn3Z (Z = B, Al, Ga, Ge, Sb) Alloys // Acta Crystallogr., Sect. B. 2018. V. 74. P. 673–680. https://doi.org/10.1107/S2052520618013525
- Skomski R. Finite-Temperature Depolarization in Half Metals // J. Phys.: Condens. Matter. 2007. V. 19. № 31. P. 315202-1–315202-14. https://doi.org/10.1088/0953-8984/19/31/315202
- Alling B., Shallcross S., Abrikosov I.A. Role of Stoichiometric and Nonstoichiometric Defects on the Magnetic Properties of the Half-metallic Ferromagnet NiMnSb // Phys. Rev. B. 2006. V. 73. № 6. P. 064418-1–064418-9. https://doi.org/10.1103/PhysRevB.73.064418
- Gavrikov I., Seredina M., Zheleznyy M., Shchetinin I., Karpenkov D., Bogach A., Chatterjee R., Khovaylo V. Magnetic and Transport Properties of Mn2FeAl // J. Magn. Magn. Mater. 2019. V. 478. № 1. P. 55–58. https://doi.org/10.1016/j.jmmm.2019.01.088
- Gao G.Y., Yao K.-L. Antiferromagnetic Half-metals, Gapless Half-metals, and Spin Gapless Semiconductors:The D03-type Heusler Alloys // Appl. Phys. Lett. 2013. V. 103. № 23. P. 232409-1–232409-5. https://doi.org/10.1063/1.4840318
- Azar S.M., Hamad B.A., Khalifeh J.M. Structural, Electronic and Magnetic Properties of Fe3–xMnxZ (Z = Al, Ge, Sb) Heusler Alloys // J. Magn. Magn. Mater. 2012. V. 324. № 10. P. 1776–1785. https://doi.org/10.1016/j.jmmm.2011.12.037
- Han J., Wu X., Feng Y., Gao G. Half-Metallic Fully Compensated Ferrimagnetism and Multifunctional Spin Transport Properties of Mn3Al // J. Phys.: Condens. Matter. 2019. V. 31. № 30. P. 305501-1–305501-9. https://doi.org/10.1088/1361-648X/ab1732
- Jum′h I., Sâad essaoud S., Baaziz H., Charifi Z., Telfah A. Electronic and Magnetic Structure and Elastic and Thermal Properties of Mn2-Based Full Heusler Alloys // J. Supercond. Nov. Magn. 2019. V. 32. P. 3915–3926. https://doi.org/10.1007/s10948-019-5095-3
- Li Q.F., Yang C.H., Su J.L. Effect of Doping V on the Half-Metallic and Magnetic Properties of Mn3Al Intermetallic Compound // Physica B: Condens. Matter. 2011. V. 406. № 19. P. 3726–3730. https://doi.org/10.1016/j.physb.2011.07.003
- Jamer M.E., Wang Y.J., Stephen G.M., McDonald I.J., Grutter A.J., Sterbinsky G.E., Arena D.A., Borchers J.A., Kirby B.J., Lewis L.H., Barbiellini B., Bansil A., Heiman D. Compensated Ferrimagnetism in the Zero-moment Heusler Alloy Mn3Al // Phys. Rev. Appl. 2017. V. 7. № 6. P. 064036-1–064036-7. https://doi.org/10.1103/PhysRevApplied.7.064036
- Paddison J.A.M., Stewart J.R., Manuel P., Courtois P., McIntyre G.J., Rainford B.D., Goodwin A.L. Emergent Frustration in Co-Doped β-Mn // Phys. Rev. Lett. 2013. V. 110. № 26. P. 267207-1–267207-5. https://doi.org/10.1103/PhysRevLett.110.267207
- Dash S., Lukoyanov A.V., Nancy, Mishra D., Rasi U.P.M., Gangineni R.B., Vasundhara M., Patra A.K. Structural Stability and Magnetic Properties of Mn2FeAl Alloy with a β-Mn Structure // J. Magn. Magn. Mater. 2020. V. 513. P. 167205-1–167205-9. https://doi.org/10.1016/j.jmmm.2020.167205
- Марченков В.В., Ирхин В.Ю., Перевозчикова Ю.А., Терентьев П.Б., Семянникова А.А., Марченкова Е.Б., Эйстерер М. Кинетические свойства и полуметаллический магнетизм в сплавах Гейслера Mn2YAl // ЖЭТФ. 2019. Т. 155. № 6. С. 1083–1090. https://doi.org/10.1134/S0044451019060129
- Giannozzi P., Baroni S., Bonini N., Calandra M., Car R., Cavazzoni C., Ceresoli D., Chiarotti G.L., Cococcioni M., Dabo I., Dal Corso A., de Gironcoli S., Fabris S., Fratesi G., Gebauer R., Gerstmann U., Gougoussis C., Kokalj A., Lazzeri M., Martin-Samos L., Marzari N., Mauri F., Mazzarello R., Paolini S., Pasquarello A., Paulatto L., Sbraccia C., Scandolo S., Sclauzero G., Seitsonen A.P., Smogunov A., Umari P., Wentzcovitch R.M. QUANTUM ESPRESSO: a Modular and Open-Source Software Project for Quantum Simulations of Materials // J. Phys.: Condens. Matter. 2009. V. 21. № 39. P. 395502-1–395502-19. https://doi.org/10.1088/0953-8984/21/39/395502
- Яржемский В.Г., Мурашов С.В., Изотов А.Д. Электронное строение и температура ферромагнитного перехода Ga1 – xMnxAs в неэмпирическом методе локального обмена // Неорган. материалы. 2019. Т. 55. № 1. С. 3–10. https://doi.org/10.1134/S0002337X19010184
- Яржемский В.Г., Мурашов С.В., Изотов А.Д. Электронное строение и обменное взаимодействие в магнитных полупроводниках Ga1-xMnxAs и In1-xMnxSb // Неорган. материалы. 2016. Т. 52. № 2. С. 119–123. https://doi.org/10.7868/S0002337X16020172
- Яржемский В.Г., Мурашов С.В., Изотов А.Д. Расчет электронного строения и обменного взаимодействия в полупроводниках InSb и GaAs при солегировании Mn и Ni // Неорган. материалы. 2017. Т. 53. № 11. С. 1158–1162. https://doi.org/10.7868/S0002337X17110057
- Perdew J.P., Burke K., Ernzerhof M. Generalized Gradient Approximation Made Simple // Phys. Rev. Lett. 1996. V. 77. № 18. P. 3865–3868. https://doi.org/10.1103/PhysRevLett.77.3865
- Носков М.М. Оптические и магнетооптические свойства металлов Свердловск: УНЦ АН СССР, 1983. С. 220.
Supplementary files






