Spectral Characteristics for Earthquakes of Klyuchevskoy Group of Volcanoes
- Authors: Molokova A.P.1,2, Skorkina A.A.2, Smirnov V.B.1,3
-
Affiliations:
- Lomonosov Moscow State University
- Institute of Earthquake Prediction Theory and Mathematical Geophysics of the Russian Academy of Sciences
- Schmidt Institute of Physics of the Earth of the Russian Academy of Sciences
- Issue: No 6 (2024)
- Pages: 138-150
- Section: Articles
- URL: https://journals.rcsi.science/0002-3337/article/view/282348
- DOI: https://doi.org/10.31857/S0002333724060099
- EDN: https://elibrary.ru/RFZYJZ
- ID: 282348
Cite item
Full Text
Abstract
The Klyuchevskoy group of volcanoes is a unique research object, also from a seismological point of view. Classical high-frequency and long-period earthquakes of varying depths are being observed here, and the installation of temporary stations as part of the KISS project has made it possible to apply new methods to classify the observed seismicity. Two methods for determining seismic moments are used in the study. The spectral ratio method is used for the first time, which makes it possible to estimate the seismic moments of source spectra for the magnitude range Mw = 1–3. An independent assessment of seismic moments is also performed using a spectral method based on the level of low-frequency plateau of the amplitude displacement spectrum of body waves, and relation with the local magnitude is studied.
Full Text
ВВЕДЕНИЕ
Ключевская группа вулканов (КГВ) – один из самых крупных и активных вулканических кластеров в зоне субдукции в мире, который состоит из 13 близко расположенных стратовулканов и занимает территорию диаметром ∼ 70 км. Вулканическая активность региона связана с тектонической обстановкой КГВ, которая определяется процессами в зоне сочленения Курило-Камчатской и Алеутской дуг. Вулкан Ключевской является самым продуктивным – он извергает в среднем 60 млн метрических тонн базальтов в год или 1/4 от общего годового количества магмы всех 70 вулканов Курило-Камчатского вулканического пояса [Федотов, 2006]. При этом, на вулкане Ключевской, как и на вулканах Этна, Килауэа и Фуджи, наблюдаются чередующиеся циклы вершинных и побочных извержений [Bergal-Kuvikas et al., 2023; Кирюхин и др., 2023]. В настоящий момент не существует общепринятой модели того, как работают такие вулканы [Bergal-Kuvikas et al., 2017; Черкашин и др., 2023], поэтому интерпретация новых сейсмических данных является одним из важных инструментов для понимания природы наблюдающихся процессов.
Проявления вулкано-сейсмической активности очень разнообразны по характеристикам сигналов и по предполагаемым генерирующим механизмам. Традиционно вулканические землетрясения разделяют на два основных типа: высокочастотные (вулкано-тектонические) и низкочастотные (длиннопериодные). Отметим, что длиннопериодные вулканические землетрясения не являются длиннопериодными с точки зрения классической сейсмологии, и в контексте вулканической сейсмологии, как правило, используются в значении “ниже частотного диапазона высокочастотных событий”. Большинство высокочастотных (ВЧ) землетрясений вызваны сдвиговым разрушением или скольжением по разломам, происходящими в земной коре под вулканами, и отличаются от тектонических магнитудами и характерными особенностями возникновения. Длиннопериодные (ДП) землетрясения в большинстве случаев вызваны процессами, непосредственно происходящими в питающей магматической системе и связанными с быстрыми изменениями давления жидкости, вызываемыми неоднородными процессами течения или газообразованием [McNutt, Roman, 2015]. Они ассоциируются с такими процессами, как неравномерное движение магмы по каналам, дегазация или взаимодействие горячей магмы с гидротермальными флюидами [Chouet, Matoza, 2013].
Особенно интересны глубокие ДП землетрясения (ГДП), которые обычно связывают с процессами, происходящими в глубинных магматических резервуарах в переходном слое кора–мантия. ГДП сейсмичность часто рассматривается как один из наиболее ранних признаков активизации магматических систем перед извержениями, и поэтому может играть важную роль в мониторинге вулканов [Shapiro et al., 2017]. Однако физический механизм, генерирующий ГДП землетрясения, и связь между глубинным переносом магмы и сейсмическим излучением остаются плохо изученными. Гипотезы об их происхождении, в частности, включают термомеханические напряжения, связанные с охлаждением глубинных интрузий [Aso, Tsai, 2014], или лавинную дегазацию CO2 из перенасыщенных базальтовых магм [Melnik et al., 2020]. Но имеющихся на сегодняшний день данных наблюдений недостаточно для однозначного выявления механизма ГДП землетрясений.
В рамках эксперимента KISS (Klychevskoy Investigation – Seismic Structure of an Extraordinary Volcanic System), главной целью которого являлось изучение глубинной структуры коры и верхней мантии в районе Ключевской группы вулканов [Koulakov et al., 2020], 83 автономные сейсмические станции были установлены сроком на 1 год в 2015–2016 гг., из которых для 77 сейсмостанций удалось собрать наблюдения [Шапиро и др., 2017]. В ходе эксперимента для КГВ удалось обнаружить вулканические длиннопериодные и вулкано-тектонические землетрясения, обладающие малыми магнитудами. В результате анализа длиннопериодных землетрясений под вулканами КГВ было определено, что области источников ДП землетрясений встречаются в двух диапазонах глубин: выше 5 км вблизи поверхности ниже действующих вулканов, и около 30 км. Магнитуды неглубоких и глубоких ДП событий сопоставимы и в большинстве случаев не превышают 2.5, причем магнитуда самого сильного ДП землетрясения составляет M = 3.1 [Shapiro et al., 2017].
Дополнительную информацию об источниках вулканической сейсмичности можно получить, определив их спектральные параметры, например, сейсмический момент и характерные частоты. Сейсмический момент в том числе представляет особый интерес в связи с близко расположенными населенными пунктами и инфраструктурой с точки зрения оценки сейсмической опасности [Sarao et al., 2023; Шебалин и др., 2022]. С геодинамической точки зрения появляется возможность оценить объем магмы, участвующей в сейсмогенерирующих процессах [Kettleti et al., 2022]. С другой стороны, задача определения сейсмического момента для вулканических землетрясений представляет собой и фундаментальный научный интерес, например, с точки зрения применимости точечной модели очага для слабой вулканической сейсмичности.
ИСХОДНЫЕ ДАННЫЕ
Мониторинг КГВ рутинно осуществляется сейсмической сетью, состоящей из 12 станций Камчатского филиала Единой Геофизической службы Российской академии наук (КФ ФИЦ ЕГС РАН, https://glob.emsd.ru/). В 2015–2016 гг. в районе Ключевской группы вулканов в рамках проекта KISS, были установлены еще 83 автономные сейсмические станции сроком на 1 год, из которых для 77 сейсмостанций удалось собрать наблюдения (рис. 1). В результате их работы было записано 2136 событий [Сенюков и др., 2021], из которых выделено 343 вулканических землетрясения под вулканами Ключевской группы (55.65°–56.24° с.ш., 159.5°–161.0° в.д.), диапазон магнитуд ML = 0.35–2.9, гипоцентральных расстояний 3.2–142.5 км (рис. 2), диапазон глубин – 0.045–34 км (рис. 3), где отрицательная глубина принадлежит событиям, происходящим непосредственно в вулканическом конусе, то есть выше уровня моря.
Рис. 1. Карта расположения временных станций эксперимента KISS. Голубые круги – временные станции; красные звезды – вершины вулканов.
Рис. 2. Распределение записей по локальной магнитуде ML и гипоцентральному расстоянию. Синим отмечены точки записей с оптимальным отношением сигнал–шум и использующиеся в настоящем исследовании.
Рис. 3. Гистограмма распределения глубин землетрясений под Ключевской группой вулканов.
Для идентификации типов вулканических землетрясений по характерной частоте проводилась оценка соотношения спектральных амплитуд между низкими и высокими частотами [Молокова, 2022]. Чтобы оценить соотношение спектральных амплитуд между частотами длиннопериодных и высокочастотных землетрясений, вычисляется логарифм спектрального отношения:
, (1)
где ∑vДП и ∑vВЧ – суммы значений ДП и ВЧ амплитуд, nДП и nВЧ – число частот в ДП и ВЧ диапазонах. По полученному значению логарифма можно сделать вывод о типе вулканического землетрясения. Для длиннопериодных землетрясений в качестве нижнего и верхнего пределов эмпирически были выбраны частоты 1 и 3 Гц, соответственно, для высокочастотных землетрясений – 4 и 11 Гц. Из 343 идентифицированных вулканических землетрясений под Ключевской группой вулканов, записанных в рамках эксперимента KISS (рис. 4), выделено 84 длиннопериодных (24%) и 259 высокочастотных (76%) землетрясений.
Рис. 4. Карта (а) и разрез (б) с землетрясениями под КГВ, записанными в рамках эксперимента KISS. Синие круги – ВЧ землетрясения; красные круги – ДП землетрясения; черные звезды – вершины вулканов.
ОПРЕДЕЛЕНИЕ ОТНОШЕНИЯ СИГНАЛ–ШУМ
Для исключения из анализа шумных записей проводилась автоматическая оценка отношения сигнала к шуму (SNR), где выбирались два временных отрезка одинаковой длины длительностью 30 с – сигнал, записанный до события, и 30 с, включающие в себя само событие. Для получения оценки сигнал–шум производилось деление средних амплитуд данных отрезков. В рабочую коллекцию попали записи с оценкой SNR > 2. Для определения границы между отрезком с шумом и отрезком с сигналом рассчитывается теоретическое время пробега продольной волны от источника до станции:
, (2)
где: t0 – время в очаге (автоматически извлекается из каталога КФ ФИЦ ЕГС РАН); Δ – гипоцентральное расстояние (автоматически рассчитывается по координатам из каталога КФ); vp – скорость P-волны vp = 4 км/с).
Для анализа спектральных параметров землетрясений необходимо, чтобы хорошее отношение “сигнал–шум” сохранялось в широком диапазоне частот. Поэтому для таких вулканических землетрясений, записанных в рамках эксперимента KISS, при отборе записей проводилась дополнительная независимая оценка отношения между сигналом и шумом “по площадям” (SNR*). Такая оценка рассчитывается как разность амплитудных спектров Фурье сигнала и шума, нормированная на максимальное значение:
, (3)
где |S (ω)|сигнал и |S (ω)|шум – амплитудные спектры Фурье сигнала и шума соответственно, Amax – максимальное значение амплитудного спектра Фурье. Отметим, что “площади” (SNR*) далее не только используются для задач выделения наиболее качественных записей, но и сами по себе являются дополнительной спектральной характеристикой отдельных сейсмических событий. Примеры применения оценки отношения между сигналом и шумом “по площадям” представлены на рис. 5.
Рис. 5. Записи событий (сверху) и соответствующие им спектры Фурье сигнала и шума (снизу), нормированные на максимальную амплитуду из спектра сигнал/шум. Синий – запись шума; оранжевый – запись события. Для левой записи ВЧ землетрясения: SNR = 2.7, SNR* = 0.6; для правой записи ВЧ землетрясения: SNR = 3.6, SNR* = 3.0.
В связи с высоким уровнем шума на временных станциях, а также малыми магнитудами вулканической сейсмичности (М < 3), только 3% записей (табл. 1) оказались пригодными для дальнейшего спектрального анализа.
Таблица 1. Количество событий с разными значениями отношения сигнал–шум (SNR) и “площадями” (SNR*)
Оценка | Количество записей, соответствующих данной оценке, шт. | Количество записей, соответствующих данной оценке, % |
SNR ≥ 1.5 | 337 | 6.0 |
SNR ≥ 2 | 171 | 3.1 |
SNR* ≥ 1.5 | 196 | 3.5 |
SNR* ≥ 2 | 122 | 2.2 |
Всего: | 5637 | 100 |
МЕТОД СПЕКТРАЛЬНЫХ ОТНОШЕНИЙ
В классической сейсмологии одним из методов для определения очаговых параметров землетрясений, таких как сейсмический момент и характерные частоты спектра, является метод спектральных отношений [Mayeda et al., 2007; Abercrombie, 2015; Ruhl et al., 2017]. В методе используются записи, полученные на одной и той же станции, от событий, которые расположены максимально близко в пространстве. Для одной и той же пары землетрясений оцениваются несколько отношений, пропорциональных числу регистрирующих станций. Отношения наблюденных спектров от выбранной пары близких в пространстве землетрясений сравниваются с теоретическими. Теоретическое отношение спектров мы рассчитывали в рамках модели Бруна [Brune, 1970]:
, (4)
где: и – амплитудные спектры Фурье сильного и слабого землетрясений соответственно (или производная от временной функции сейсмического момента); f – частота; fc1 и fc2 – характерные частоты сильного и слабого землетрясений; M01 и M02 – сейсмические моменты сильного и слабого землетрясений; n – параметр, который определяет асимптотический наклон правой ветви спектра; γ – константа, которая определяет остроту спектрального угла.
Для обработки из каталога были выбраны 253 пары близко расположенных вулканических землетрясений с оптимальным соотношением сигнал–шум (SNR > 2). Отметим, что некоторые землетрясения участвуют в нескольких парах. Для оценки отношений использовались записи диапазона гипоцентральных расстояний 30–80 км. Это, с одной стороны, связано с намерением избежать эффекта ближней зоны, с другой стороны, ограничиться записями высокого качества. Для каждой пары количество участвующих в анализе станций варьировалось от 4 до 30.
На данном этапе пороговым значением была выбрана разница гипоцентральных расстояний не более 2 км, что сопоставимо с погрешностью определения местоположения источника в исследуемом материале. На рис. 6 приведены примеры спектров таких пар, а именно, пара близкорасположенных длиннопериодных (рис. 6а) и высокочастотных (рис. 6б) землетрясений.
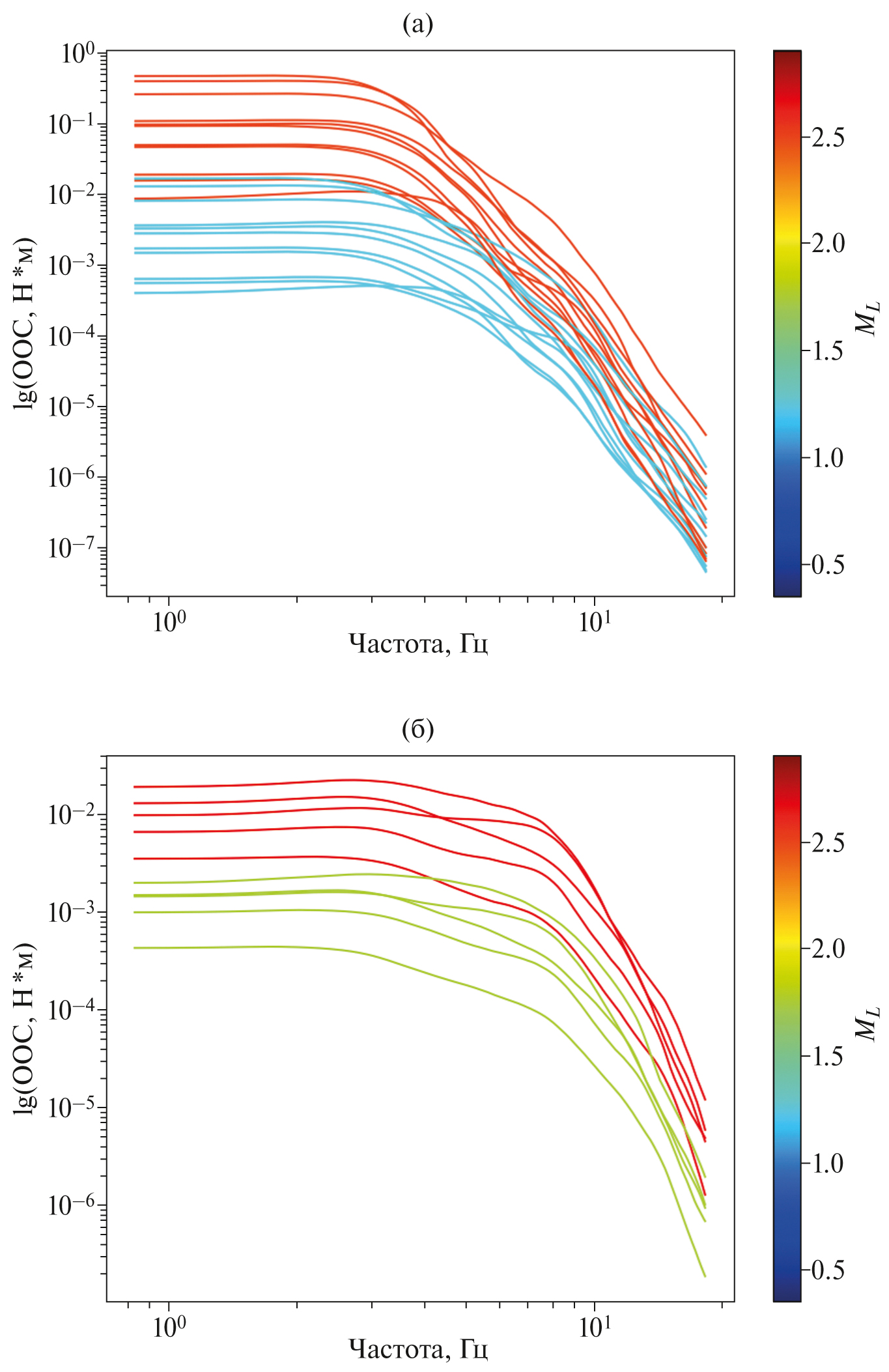
Рис. 6. Очаговые спектры смещений (ОСС) сильного и слабого ДП (а) и ВЧ (б) землетрясений, цвет присваивается автоматически в соответствии со значением магнитуды ML, которая извлекается из каталога КФ. Параметры ДП землетрясений – 2015.11.28 15:54:05 с ML = 2.45 и 2015.11.28 14:37:21 с ML = 1.0; ВЧ землетрясений – 2015.10.20 17:06:30 с ML = 2.65 и 2015.11.20 12:28:19 с ML = 1.6.
Для сопоставления теоретических и наблюденных отношений спектров выполнялась аппроксимация по методу наименьших квадратов (МНК) межстанционного среднего спектрального отношения. По записям для каждого события со всех используемых в анализе станций рассчитывались среднее арифметическое и медианное отношение. Затем с помощью МНК оценивался оптимальный набор неизвестных из формулы (4) [M01; M02; fc1, fc2] и средняя разность между теоретическим и медианным отношением спектров. На рис. 7 приведены примеры спектральных отношений длиннопериодных (рис. 7а) и высокочастотных (рис. 7б) землетрясений. Таким образом, для 253 пар землетрясений удалось получить 506 наборов оценок для 161 землетрясения (60 ДП и 101 ВЧ), включающих в себя оценки характерных частот и отношения сейсмических моментов.
Рис. 7. Спектральные отношения сильного события к слабому для пары ДП (а) и ВЧ (б) землетрясений, спектры которых представлены на рис. 6.
Согласно теории метода, спектральные отношения, полученные для пары пространственно близких событий, должны быть идентичными в случае точечного источника. Однако наблюдаемые отношения для одной и той же пары на разных станциях показывают обратную картину, особенно для ВЧ землетрясений (например, рис. 7б), а именно, зависимость от азимута и значимые оценки разброса. Учитывая, что метод спектральных отношений позволяет пренебречь моделью затухания, которая сокращается согласно формуле (4), наблюдаемые расхождения вероятнее всего демонстрируют очаговый вклад в формировании наблюдаемых спектров.
СПЕКТРАЛЬНЫЙ МЕТОД ОПРЕДЕЛЕНИЯ СЕЙСМИЧЕСКОГО МОМЕНТА
Альтернативным методом определения сейсмического момента в классической сейсмологии [Гусев и др., 2017; Скоркина, Гусев, 2017] является спектральный метод, основанный на связи между уровнем низкочастотной площадки амплитудного спектра смещений объемных волн на нулевой частоте и сейсмическим моментом [Keilis-Borok, 1960]:
, (5)
где: Ω0 – уровень низкочастотной площадки спектра смещений объемной волны (в данном случае определяется через преобразование Фурье), приведенного к условиям однородного упругого полупространства; ρ – плотность среды (ρ = 2325 кг/м3); R – учитывает геометрическое расхождение в слоистой или сферической модели Земли; c – скорость объемных волн (c = 4 км/с); RΘφ – диаграмма направленности для объемной волны.
Для приведения спектра к условиям однородного упругого полупространства вводилась поправка за геометрическое расхождение вида 1 / r и за добротность Q (f) (см. табл. 2, согласно работе [Лемзиков, Лемзиков, 2020]).
Таблица 2. Выбранная модель затухания
Частота, Гц | Оценка добротности |
0.75 | 100 |
1.5 | 131 |
3.0 | 178 |
6.0 | 224 |
12.0 | 316 |
С помощью сейсмического момента можно оценить моментную магнитуду Mw [Kanamori, 1977]:
. (6)
Для оценки сейсмического момента было выбрано 130 вулканических землетрясений, которые уже участвовали в обработке методом спектральных отношений (рис. 7). Всего получено 82 индивидуальные оценки сейсмических моментов в диапазоне 1.65 · 1011–2.47 · 1012 Н · м для ДП землетрясений и 1.05 · 1011–1.32 · 1013Н · м для ВЧ землетрясений. На рис. 8 приведен пример определения уровня низкочастотной площадки очагового спектра смещений для оценки сейсмического момента.
Рис. 8. Индивидуальные станционные спектры смещений (по оси ординат – ОСС или очаговый спектр смещений) для землетрясения 2015.11.28 (Mw = 2.1). Прямая линия – уровень площадки межстанционной медианы спектра на низких частотах, по которому определяется сейсмический момент.
Полученные таким образом оценки сейсмических моментов далее пересчитывались в моментные магнитуды по формуле (6), после чего проводилось их сопоставление с имеющимися в каталоге КФ оценками региональной магнитуды (рис. 9). Отмечается, что расхождение между оценками разных магнитудных шкал выше для длиннопериодных землетрясений.
Рис. 9. Зависимость полученных моментных магнитуд Mw от локальной магнитуды ML для высокочастотных (синие) и длиннопериодных (красные) землетрясений.
На рис. 9 мы также нанесли имеющийся для Камчатки результат соотношения моментной и региональной магнитуд, полученный ранее по выборке с более сильными тектоническими (субдукционными) землетрясениями магнитудного диапазона Mw = 3–6 [Абубакиров и др., 2018]. Предложенная зависимость для диапазона 3–6 действительно не описывает соотношение магнитуд в диапазоне 1–2.5, особенно для ДП землетрясений (красным цветом на рис. 9).
ОБСУЖДЕНИЕ
Полученные в данной работе расхождения между оценками, полученными для ДП и ВЧ землетрясений методом спектральных отношений, а именно, больший разброс от межстанционного среднего очагового спектра для ВЧ землетрясений и более существенная его зависимость от азимута, могут быть объяснены, вероятно, более сложной диаграммой направленности, характерной для таких событий. Однако такое предположение носит предварительный характер и требует проведения дополнительных исследований.
К вопросу расхождения магнитудных соотношений Mw–ML (полученное в данном исследовании для диапазона магнитуд 1–2.5) и Mw*–ML (полученное в работе [Абубакиров и др., 2018] для диапазона магнитуд 3–6) заметим, что причин расхождения может быть несколько. Во-первых, причиной может являться различие в природе очагов субдукционных и вулканических землетрясений. Во-вторых, причина может быть методическая, так как модели затухания, используемые для приведения наблюденных спектров к условиям однородного полупространства, существенно различаются. Это связано, в том числе, с разным строением земной коры в районе КГВ и вблизи Авачинского залива. Другим различием в модели затухания является отсутствие учета параметра “каппа” k (f) и k (r), импедансной поправки [Скоркина, Гусев, 2017] и станционных поправок [Гусев, Скоркина, 2020] в связи с отсутствием таковых оценок для района КГВ. В-третьих, оценки Mw и Mw* получены на разных гипоцентральных расстояниях, а именно, 30–80 км и 70–200 км соответственно. Таким образом, несмотря на небольшие очаги (не более 200 м по [Wells, Coppersmith, 1994]) и использование в исследовании достаточно высоких частот (1–15 Гц, что при скорости волн vp = 4 км/с соответствует длинам волн в 0.25–4 км) в первом случае, все-таки существует вероятность наблюдать в полученных результатах эффекты ближней зоны.
ВЫВОДЫ
Впервые по данным эксперимента KISS для Ключевской группы вулканов выполнен спектральный анализ и получены такие дополнительные параметры, как ширина спектра (SNR*), сейсмический момент и моментная магнитуда.
Методом спектрального отношения показано, что для ВЧ землетрясений наблюдается более ярко выраженная зависимость формы очагового спектра от азимута, чем для ДП землетрясений.
Полученное в этой работе соотношение моментной и локальной магнитуд для диапазона Mw = 1–3 различается для ВЧ и ДП землетрясений. Более того, полученные соотношения различаются с соотношением, полученным ранее для диапазона Mw = 3–6.
About the authors
A. P. Molokova
Lomonosov Moscow State University; Institute of Earthquake Prediction Theory and Mathematical Geophysics of the Russian Academy of Sciences
Author for correspondence.
Email: molokova.ap18@physics.msu.ru
Russian Federation, Moscow, 119991; Moscow, 117997
A. A. Skorkina
Institute of Earthquake Prediction Theory and Mathematical Geophysics of the Russian Academy of Sciences
Email: molokova.ap18@physics.msu.ru
Russian Federation, Moscow, 117997
V. B. Smirnov
Lomonosov Moscow State University; Schmidt Institute of Physics of the Earth of the Russian Academy of Sciences
Email: molokova.ap18@physics.msu.ru
Russian Federation, Moscow, 119991; Moscow, 123242
References
- Абубакиров И.Р., Гусев А.А., Гусева Е.М., Павлов В.М., Скоркина А.А. Массовое определение моментных магнитуд Mw и установление связи Mw–ML для камчатских субдукционных землетрясений // Физика Земли. 2018. № 1. С. 158–172.
- Гусев А.А., Скоркина А.А. Эмпирические спектральные характеристики среды вблизи сейсмических станций сильных движений Камчатки // Геология и геофизика. 2020. Т. 61. № 2. С. 275–287.
- Гусев А.А., Скоркина А.А., Чебров Д.В. Очаговые спектральные параметры землетрясений Восточной Камчатки диапазона Mw = 3–6 по данным поперечных волн // Вестник КРАУНЦ. Науки о Земле. 2017. № 3. Вып. 35. С. 36–49.
- Кирюхин А.В., Бергаль-Кувикас О.В., Лемзиков М.В., Журавлев Н.Б. Магматическая система Ключевского вулкана по сейсмическим данным и их геомеханической интерпретации // Записки горного института. 2023. № 263. С. 698–714.
- Лемзиков В.К., Лемзиков М.В. Оценки поглощения энергии сейсмических волн на близких расстояниях от вулкана Кизимен (Камчатка) // Вулканология и сейсмология. 2020. № 4. С. 3–12.
- Молокова А.П. Идентификация типов вулканических землетрясений под Ключевской группой вулканов на Камчатке. Бакалаврский диплом. МГУ, Москва. 2022 г. 55 с.
- Сенюков С.Л., Дрознин Д.В., Дрознина С.Я., Шапиро Н.М., Нуждина И.Н., Кожевникова Т.Ю., Соболевская О.В., Назарова З.А., Должикова А.Н., Толокнова С.Л., Карпенко Е.А. Каталог землетрясений по данным сети KISS в 2015–2016 гг. Проблемы комплексного геофизического мониторинга сейсмоактивных регионов. 2021. C. 216–220.
- Скоркина А.А., Гусев А.А. Определение набора характерных частот очаговых спектров для субдукционных землетрясений Авачинского залива (Камчатка) // Геология и геофизика. 2017. Т. 58. № 7. С. 1057–1068.
- Федотов С.А. Магматические питающие системы и механизм извержений вулканов. М.: Наука. 2006. 455 с
- Черкашин Р.И., Бергаль-Кувикас О.В., Чугаев А.В., Ларионова Ю.О., Биндеман И.Н., Хомчановский А.Л., Плутахина Е.Ю. Условия генерации и источники магм вершинного и побочного извержений вулкана Ключевской в 2020–2021 гг.: изотопно-геохимические (Sr-Nd-Pb-O) данные // Петрология. 2023. Т. 31. С. 264–280.
- Шапиро Н.М., Гордеев Е.И., Абкадыров И.Ф., Кулаков И.Ю., Яковлев А.В. Широкомасштабный полевой сейсмологический эксперимент для изучения Ключевской группы вулканов // Вестник ДВО РАН. 2017. № 1 (191). С. 75–78.
- Шебалин П.Н., Гвишиани А.Д., Дзебоев Б.А., Скоркина А.А. Почему необходимы новые подходы к оценке сейсмической опасности? // Докл. РАН. 2022. Т. 507. № 1. С. 91–97.
- Abercrombie R.E. Investigating uncertainties in empirical Green’s function analysis of earthquake source parameters // Journal of Geophysical Research: Solid Earth. 2015. V. 120. № 6. P. 4263–4277.
- Aso N., Tsai V.C. Cooling magma model for deep volcanic long-period earthquakes // Journal of Geophysical Research. 2014. V. 119. P. 8442–8456.
- Bergal-Kuvikas O., Nakagawa M., Kuritani T., Muravyev Y., Malik N., Klimenko E., Amma-Miyasaka M., Matsumoto A., Shimada S. A petrological and geochemical study on time-series samples from Klyuchevskoy volcano, Kamchatka arc // Contributions to Mineralogy and Petrology. 2017. V. 172. P. 1–16.
- Bergal-Kuvikas O.V., Chugaev A.V., Larionova Y.O., Cherkashin R.I., Nuzhdaev I.A., Muravyev Y.D. Major, Trace Element and Sr–Nd–Pb Isotopic Geochemistry of Gorshkov Vent (18.02–21.03.2021), Klyuchevskoy Volcano (Kamchatka, Russia): Restarting a New Cycle of Volcanic Activity? // Geochemistry International. 2023. V. 61. № 3. P. 302–309.
- Brune J.N. Tectonic stress and the spectra of seismic shear waves from earthquakes // Journal of Geophysical Research. 1970. V. 75. № 26. P. 4997–5009.
- Chouet B.A., Matoza R.S. A multi-decadal view of seismic methods for detecting precursors of magma movement and eruption // Journal of Volcanology and Geothermal Research. 2013. V. 252. P. 108–175.
- Kanamori H. The energy release in great earthquakes // Journal of Geophysical Research. 1977. V. 82. № 20. P. 2981–2987.
- Keilis-Borok V.I. Investigation of the Mechanism of Earthquakes. Soviet Research in Geophysics (English translation). 1960. V. 4. № 29. 201 p.
- Kettlety T., Kendall J. M., Roman D.C. Self‐similarity of seismic moment release to volume change scaling for volcanoes: a comparison with injection‐induced seismicity // Geophysical Research Letters. 2022. V. 49. № 23. e2022GL099369.
- Koulakov I., Shapiro N., Sens‐Schönfelder C., Luehr B., Gordeev E., Jakovlev A., Abkadyrov I., Chebrov D., Bushenkova N., Droznina S., Senyukov S., Novgorodova A., Stupina T. Mantle and crustal sources of magmatic activity of Klyuchevskoy and surrounding volcanoes in Kamchatka inferred from earthquake tomography // Journal of Geophysical Research: Solid Earth. 2020. V. 125. № 10. e2020JB020097.
- Mayeda K., Malagnini L., Walter W. A new spectral ratio method using narrow band coda envelopes: Evidence for non‐self‐similarity in the Hector Mine sequence // Geophysical Research Letters. 2007. V. 34. № 11. L11303.
- McNutt S.R., Roman D.C. Volcanic seismicity. The Encyclopedia of Volcanoes. 2015. P. 1011–1034.
- Melnik O., Lyakhovsky V., Shapiro N., Galina N., Bergal-Kuvikas, O. Degassing of volatile reach basaltic magmas: source of deep long period volcanic earthquakes // Nature Communication. 2020. V. 11. № 1. P. 3918.
- Ruhl C.J., Abercrombie R.E., Smith K.D. Spatiotemporal variation of stress drop during the 2008 Mogul, Nevada, earthquake swarm // Journal of Geophysical Research: Solid Earth. 2017. V. 122. № 10. P. 8163–8180.
- Sarao A., Moratto L., Giampiccolo E., Cocina O. Moment magnitude for earthquakes in the Etna volcano area // Geophysical Journal International. 2023. V. 234. № 3. P. 2519–2533.
- Shapiro N. M., Droznin D.V., Droznina S.Ya., Senyukov S.L., Gusev A.A., Gordeev E.I. Deep and shallow long-period volcanic seismicity linked by fluid-pressure transfer // Nature Geoscience. 2017. V. 10. № 6. P. 442–445.
- Wells D.L., Coppersmith K.J. New empirical relationships among magnitude, rupture length, rupture width, rupture area, and surface displacement // Bulletin of the Seismological Society of America. 1994. V. 84. № 4. P. 974–1002.
Supplementary files











