Postseismic processes in the region of the july 29, 2021 Chignik earthquake, Alaska. Part II: temporal evolution of displacements and correlation with aftershock activity
- Authors: Smirnov V.B.1,2, Mikhailov V.O.1, Konvisar A.M.1,2
-
Affiliations:
- Schmidt Institute of Physics of the Earth, Russian Academy of Science
- Moscow State University
- Issue: No 4 (2024)
- Pages: 35-49
- Section: Articles
- URL: https://journals.rcsi.science/0002-3337/article/view/261799
- DOI: https://doi.org/10.31857/S0002333724040035
- EDN: https://elibrary.ru/FWYXGW
- ID: 261799
Cite item
Full Text
Abstract
Postseismic displacements in the source region of the July 29, 2021 Chignik M8.2 earthquake, Alaska, are analyzed based on the data from the GPS network sites. It is shown that these displacements have a nature of a postseismic creep (afterslip). The rate of postseismic displacements of the points on the Earth’s surface (GPS sites) decreases with time by the power law close to 1/t, where t is time after the earthquake. On the time interval of two years, the displacement magnitudes increase in time by the law of logarithmic creep. Using the regional catalog of the Alaska earthquakes, we have analyzed the aftershocks of the Chignik earthquake. The analysis has shown that the postseismic displacements at different GPS sites are proportional to the displacements in the seismotectonic flow of the rock mass caused by residual displacements in the aftershock sources. This allows the total displacements in the aftershock sources to be considered as produced by a single mechanism of postseismic creep deformation in the source region of the Chignik earthquake.
Full Text
ВВЕДЕНИЕ
Для анализа характеристик, источников и механизмов постсейсмических движений в очаговых зонах землетрясений используются данные как наземных, так и спутниковых средств измерения перемещений точек земной поверхности после, как правило, сильных землетрясений. Эти данные применяются для построения моделей движений в очаговой зоне в окрестности очага главного события. Для построения моделей наиболее сильных землетрясений данные о смещениях на поверхности Земли дополняются данными об изменениях гравитационного поля в очаговой области (см., например, [Михайлов и др., 2014; 2016]). Постсейсмические движения демонстрируют относительно медленное затухающее изменение на характерных временах от месяцев до первых лет.
С реологической точки зрения зависимость постсейсмической деформации от времени можно рассматривать как эмпирическую оценку функции ползучести. Под функцией ползучести понимают, как известно, должным образом отнормированное изменение деформации, вызванное скачком напряжения и происходящее затем при постоянном напряжении [Магницкий, 1965; Мейз, 1974]. В случае постсейсмических движений такая интерпретация применима, если считать, что косейсмический скачок напряжений в очаговой области много больше возможных вариаций напряжений другой природы.
Для объяснения постсейсмических движений и их затухания во времени, как правило, рассматриваются два класса моделей релаксационных явлений в твердых телах [Scholz, 2019; Marone et al., 1991; Perfettini, Avouac, 2004; Perfettini et al., 2005; Pollitz, 2005; Freed, Burgmann, 2004; Rice et al., 2001].
Первый класс – упруго-вязкие реологические тела, релаксация в которых происходит за счет вязкого течения геоматериала. Физические механизмы вязкости связывают с диффузионной или дислокационной ползучестью. Для линейных упруго-вязких реологических тел кривые ползучести имеют экспоненциальный вид где t – время после землетрясения, а время релаксации τ определяется отношением вязкости к упругости (в случае сложного тела с несколькими упругостями и вязкостями будет несколько времен релаксации [Pollitz, 2005]).
Второй класс – криповые механизмы, разделяемые на два типа: деформации, обусловленные зависящим от скорости смещения трением на разломах, и деформации, обусловленные остаточными смещениями в очагах афтершоков. Механизмы этого класса в английской литературе именуются afterslip. С точки зрения реологии разломных зон механизм первого типа (трение) относится к устойчивому скольжению (steady sliding), а второго типа (остаточное смещение) – к прерывистому скольжению (stick-slip) [Scholz, 2019].
Механизм первого типа опирается на зависимость коэффициента трения от скорости и времени скольжения по контакту (модель rate-and-state в английской терминологии). Эта зависимость объясняется на основе концепции коррозии напряжений [Scholz, 1968a; Anderson, Grew, 1977]. Функция ползучести, выводимая из этих представлений, имеет логарифмический вид [Scholz, 2019; Marone et al., 1991], идентичный логарифмической ползучести Ломница [Lomnitz, 1957; Магницкий, 1965]. Спад скорости деформации имеет в этом случае степенной вид 1/t.
Функция ползучести для механизма второго типа, известного также как сейсмотектоническое течение [Ризниченко, 1965; 1976; 1977], определяется характером релаксации афтершокового процесса. В ряде моделей спад афтершоковой активности по закону Омори как 1/t также связывают с коррозией напряжений [Scholz, 1968b; Narteau et al., 2002]. В рамках этих моделей функция ползучести, обусловленная афтершоковым сейсмотектоническим течением, тоже имеет логарифмический вид. Отметим, что для обобщенных моделей афтершоковой релаксации, спад афтершоковой активности происходит по степенной функции 1/tp. Если показатель спада p (параметр Омори), отличен от единицы, то соответствующая функция ползучести (пропорциональная интегралу от 1/tp) будет иметь степенную форму. При изучении постсейсмических движений известны примеры использования степенных функций ползучести [Xiang et al., 2023; Liu et al., 2022].
В постсейсмических движениях обнаруживают иногда только упруго-вязкую релаксацию, иногда – только криповую, иногда и ту, и другую [Politz, 2005; Freed et al., 2006a; 2006b; 2007; Johnson et al., 2009; Xiang et al., 2023; Liu et al., 2022].
В первой части настоящей работы [Конвисар и др., 2024] в области очага землетрясения Чигник М8.2 29.07.2021 г. на Аляске выполнено моделирование процесса вязкоупругой релаксации и проведено ее сопоставление с данными деформометрии, которое показало, что этот процесс не может объяснить наблюдаемые смещения. Далее с использованием данных GPS и спутниковой радарной интерферометрии построена статическая пространственная модель постсейсмических смещений в очаговой области. Цель второй части работы – выяснение характера изменения постсейсмических движений во времени по данным GPS и их сопоставление с афтершоковой активностью.
ОБЪЕКТ ИССЛЕДОВАНИЯ
Землетрясение Чигник М8.2 произошло в Алеутской зоне субдукции 29.07.2021 г. недалеко от города Чигник [Liu et al., 2022]. В работе [Конвисар и др., 2023] по комплексу спутниковых данных была построена модель косейсмических смещений в очаговой области землетрясения. Согласно этой модели, тип смещений – практически чистый надвиг, а смещения, в целом, произошли по всей очаговой области. Максимальное смещение составило 5.7 м при среднем смещении по всей плоскости 2.2 м. Сейсмический момент, рассчитанный при значении модуля сдвига 32 ГПа по полученным параметрам площадки и смещениям на ней, составил 1.95×1021 Н ∙ м (Мw = 8.13), что близко к оценкам USGS и GCMT, полученным по сейсмологическим данным.
Сопоставление модельных и измеренных в пунктах GPS косейсмических смещений показало, что направления смещения на поверхности в точках наблюдений, расположенных в центральной части эпицентральной области и на севере от нее, совпадают с направлениями смещений в очаге землетрясения, тогда как направления смещения в пунктах на периферии эпицентральной области существенно отклоняются от направления смещения на плоскости очага землетрясения.
Модель постсейсмических движений [Конвисар и др., 2024] основана на данных о смещениях на пунктах GPS и интерферометрии. Для определения области, в которой происходил постсейсмический крип, были использованы данные о распределении афтершоков, глубина которых под областью землетрясения Чигник достигала 100 км. Построенная модель показывает, что постсейсмический крип происходил в обширной зоне, включая очаговую область и ее продолжение на значительную глубину.
ИСХОДНЫЕ ДАННЫЕ
Исходные данные о смещениях на поверхности Земли
Использована открытая информация с сайта The GAGE GNSS Analysis Center1 об изменении координат пунктов GPS. Дискретность данных – один отсчет в сутки, отнесенный авторами данных к 12:00. Для каждого пункта наблюдений данные представляют собой текстовый файл, содержащий для каждых суток сведения о текущих координатах пункта GPS, смещениях пункта (в мм) в трех направлениях (на север, на восток, вверх) относительно указанных в заголовке координат, погрешностях определения этих смещений, маркер качества данных. Наблюдения охватывают интервал времени с 2006–2008 гг. (для разных пунктов даты начала регистрации различаются) по настоящее время.
Исходные сейсмические данные
Использована открытая информация о региональном каталоге землетрясений Аляски с сайта USGS: Alaska Earthquake Information Center2. В каталоге представлена стандартная информация о землетрясениях с магнитудами M ≥ -1.8. Магнитудная шкала – составная, унифицированная составителями каталога. Общий объем каталога с 01.01.1988 г. по 20.03.2023 г.составляет 1 011 900 записей.
Для выделения афтершоков применялась авторская методика [Смирнов, 2009], основанная на алгоритме Молчана–Дмитриевой [Молчан, Дмитриева, 1991]. Общий объем каталога выделенных афтершоков землетрясения Чигник без селекции по магнитуде составил 5457 записей.
Рис. 1. Магнитуды афтершоков землетрясения Чигник: (а) – в линейном масштабе времени; (б) – в логарифмическом масштабе. По оси абсцисс отложено время после главного события. Звездочками отмечены два сильнейших афтершока: 1 – 14.08.2021 г., M6.9 (16-е сутки после землетрясения); 2 – 11.10.2021 г., M6.9 (74-е сутки после землетрясения). Красными точками показаны оценки представительной магнитуды Mc
Оценка изменения представительной магнитуды каталога афтершоков проводилась по авторской методике [Смирнов, 1997], основанной на алгоритме Писаренко [Писаренко, 1989]. Оценка проводилась в скользящих по времени окнах, содержащих заданное количество событий. На рис. 1 представлены графики магнитуд афтершоков с нанесенными на них значениями представительных магнитуд, оцененных в скользящих окнах в 200 событий.
На рис. 1 видно, что в первые сутки каталог неоднороден по представительной магнитуде, ее величина уменьшается от 3 до 2. Это – известное следствие перегруженности сейсмической сети большим потоком событий. Начиная со вторых суток каталог однороден по представительной магнитуде, ее величина колеблется около 2. Поскольку в настоящей работе не предполагается исследование параметров сейсмического режима, чувствительных к порогу представительности, для дальнейшей работы мы отселектировали каталог по магнитуде с единым порогом Mc = 2, имея в виду возможные неточности оценок в первые сутки. Объем этого рабочего каталога составил 2985 афтершоков.
ПОСТСЕЙСМИЧЕСКИЕ СМЕЩЕНИЯ
На рис. 2 показаны горизонтальные перемещения пяти выбранных пунктов GPS, окружающих эпицентральную зону землетрясения Чигник. Перемещения рассчитаны относительно положений пунктов 01.01.2009 г. (точка с координатами (0,0) на представленных графиках). Были выбраны именно эти пункты, поскольку они испытали наибольшие постсейсмические смещения.
Представленные на рис. 2 перемещения начинаются в точках (0,0), направление времени показано стрелками. Вначале, до моментов времени двух близких сильных землетрясений [Elliott et al., 2022] – M7.8 22.07.2020 г. (известного как землетрясение Симеоноф (Simeonof), по одноименному острову у побережья Аляски) и землетрясения Чигник M8.2 29.07.2021 г. – все пункты смещались в северо-западном направлении. Назовем это, следуя работе [Scholz, 2019], межсейсмическим (interseismic) движением. Его направление соответствует направлению движения океанической плиты. Смещение в этом направлении пунктов, расположенных на континентальной плите, означает, что происходило сжатие континентальной плиты и накопление напряжений вследствие движения океанической плиты и сцепления с ней континентальной плиты в запертой части зоны субдукции. Величины смещений убывают по мере удаления пунктов GPS от оси зоны субдукции. В результате землетрясений 2020 и 2021 гг. зацепление плит в рассматриваемой области было нарушено, и пункты GPS стали смещаться в противоположном – юго-восточном – направлении под действием накопившихся в континентальной плите упругих напряжений.
Рис. 2. Район исследования и горизонтальные перемещения пунктов GPS. Синими кружками показаны афтершоки землетрясения Чигник, размеры кружков пропорциональны магнитуде. Красный кружок – эпицентр Чигник. Фиолетовые кружки с номерами 16 и 74 внутри – сильнейшие афтершоки 14.08.2021 г., M6.9 (16-е сутки после землетрясения) и 11.10.2021 г., M6.9 (74-е сутки после землетрясения), обозначенные цифрами 1 и 2 на рис. 1. Треугольники – пункты GPS, сверху подписаны их коды. На вставках в едином масштабе показаны перемещения пунктов, за ноль принято их положение 01.01.2009 г., стрелки – направление времени, косейсмические смещения отмечены годом и магнитудой землетрясения.
На рис. 2, в пунктах AB13, AC40, AC21 видны косейсмические смещения во время землетрясения Симеоноф 2020 г., сопровождающиеся постсейсмическими движениями. Затем видны косейсмические смещения землетрясения Чигник 2021 г. и соответствующие постсейсмические движения. В пункте AC41 во время землетрясения Симеоноф имелся пропуск данных, в этом пункте видно только окончание постсейсмического движения после землетрясения Симеоноф, а затем – ко- и постсейсмические движения от землетрясения Чигник. В пункте AC13, расположенном дальше всех других пунктов от очага землетрясения Симеоноф, ко- и постсейсмические движения от этого землетрясения не видны. Ко- и постсейсмические движения от землетрясения Чигник видны в пункте AC13 отчетливо.
На рис. 2 видно, что направление постсейсмических движений всех пунктов кроме AC13 совпадают с направлением косейсмических подвижек – постсейсмические движения как бы продолжают косейсмические. Направление постсейсмического движения пункта AC13 не совпадает с косейсмическим. Во всех пунктах кроме AC40 простирание постсейсмических движений близко к простиранию межсейсмических, но обратно им по направлению.
Для анализа характера релаксации постсейсмических движений после землетрясения Чигник мы изучили изменение во времени расстояния, которое прошел каждый из пяти пунктов GPS от точки, где он находился по завершении косейсмической подвижки 29.07.2021 г. Землетрясение Чигник произошло в 9 часов 15 минут 29.07.2021 г., и, поскольку ряды данных GPS имеют суточную дискретность, за начало отсчета расстояний было принято положение пунктов GPS 29.07.2021 г. При вычислении расстояний учитывались только горизонтальные компоненты смещений, поскольку, во-первых, величина горизонтального смещения, накопленного за постсейсмический интервал времени, много больше, чем величина вертикального смещения. Во-вторых, погрешность измерения вертикальной компоненты смещения в несколько раз больше, чем погрешность для горизонтальных компонент.
Расстояние рассчитывалась как D = где dN и dE – смещения на север и на восток, соответственно (см. рис. 2), погрешность оценки расстояния – как , где SN и SE – погрешности оценок dN и dE соответственно.
Поскольку, как видно на рис. 2, постсейсмические смещения были практически прямолинейными, указанное выше расстояние можно рассматривать как величину смещения точки в заданном направлении.
Рис. 3. Смещения пунктов GPS во времени от их положений 29.07.2021 г.
На рис. 3 представлены графики смещения D как функция времени t, отсчитываемого от 29.07.2021 г. (от начала постсейсмического интервала).
Вид кривых на рис. 3 соответствует характерным реологическим кривым ползучести. Во Введении мы отмечали, что известные модели постсейсмических движений дают для функции ползучести экспоненциальный вид для упруго-вязкой релаксации и логарифмический для криповой релаксации (тело Ломница). Для разделения экспоненциальной и логарифмической реологии удобнее перейти к производной функции ползучести и рассматривать изменение во времени скорости деформаций. Для упруго-вязких тел скорость деформации спадает экспоненциально какдля тела Ломница – по степенному закону как 1/t.
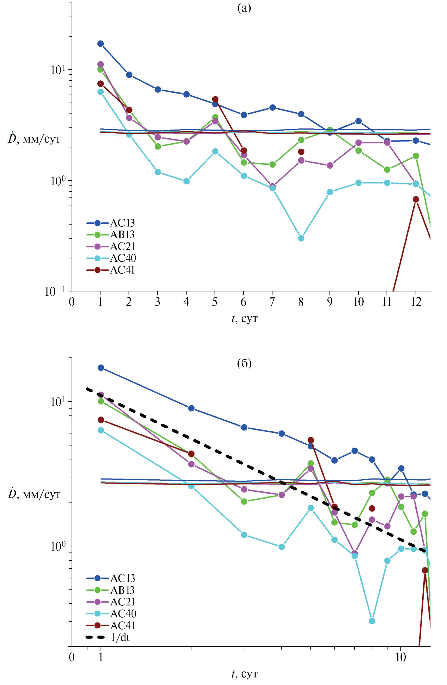
Рис. 4. Скорость смещения пунктов GPS (первые 90 суток). Горизонтальными кривыми показаны погрешности оценок.
На рис. 4 представлен график изменения во времени скорости смещения D. Скорость рассчитывалась стандартным образом – как , где Δt – шаг квантования по времени, равный в нашем случае 1 сут. На этом же рисунке представлены соответствующие погрешности.
На рис. 4 видно, что даже для пункта AC13 с наибольшей скоростью смещения величиныстановятся соизмеримы с погрешностями или меньше их примерно с 11–12 суток. Исходя из этого ограничим интервал анализа скоростей смещений 12 сутками.
Рис. 5. Скорость смещения пунктов GPS в полулогарифмическом (а) и дважды логарифмическом (б) масштабах. Горизонтальными кривыми показаны погрешности оценок. Пунктиром на рис. (б) показана прямая 1/t, отвечающая логарифмической ползучести.
На рис. 5 зависимость скорости смещения от времени представлена в полулогарифмическом (рис. 5а) и дважды логарифмическом (рис. 5б) масштабе, поскольку функции и 1/t имеют линейный вид в полулогарифмическом и дважды логарифмическом масштабе соответственно.
На рис. 5 видно, что спад скоростей смещения лучше соответствует степенной функции (рис. 5б), чем экспоненциальной (рис. 5а). На рис. 5б пунктиром показана прямая 1/t, отвечающая логарифмической ползучести. Видно, что спад скоростей смещений на всех пунктах GPS близок к 1/t.
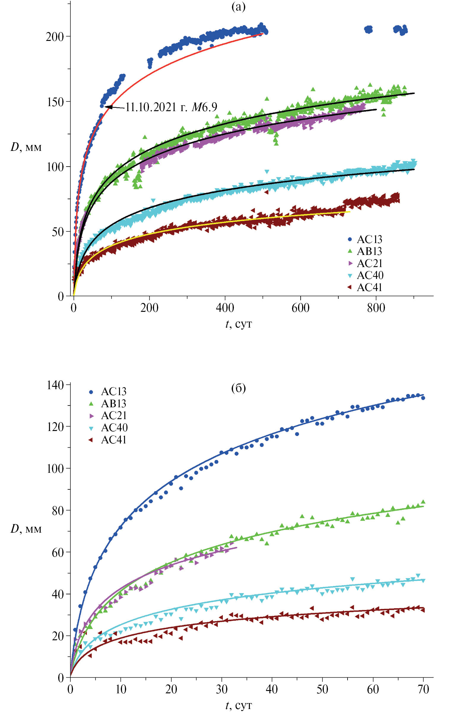
Рис. 6. Смещение пунктов GPS (точки) и его логарифмическая аппроксимация вида q tln (1 + αt ) + 1 (линии): (а) – за весь интервал времени; (б) – до сильного афтершока 11.10.2021 г. M6.9 (74-е сутки после землетрясения Чигник); на рис. (а) стрелкой отмечены косейсмические смещения от этого афтершока.
На рис. 6а показаны аппроксимации вида для смещений на всех пунктах GPS на интервале времени примерно два года. Видно, что эти аппроксимации хорошо согласуются с эмпирическими данными для всего интервала времени для всех пунктов кроме AC13. Отклонение аппроксимации от эмпирических данных для пункта АС13 начиная с 74-х суток обусловлено сильным афтершоком M6.9 11.10.2021 г., произошедшим на 74-е сутки вблизи пункта AC13 (см. рис. 2). Косейсмическое смещение от этого землетрясения в пункте AC13 «сдвигает» эмпирическую кривую вверх и обуславливает рассогласование аппроксимации и эмпирических данных.
На рис. 6б аппроксимации показаны на интервале времени до афтершока M6.9 11.10.2021 г. Видно хорошее согласие логарифмической аппроксимаций с данными для всех пунктов GPS.
ОБСУЖДЕНИЕ
Полученные результаты свидетельствуют, что постсейсмические движения в области землетрясения Чигник соответствуют реологической модели логарифмического крипа (телу Ломница). В работе [Xiang et al., 2023] представлены результаты анализа постсейсмических движений в очаговой зоне землетрясения Чигник в течение первых двух суток после землетрясения Чигник по 15-секундным отсчетам GPS-наблюдений. Авторы делают вывод, что в первые сутки после землетрясения смещения лучше аппроксимируются степенной функцией нежели логарифмической. У нас на рис. 5б также видно, что наклоны прямых для разных пунктов GPS отличаются от наклона прямой 1/t (пунктирная линия на рис. 5б). Формальные регрессии, построенные по точкам, лежащим на рис. 5б выше погрешностей их оценок, дают для наклонов разброс от 0.7 до 1.4. Однако мы не считаем возможным утверждать, что наклоны для различных пунктов различны, поскольку они оценивались для большинства пунктов по трем или даже двум точкам. На этом основании мы приняли, что спад скорости смещения имеет вид 1/t, а само смещение аппроксимировали логарифмической функцией.
Сравнить количественно наши оценки с оценками из работы [Xiang et al., 2023] не представляется возможным, поскольку авторы этой работы анализируют не величину смещения (модуль вектора смещения в заданном направлении), а его компоненты по отдельности. Они рассматривают смещения только в первые двое суток сразу после главного землетрясения, а мы за гораздо больший интервал времени, начиная с суток, следующих за сутками, когда было землетрясение. С физической точки зрения возможное отличие наших результатов от результатов работы [Xiang et al., 2023] не является принципиальным, поскольку и логарифмическая ползучесть, соответствующая спаду скорости смещения как 1/t, и степенная, соответствующая спаду 1/tp, свидетельствуют о криповом механизме постсейсмических движений и отвергают механизм упруго-вязкой релаксации.
Во Введении мы отмечали, что один из криповых механизмов постсейсмических движений связывают с афтершоковыми процессами. Сопоставим полученные нами кривые постсейсмических смещений пунктов GPS с афтершоковым сейсмотектоническим течением в очаговой области землетрясения Чигник.
Скорость сейсмотектонического течения (тензор скорости сейсмотектонических деформаций) может быть рассчитана, если известны сейсмические моменты землетрясений, содержащие информацию о величинах и направлениях остаточных смещений в очагах [Костров, 1974]. При отсутствии данных о сейсмических моментах можно оценить лишь сумму величин подвижек в очагах землетрясений без учета их ориентаций, заменив, фактически, векторное суммирование подвижек скалярным суммированием их величин. Поскольку подвижки в очагах землетрясений ориентированы не вдоль одной линии, такая сумма (кумулятивное смещение) всегда будет больше истинной величины смещения за счет сейсмотектонического течения. Однако при анализе релаксационных деформационных процессов кумулятивное смещение оказывается полезным [Михайлов и др., 2010], поскольку отражает суммарную величину диссипативных процессов, связанных с разрушением в среде.
В рамках самоподобной модели очага землетрясения [Aki, 1967; Scholz, 2019] подвижка в очаге пропорциональна его размеру:
(1)
а сейсмическая энергия землетрясения пропорциональна кубу размера очага:
(2)
Коэффициент пропорциональности ε в (1) имеет смысл деформационной прочности среды (деформации, при которой наступает разрушение материала). Оценки диапазона для ε по сейсмологическим данным составляют примерно 10-5 – 10-4. [Scholz, 2019; Thingbaijam et al., 2017].
Коэффициент пропорциональности β в (2) связан с энергетической прочностью среды W (плотностью упругой энергии, при которой наступает разрушение материала): β = χW, где χ – коэффициент сейсмического действия. По сейсмическим данным β ≈ 103эрг/см3 [Садовский и др., 1983].
Из (1) и (2) получаем выражение для оценки подвижки в очаге:
(3)
Сейсмическую энергию оцениваем по магнитуде. Для магнитуд, представленных в каталоге Аляски, используем стандартную формулу для магнитуд по поверхностным волнам:
(4)
Калибровку выражения (3) – оценку параметра α в локальных условиях очаговой области землетрясения Чигник – проведем по данным о подвижке в очаге землетрясения Чигник. Согласно работе [Конвисар и др., 2023] средняя подвижка в очаге этого землетрясения была 2.2 м. При магнитуде M = 8.2 получаем из (3) и (4) α = 4.3⋅10−6 м/Дж⅓. При оценке размера очага как квадратного корня из площади разрыва [Садовский и др., 1983] по данным из работы [Конвисар и др., 2023] о размерах плоскости разрыва 225 км по простиранию и 126 км по падению и при указанном выше значении α получаем из (3) ε = 1.3 · 10-5. Это согласуется с приведенным выше диапазоном оценок для ε.
Из формулы (3) следует, что оценку кумулятивного смещения по данным об афтершоках нужно производить по формуле:
. (5)
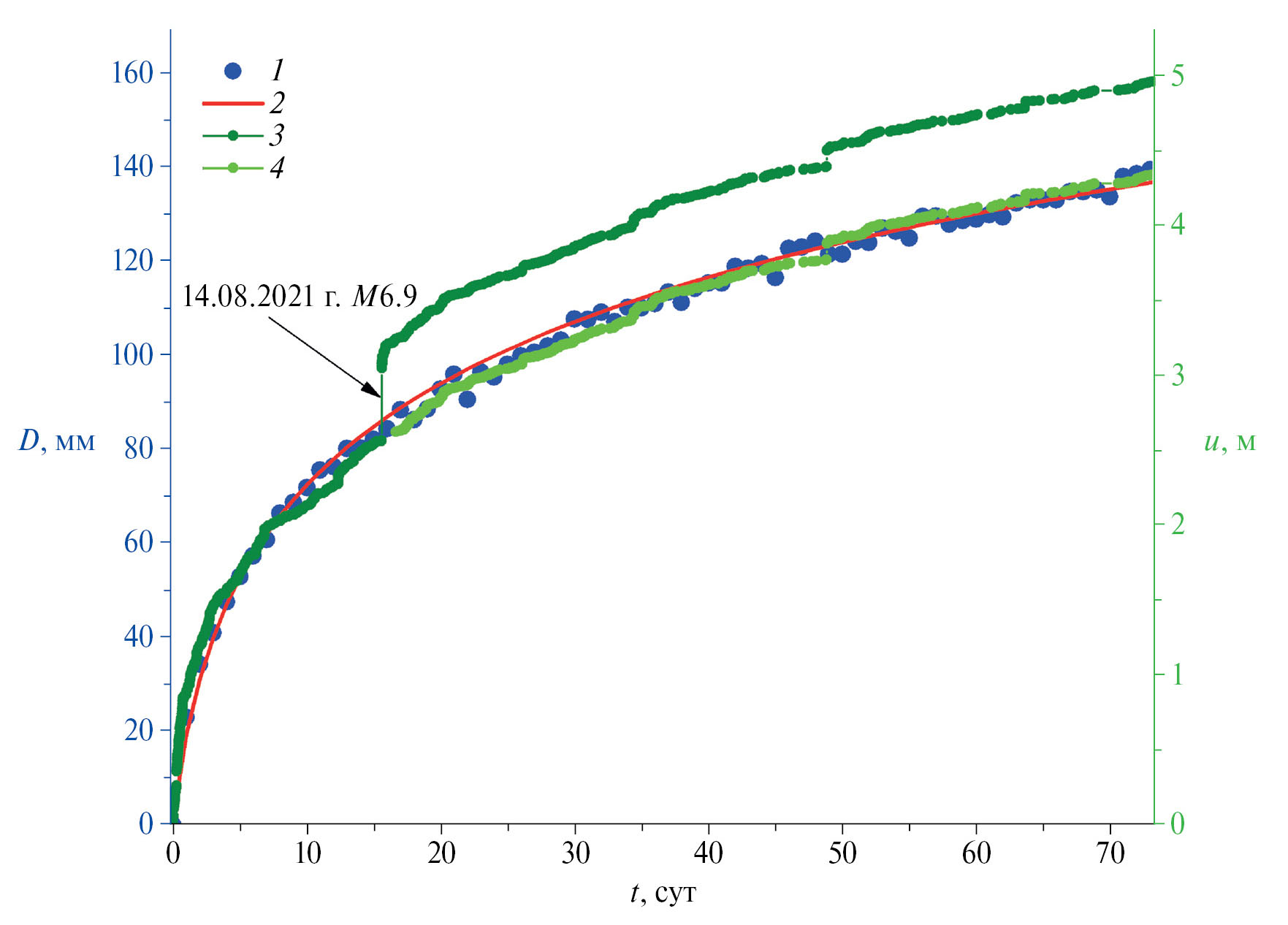
На рис. 7 кумулятивные смещения, рассчитанные согласно (5) по данным каталога афтершоков, сопоставлены со смещением пункта AC13, испытавшего самые большие постсейсмические движения (см. рис. 3). Мы ограничили на этом рисунке интервал времени 73 сутками, поскольку, как отмечалось выше, после этого времени смещения пункта AC13 испытывают скачок из-за второго сильного афтершока 11.10.2021 г. M6.9 (74-е сутки) и отклоняются от логарифмической модели.
На рис. 7 видно, что до сильного афтершока 14.08.2021 г. M6.9 (16-е сутки) кумулятивная афтершоковая подвижка и смещения пункта GPS хорошо согласуются. Подвижка в очаге первого сильного афтершока 14.08.2021 г. M6.9 в смещении пункта AC13 не проявилась, в отличие от второго афтершока 11.10.2021 г. M6.9 (см. рис. 6). Вероятно, это связано с бо́льшим удалением очага первого афтершока от пункта AC13. Кумулятивное афтершоковое смещение рассчитывалось по всем афтершокам, поэтому подвижка в очаге сильного афтершока 11.10.2021 г. хорошо видна на кривой 3, она помечена стрелкой на рис. 7 (аналогичные ситуации известны при сопоставлении постсейсмических движений с афтершоковыми процессами, см., например, работу [Perfettini et al., 2005]). Если исключить эту подвижку при вычислении афтершокового смещения, то, как видно на рис. 7 (кривая 4), кумулятивные афтершоковые смещения и смещения пункта GPS хорошо согласуются и после первого афтершока.
Рис. 7. Смещения пункта GPS AC13 и кумулятивное афтершоковое смещение: 1 – смещения пункта GPS; 2 – его логарифмическая аппроксимация; 3 – полное афтершоковое кумулятивное смещение, рассчитанное по формуле (5); 4 – кумулятивное смещение после исключения подвижки сильного афтершока 14.08.2021 г., M6.9, показанного стрелкой.
Заметим, что величина кумулятивных афтершоковых смещений значительно превосходит как среднюю подвижку в очаге землетрясения Чигник [Конвисар и др., 2023], так и величину постсейсмических смещений в очаговой области, оцененных по пространственной модели из работы [Конвисар и др., 2024]. Это, как отмечалось выше, является следствием замены суммирования векторов подвижек в очагах афтершоков суммированием их абсолютных величин без учета неизвестной нам ориентации плоскости разрыва для каждого афтершока. Такая техника расчета позволяет, фактически, сравнивать только форму кривой кумулятивных афтершоковых смещений с формой кривой смещений пунктов GPS.
Согласие форм кривых постсейсмических смещений пункта GPS и кумулятивного афтершокового смещения, обусловленного подвижками в очагах афтершоков (рис. 7), свидетельствует о том, что афтершоковое сейсмотектоническое течение в области очага землетрясения Чигник можно рассматривать как механизм постсейсмического крипа, регистрируемого пунктом GPS на поверхности Земли.
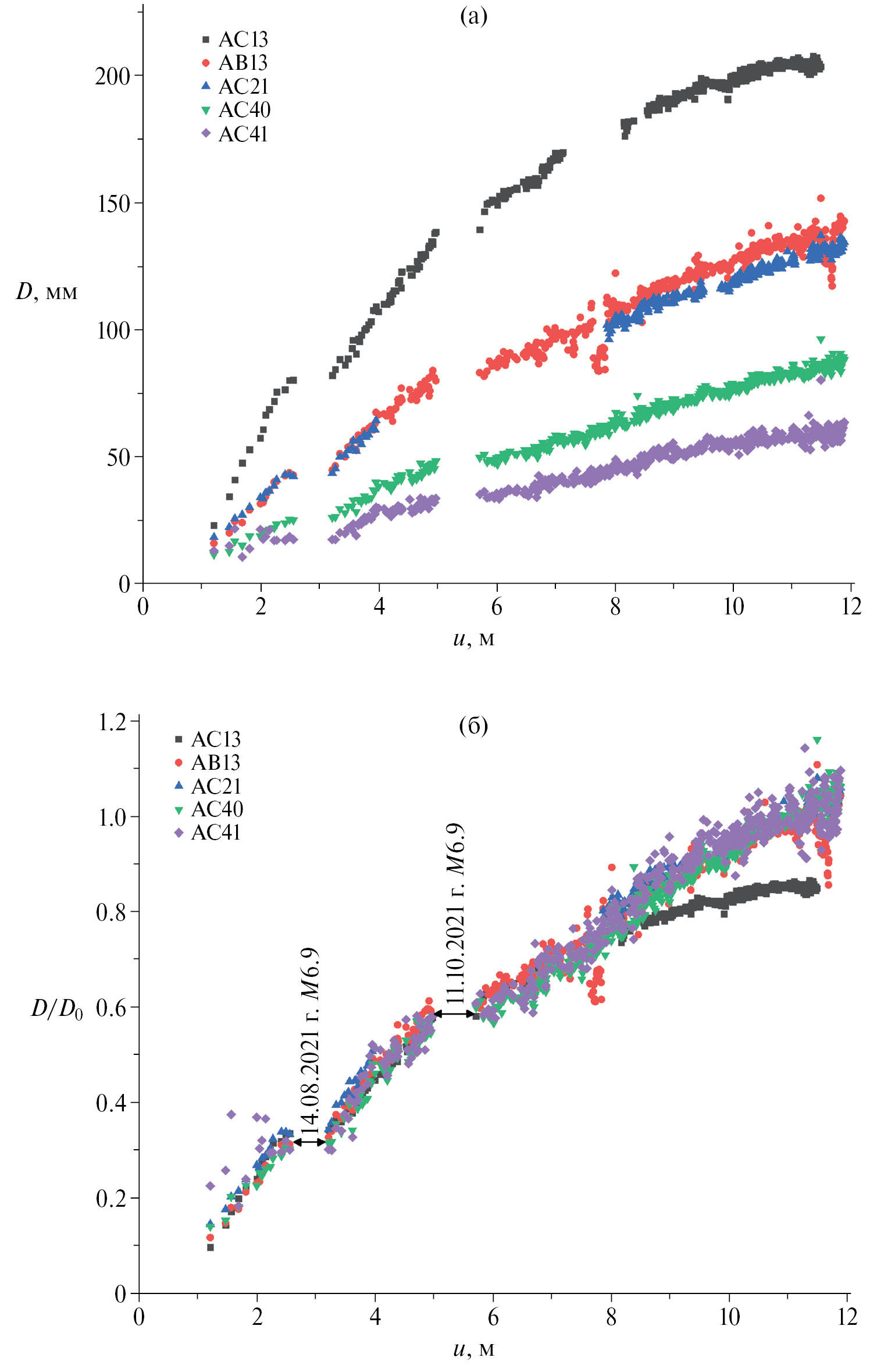
Рис. 8. Диаграмма рассеяния значений кумулятивного афтершокового смещения u и смещения D пунктов GPS: (а) – абсолютные величины смещений пунктов GPS; (б) – нормированные величины смещений пунктов GPS; стрелками показаны и подписаны времена двух сильных афтершоков.
На рис. 8 сопоставлены величины кумулятивных смещений в очагах афтершоков и величины смещений всех пунктов GPS.
На рис. 8а видна пропорциональность постсейсмических смещений кумулятивным афтершоковым смещениям (кусочно-линейная зависимость D от u). Коэффициенты пропорциональности (наклоны прямолинейных участков на рис. 8а) для разных пунктов различны, что, очевидно, обусловлено различным расположение пунктов GPS по отношению к зоне сейсмогенерации афтершоков.
На рис. 8б смещения пунктов GPS нормированы на величины смещений в конце постсейсмического интервала. Для нормировки использованы средние значения смещений D0в интервале времени от 400 до 500 сут. после землетрясения Чигник. Видно, что нормированные таким образом смещения ложатся на единую для всех пунктов GPS зависимость от кумулятивного афтершокового смещения. Наличие такой общей зависимости свидетельствует, что постсейсмические движения на всех пунктах GPS имеют общий источник – подвижки в очагах множества афтершоков.
Причина заметного на рис. 8б отклонения данных пункта AC13 от общей зависимости в области афтершокового смещения более 8 м неясна. Можно лишь предположить несколько возможностей. Возможно, что это – артефакт, поскольку выпадающие из общей зависимости данные GPS приходятся на интервал времени после большого пропуска в исходных данных с 133 до 226 сут. постсейсмического интервала. Но нельзя исключить и того, что постсейсмическая релаксация в этом месте закончилась раньше, чем в других точках, вследствие особенностей положения пункта AC13: он расположен ближе к оси субдукции, чем другие пункты, и находится сбоку от очага основного землетрясения.
ВЫВОДЫ
Постсейсмические движения в очаговой зоне землетрясения Чигник имеют характер крипового скольжения (afterslip). Скорость постсейсмических движений точек поверхности Земли (пунктов наблюдений GPS) спадает по степенному закону близкому к 1/t (t – время после землетрясения). На интервале времени в два года величины постсейсмических движений (смещения) увеличиваются во времени по логарифмическому закону.
Постсейсмические смещения в пунктах наблюдений пропорциональны смещениям в сейсмотектоническом течении, обусловленном афтершоками землетрясения. Это позволяет рассматривать суммарные подвижки в очагах афтершоков как общий механизм криповой постсейсмической деформации в очаговой области землетрясения Чигник.
ФИНАНСИРОВАНИЕ РАБОТЫ
Исследование выполнено за счет гранта Российского научного фонда № 23-17-00064, https://rscf.ru/project/23-17-00064/.
1 https://www.unavco.org/data/gps-gnss/derived-products/derived-products.html
2 https://earthquake.usgs.gov/earthquakes/search/
About the authors
V. B. Smirnov
Schmidt Institute of Physics of the Earth, Russian Academy of Science; Moscow State University
Author for correspondence.
Email: vs60@mail.ru
Faculty of Physics
Russian Federation, Moscow, 123242; Moscow, 119991V. O. Mikhailov
Schmidt Institute of Physics of the Earth, Russian Academy of Science
Email: vs60@mail.ru
Russian Federation, Moscow, 123242
A. M. Konvisar
Schmidt Institute of Physics of the Earth, Russian Academy of Science; Moscow State University
Email: vs60@mail.ru
Faculty of Physics
Russian Federation, Moscow, 123242; Moscow, 119991References
- Жарков В.Н. Физика Земных недр. М.: Наука и образование. 2012. 384 с.
- Конвисар А.М., Михайлов В.О., Волкова М.С., Смирнов В.Б. Модель поверхности сейсмического разрыва землетрясения “Чигник” (Аляска, США) 29.07.2021 по данным спутниковой радарной интерферометрии и ГНСС // Вулканология и сейсмология. 2023. № 5. С. 74–83.
- Конвисар А.М., Михайлов В.О., Смирнов В.Б., Тимошкина Е.П. Постсейсмические процессы в области землетрясения Чигник на Аляске 29.07.2021. Часть I: Результаты моделирования // Физика Земли. 2024. № 4. С. 21–34.
- Костров Б.В. Сейсмический момент, энергия землетрясения и сейсмическое течение горных масс // Изв. АН СССР. Сер. Физика Земли. 1974. № 1. С. 23–40.
- Магницкий В. А. Внутреннее строение и физика Земли. М.: Недра. 1965. 379 с.
- Мейз Дж. Теория и задачи механики сплошных сред. М.: Мир. 1974. 318 с.
- Михайлов В.О., Назарян А.Н., Смирнов В.Б. и др. Совместная интерпретация данных дифференциальной спутниковой интерферометрии и GPS на примере Алтайского (Чуйского) землетрясения 27.09.2003 г. // Физика Земли. 2010. № 3. С. 3–16.
- Михайлов В.О., Пане И., Хаен М., Тимошкина Е.П., Бонвало С., Ляховский В., Диаман М., Девирон О. Сравнительный анализ временных вариаций глобального гравитационного поля по данным спутников Грейс в областях трех недавних гигантских землетрясений // Физика Земли. 2014. № 2. С. 29–40.
- Михайлов В.О., Диаман М., Любушин А.А., Тимошкина Е.П., Хайретдинов С.А Крупномасштабный асейсмический крип в областях сильных землетрясений по данным спутников ГРЕЙС о временных вариациях гравитационного поля // Физика Земли. 2016. № 5. С. 70–81.
- Молчан Г.М., Дмитриева О.Е. Идентификация афтершоков: обзор и новые подходы // Вычислительная сейсмология. 1991. Вып. 24. С. 19–50.
- Писаренко В.Ф. О законе повторяемости землетрясений // Дискретные свойства геофизической среды. М.: Наука. 1989. С. 47–60.
- Ризниченко Ю.В. О сейсмическом течении горных масс. Динамика Земной коры. М.: Наука. 1965. С. 56–63.
- Ризниченко Ю.В. Протяженный очаг и сейсмотектоническое течение горных масс. Исследования по физике землетрясений. М.: Наука. 1976. С. 236–262.
- Ризниченко Ю.В. Расчет скорости деформации при сейсмотектоническом течении горных масс // Изв. АН СССР. Сер. Физика Земли. 1977. № 10. С. 34–47.
- Садовский М.А., Писаренко В.Ф., Штейнберг В.В. О зависимости энергии землетрясения от объема сейсмического очага // Докл. АН СССР. 1983. Т. 271. № 3. С. 598–602.
- Смирнов В.Б. Опыт оценки представительности данных каталогов землетрясений // Вулканология и сейсмология. 1997. № 4. С. 93–105.
- Смирнов В.Б. Прогностические аномалии сейсмического режима. I. Методические основы подготовки исходных данных // Геофизические исследования. 2009. Т. 10. № 2. С. 7–22.
- Aki K. Scaling law of seismic spectrum // J. Deophys. Res. 1967. V. 72. P. 1217–1231. doi: 10.1029/JZ072i004p01217
- Anderson O.L., Grew P.C. Stress corrosion theory of crack propagation with applications to geophysics // Reviews of Geophysics. 1977. V. 15. P. 77–104.
- Elliott J., Ronni L., Grapenthin R., Parameswaran R.M., Xia Z., Freymueller J.T., Fusso L. Cascading rupture of a megathrust // Science Advances. 2022. V. 8. № 18. doi: 10.1126/sciadv.abm4131
- Freed A.M., Burgmann R. Evidence of power-law flow in the Mojave desert mantle // Nature. 2004. V. 430(6999). P. 548–551. doi: 10.1038/nature02784
- Freed A.M., Burgmann R., Calais E., Freymueller J., Hreinsdottir S. Implications of deformation following the 2002 Denali, Alaska, earthquake for postseismic relaxation processes and lithospheric rheology // J. Geophys. Res.-Solid Earth. 2006a. V. 111(B1). doi: 10.1029/2005jb003894
- Freed A.M., Burgmann R., Calais E., Freymueller J. Stress-dependent power-law flow in the upper mantle following the 2002 Denali, Alaska, earthquake // Earth Planet. Sci. Lett. 2006b. V. 252(3–4). P. 481–489. doi: 10.1016/j.epsl.2006.10.011
- Freed A.M. Afterslip (and only afterslip) following the 2004 Parkfield, California, earthquake // Geoph. Res. Lett. 2006b. V. 34. L06312. doi: 10.1029/2006GL029155
- Johnson K.M., Burgmann R., Freymueller J.T. Coupled afterslip and viscoelastic flow following the 2002 Denali Fault, Alaska earthquake // Geophys. J. Int. 2009. V. 176. P. 670–682. doi: 10.1111/j.1365-246X.2008.04029.x
- Liu C., Lay T., Xiong X. The 29 July 2021 Mw 8.2 Chignik, Alaska Peninsula earthquake rupture inferred from seismic and geodetic observations: Re-rupture of the western 2/3 of the 1938 rupture zone // Geophys. Res. Lett. 2022 V. 49. e2021GL096004.
- Liu K., Geng J., Wen Y., Ortega-Culaciati F., Comte D. Very early postseismic deformation following the 2015 Mw 8.3 Illapel earthquake, Chile revealed from kinematic GPS // Geophys. Res. Lett. 2022. V. 49. e2022GL098526.
- Lomnitz C. Linear dissipation in solids // J. Appl. Phys. 1957. V. 8. №2. P. 201–205. doi: 10.1063/1.1722707
- Marone C., Scholz C.H., Bilham R. On the mechanics of earthquake afterslip. // J. Geophys. Res.1991. V. 96. P. 8441–8452.
- Narteau C., Shebalin P., Holschneider M. Temporal limits of the power law aftershock decay rate // J. Geophys. Res. 2002. V. 107. P. B2359. doi: 10.1029/2002JB001868
- Perfettini H., Avouac J.P. Postseismic relaxation driven by brittle creep: A possible mechanism to reconcile geodetic measurements and the decay rate of aftershocks, application to the Chi-Chi earthquake, Taiwan // J. Geophys. Res.-Solid Earth. 2004. V. 109(B2). doi: 10.1029/2003jb002488
- Perfettini H., Avouac J.-P., Ruegg J.-C. Geodetic displacements and aftershocks following the 2001 Mw = 8.4 Peru earthquake: Implications for the mechanics of the earthquake cycle along subduction zones // J. Geophys. Res. 2005. V. 110. P. B09404. doi: 10.1029/2004JB003522
- Pollitz F.F. Transient rheology of the upper mantle beneath central Alaska inferred from the crustal velocity field following the 2002 Denali earthquake // J. Geophys. Res. 2005. V. 110. P. B08407. doi: 10.1029/2005JB003672
- Rice J.R., Lapusta N., Ranjith K. Rate and state dependent friction and the stability of sliding between elastically deformable solids // J. Mech. Phys. Sol. 2001. V. 49. P. 1865–1898.
- Scholz C. Mechanism of Creep in Brittle Rock // J. Geophys. Res. 1968a. V. 73. № 10. P. 3295–3302.
- Scholz C. Microfractures, aftershocks, and seismicity // Bull. Seism. Soc. Am. 1968b. V. 58. P. 1117–1130.
- Thingbaijam K.K.S., Mai M.P., Goda K. New empirical earthquake source-scaling laws // BSSA. 2017. V. 107. № 5. P. 2225–2246. doi: 10.1785/0120170017
- Xiang Y., Bian Y., Liu J., Xing Y. Insights into Very Early Afterslip Associated with the 2021 M8.2 Chignik, Alaska Earthquake Using Subdaily GNSS Solutions // Remote Sens. 2023. V. 15. P. 5469. https://doi.org/10.3390/rs15235469
Supplementary files










