Закон продуктивности землетрясений в модели Олами–Федера–Кристенсена–Журкова
- Авторы: Черепанцев А.С.1, Смирнов В.Б.2,3
-
Учреждения:
- Южный федеральный университет
- Московский государственный университет имени М.В. Ломоносова
- Институт физики Земли им. О.Ю. Шмидта РАН
- Выпуск: № 4 (2024)
- Страницы: 3-20
- Раздел: Статьи
- URL: https://journals.rcsi.science/0002-3337/article/view/261793
- DOI: https://doi.org/10.31857/S0002333724040017
- EDN: https://elibrary.ru/FXXIPY
- ID: 261793
Цитировать
Полный текст
Аннотация
Обобщенная клеточная модель, основанная на модели клеточного автомата Олами–Федера–Кристенсена и модифицированная посредством учета долговечности материала на основе кинетической концепции прочности твердых тел академика С.Н. Журкова, использована для моделирования и прояснения природы статистического закона продуктивности землетрясений. Модифицированной модели дано название модель Олами–Федера–Кристенсена–Журкова (ОФКЖ). В модели ОФКЖ реализуются основные статистические закономерности сейсмичности: законы Гутенберга–Рихтера и Омори–Утсу, закон Бота, фрактальная геометрия сейсмичности, закон продуктивности землетрясений. Показано, что кластеризация модельных событий (аналогов землетрясений), отвечающая закону продуктивности землетрясений, обусловлена кинетической компонентой модели ОФКЖ. Получены зависимости величины продуктивности от прочности материала и температуры среды, рассмотрено влияние на продуктивность параметра Журкова и параметра связи ячеек в клеточной модели (степени диссипативности модели). Показано, что выявленные зависимости продуктивности от прочности и температуры согласуются с имеющимися эмпирическими данными.
Полный текст
ВВЕДЕНИЕ
Закон продуктивности землетрясений отражает степенной характер распределения кластеров в определенном смысле связанных землетрясений по количеству сейсмических событий в кластере [Шебалин и др., 2018; Баранов и др., 2020; Shebalin et al., 2020; 2022]. Под продуктивностью понимается величина, обратная к показателю экспоненциального распределения, численно равная среднему количеству событий в кластере. Для выявления кластеризованных событий используется мера близости землетрясений в пространстве–времени–энергии, опирающаяся на представления обобщенного закона повторяемости землетрясений (известного также как закон подобия землетрясений) [Baiesi, Paczuski, 2004; Zaliapin et al., 2008]:
(1)
где: t – время соответствующего события; rij – расстояние между событиями; df – фрактальная размерность пространственного распределения событий; mi – магнитуда i-го события; b – параметр Гутенберга–Рихтера. Кластер определяется заданием порога близости событий в метрике (1). Для выбора порога, отделяющего кластеризованные события от фоновых, используется процедура “перемешивания” событий каталога по времени, разрушающая временную связность сейсмических событий [Shebalin et al., 2020].
Вопрос о физике закона продуктивности землетрясений остается пока открытым. Известны исследования, направленные на прояснение природы закона продуктивности как со статистических позиций [Molchan et al., 2022], так и посредством поиска физических факторов, влияющих на параметры этого закона [Shebalin et al., 2020; Малютин, 2023; Маточкина, 2023; Trugman, Ben-Zion, 2023; Baranov et al., 2024; Моторин и др., 2024].
В настоящей работе мы использовали обобщенную клеточную модель, основанную на модели клеточного автомата Олами–Федера–Кристенсена и модифицированную [Черепанцев, 2023] введением в нее представлений о долговечности материала на основе кинетической концепции прочности твердых тел академика С.Н. Журкова [Журков, 1957; 1968]. Целью работы было выявление зависимостей величины продуктивности от параметров модели, имеющих физическое содержание.
КЛЕТОЧНАЯ МОДЕЛЬ ОЛАМИ–ФЕДЕРА–КРИСТЕНСЕНА
Применение концепции клеточных автоматов на основе модели Олами–Федера–Кристенсена (ОФК) [Olami et al., 1992] для задач физики сейсмического режима и объяснения статистических закономерностей сейсмичности имеет давнюю историю. Эта модель использовалась для интерпретации некоторых степенных распределений параметров сейсмичности как проявлений самоорганизованной критичности. Обзор истории вопроса и основных достижений, полученных в этом направлении, можно найти в работах [Christensen., 1992, Lise, Paczuski, 2001; Hergarten, Krenn, 2011]. Отметим при этом, что несмотря на простоту модели, в настоящее время нет пока общепринятого мнения о возможности достижения критического состояния в диссипативной модели ОФК. Ряд авторов находят критичность состояния системы при увеличении размера решетки и проверки условия конечно-размерного скейлинга [Miller, Boulter, 2001], другие же, используя подходы теории ветвящихся процессов, определяют состояние как “почти критическое” [Carvalho, Prado, 2000].
Клеточная модель ОФК рассматривается иногда как упрощенная компьютерная реализация (приближение) блоковой модели Барриджа–Кнопова [Burridge, Knopoff, 1967; Christensen, Olami, 1992]. Модель ОФК задается системой элементов (ячеек) двумерной решетки. Каждому элементу приписывается параметр σi,j с исходным случайным значением в диапазоне 0 ≤ σi,j < σmax. Эволюция состояния решетки в модели обеспечивается путем задания приращения параметра σi,j на каждом шаге на заданную величину. При достижении или превышении значениями σi,j в ячейках предельной величины σmax, значение в ячейке сбрасывается в ноль (ячейка “разрушается”), а соседние ячейки получают приращение Δ =α ‧ σi,j. Параметр α называемый иногда параметром связи, является основным параметром модели. Для двумерной решетки и четырех соседних элементов α может принимать значения 0 < α <1/4. Модель в этом случае является диссипативной, поскольку при каждом сбросе ячейки происходит диссипация на величину (1 - 4α)σi,j. Если “разрушение” происходит одновременно в соседних ячейках, то их объединяют в единое событие – сброс, величина S которого определяется количеством составляющих его ячеек. Применительно к сейсмологии такое множество ячеек размера S соотносят с очагом землетрясения. Поскольку в рамках самоподобной модели очага землетрясения [Aki, 1967] его энергия пропорциональна кубу линейного размера очага l, а магнитуда связана с энергией соотношением lgE = 1.5M + const, магнитуда землетрясения пропорциональна логарифму площади поверхности очага: M ∝ lgl2. [Касахара, 1985]. Это позволяет соотносить логарифм величины S в модели ОФК с магнитудой землетрясения. Величину σi,j в некоторой ячейке соотносят обычно с напряжениями в некоторой точке среды.
Модель ОФК с открытыми граничными условиями после конечного числа итераций переходит в стационарное состояние [Christensen, 1992]. Оно характеризуется степенной зависимостью распределения сбросов по размерам F(S) ∼ S-τ с показателем τ ≃ 0.8 близким к значению параметра Гутенберга–Рихтера b в законе повторяемости землетрясений и фрактальным распределением эпицентров сбросов на поверхности решетки с фрактальной размерностью d2 ≃ 1.5, близкой к наблюдаемому значению d2 для эпицентров землетрясений.
В работах [Hergarten, Neugebauer, 2002; Helmstetter et al., 2004] была рассмотрена возможность возникновения афтершоковых последовательностей в диссипативной модели ОФК. Авторами показано наличие временных структур, напоминающих последовательности афтершоков в реальных сейсмических каталогах. При этом афтершоки в модели ОФК не могут наблюдаться, если отсутствует приращение параметра σi,j в отличие от общепринятого подхода к афтершокам как релаксационном отклике на землетрясение большой магнитуды. Кроме того, в модели ОФК количество событий, происходящих во временном окне T до и после основного события, должно быть равным, тогда как в натурной сейсмичности форшоковая активизация (если она присутствует) бывает выражена гораздо слабее, чем афтершоковая.
Другой подход введения в модель ОФК механизма временной связности сбросов основан на задании внешнего приращения параметра σᵢ,ⱼ на каждом шаге итерации не на постоянное значение, а согласно временной функции, описывающей максвелловскую вязкоупругую связь [Nakanishi, 1992]. Такая модель является клеточным приближением механической упруго-блоковой модели, расположенной на вязкоупругом основании, движущимся с постоянной скоростью. Полученные в работе модельные расчеты показывают возможность возникновения последовательности афтершоков с параметром Омори, близким к значениям для природных афтершоков. Такой результат можно соотнести с гипотезой, объясняющей убывание природной афтершоковой активности процессами вязкой релаксацией напряжений.
Иерархическая клеточная модель рассмотрена в работе [Narteau et al., 2000]. В модели получены пространственно-временная кластеризация событий, реалистичные афтершоковые последовательности, подчиняющиеся закону Омори, и степенное распределение событий по размерам (закон Гутенберга–Рихтера).
МОДЕЛЬ ОЛАМИ–ФЕДЕРА–КРИСТЕНСЕНА–ЖУРКОВА
Концепция рассмотрения процесса разрушения твердых тел с позиций физической кинетики была предложена академиком С.Н. Журковым [Журков, 1957; 1968]. Схожая концепция долговечности материалов известна также как коррозия напряжений [Scholz, 1968a], обзор этого направления можно найти в работах [Anderson, Grew, 1977; Hill, Prejean, 2015].
Идея кинетической концепции Журкова заключается в том, что разрушение материала развивается постепенно вследствие термически активируемых кинетических процессов на микроуровне и проявляется в накоплении микроразрушений. Это приводит к тому, что макроразрушение материала определятся не только уровнем напряжений, но и временем, в течение которого материал находится в напряженном состоянии. Формула Журкова для долговечности материала под нагрузкой имеет вид:
, (2)
где: U0 – энергия диссоциации межатомной связи; τ0 ≃ 10-13 с – период тепловых колебаний атомов; T – температура; k – постоянная Больцмана. Параметр γ – структурно-чувствительный параметр Журкова, определяющий уменьшение прочности межатомной связи под действием напряжений σ. Величина γ пропорциональна перенапряжению на межатомных связях по сравнению со средним значением напряжения в образце. Предел прочности материала σ0, определяемый как порог напряжений, при достижении которого материал мгновенно разрушается, равен согласно (2) σ0 = U0/γ. Если напряжения меньше предела прочности, то согласно кинетической концепции (в отличие от инженерной концепции предела прочности) разрушение тоже происходит, но спустя некоторое время, определяемое формулой Журкова (2). Кинетическая концепция прочности (или аналогичная ей концепция коррозии напряжений) находит различные применения в физике сейсмического процесса и, в частности, в объяснении закономерностей релаксационных и других переходных режимов сейсмичности [Scholz, 1968b; Narteau et al., 2002; 2003; Смирнов и др., 2010; 2019; Baranov et al., 2024]. Подробное обсуждение этого вопроса можно найти в работе [Смирнов, Пономарев, 2020].
В работе [Черепанцев, 2023] была предложена модификация клеточной модели ОФК с помощью кинетической концепции Журкова, позволившая моделировать афтершоковые последовательности, подчиняющиеся закону Омори. Идея модификации состоит в том, что разрушение ячейки может происходить при величине σᵢ,ⱼ, меньшей, чем пороговое значение σmax. Будем обозначать эту модифицированную модель как ОФКЖ (модель Олами–Федера–Кристенсена–Журкова).
В модели ОФКЖ будем трактовать величину σi,j как напряжения, действующие в некоторой точке среды. Критерий сброса напряжений в ячейке решетки по достижении порогового значения (критерий прочности) заменяется критерием достижения времени нахождения ячейки под нагрузкой пороговой долговечности в соответствии с (2). Этот критерий в случае переменного во времени напряжения σ, входящего в (2), реализуется согласно рекомендациям работы [Регель и др., 1974] на основе принципа Бейли [Bailey, 1939], отражающего физический процесс накопления дефектов в материале под нагрузкой.
Условие сброса ячейки определяется суперпозицией временных участков накопления дефектов с разной скоростью, зависящей от изменения во времени напряжений σi,j (t).
, (3)
где: τ(σi,j(t)) – время разрушения элемента (i, j) согласно (2); l =1,…,k – номер временной итерации; k – номер итерации, на которой происходит сброс. Будем называть данный параметр степенью дефектности элемента, диапазон его изменений до наступления разрушения 0 ≤ D < 1. Если трактовать величину τ(σ) из (2) как среднее время до разрушения при постоянном напряжении σ, то при ступенчатом изменении напряжения во времени отношение Δti /τ(σi,j) имеет смысл вероятности разрушения на l-ом шаге, а повреждаемость Di, j(tk) – вероятности разрушения к моменту времени tk.
Таким образом, в клеточной модели ОФКЖ состояние элемента (ячейки) в произвольный момент времени t определяется массивом значений напряжений {σi,j} и массивом значений степени дефектности {σi,j} элементов.
Для удобства численной реализации модели ОФКЖ перепишем (2) в виде:
(4)
где S* = U0/ γ. – инженерный предел прочности (мгновенная прочность); A = τ0; θ = kT / γ.
При задании линейного во времени роста напряжений в элементах σ(t) = σ0(t0) + β(t -t0) (что применительно к натурным условиям соответствует линейной аппроксимации изменения тектонических напряжений за характерный период повторяемости землетрясений) скорость дефектообразования:
Увеличение степени дефектности за время Δt = t – t0:
(5)
Время Δtf, необходимое для достижения дефектности порогового значения D = 1 при начальных условиях (σ0, D0):
(6)
В модели ОФКЖ так же, как и в модели ОФК, макросброс формируется из набора сбросов соседних ячеек. При этом приращение напряжения от соседней сброшенной ячейки не меняет в текущий момент времени значение D, но определяет рост скорости дефектообразования и достижение критической величины за малый интервал времени. В качестве масштаба процесса формирования макросброса выбирается минимальное характерное время, задаваемое (2) и (3): τmin = A = τ0,
Общая схема реализации клеточной модели ОФКЖ выглядит следующим образом.
- Задаются параметры модели: L×L – размер решетки элементов, β – приращение напряжений в единицу времени, α – параметр связи соседних ячеек, A, S*, θ – параметры кинетической модели разрушения.
- Для модели с открытыми граничными условиями определяется случайное распределение напряжений в ячейках {σᵢ‚ⱼ} в диапазоне от 0 до S* и нулевая во всех ячейках дефектность {Di,j = 0}
- С помощью (6) определяется ближайший сбрасываемый элемент (k, l) (Di,j = 1) и время, необходимое для этого Δti. С помощью (5) рассчитывается эволюция состояний (σi,j, Di,j) элементов решетки за время Δti.
- Определяются элементы, для которых степень дефектности D равна (или больше) единицы.
- Четыре соседние ячейки (k ± 1), (k,l ± 1) получают приращение напряжения Δσ = α ‧ σk,l. Проверяется достижение этими ячейками условия сброса (5) D ≥ 1 Если оно выполняется, то в этих ячейках сбрасываются в ноль значения σk,l, Dk,l.
- Пункты 4 и 5 повторяются до тех пор, пока не будут обработаны все элементы, получающие в ходе перераспределения сбрасываемых напряжений значения D ≥ 1 При образовании сбросов в смежных ячейках регистрируются макросбросы, представляющие собой связные области объединения смежных сброшенных ячеек. Макросбросы рассматриваются как “сейсмические события”, им приписывается размер, равный количеству составляющих их ячеек, время, координаты (координаты центра массы макросброса – аналог координат центроид-момента землетрясения), координата первой сброшенной ячейки, входящей в макросброс (аналог инструментальных координат очага землетрясения), координаты сброшенной ячейки, внесшей последней приращение напряжения в данный макросброс.
- Переход к пункту 3 и циклическое повторение всех расчетных процедур до достижения исходно заданных значений параметров числа рассчитываемых макросбросов или достижения заданного времени эволюции модели.
Результатом расчета является каталог макросбросов, включающий в себя параметры, перечисленные в п. 6. Будем далее называть такие макросбросы событиями.
Выбор параметров модели для расчета определялся задачей разделения временных масштабов различных процессов с учетом компьютерных вычислительных возможностей: процесса генерации событий за счет линейного роста “тектонических” напряжений (назовем такой процесс фоновым), кинетического процесса роста степени дефектности элемента модели и процесса формирования события.
Временной масштаб фонового процесса можно определить средним периодом сбросов отдельных элементов с учетом приращения напряжения во времени со скоростью β плюс приращения напряжения за счет сброса четырех соседних элементов:
Вклад в приближение ячейки к порогу сброса вносит как скорость роста “тектонических” напряжений β, так и собственно кинетика разрушения при постоянных значениях напряжения. Чтобы выделить второй механизм, найдем соотношение параметров модели, когда первым механизмом можно пренебречь (в случае преобладания первого механизма модель ОФКЖ переходит просто в модель ОФК).
Приращение степени дефектности за счет первого механизма в соответствии с (5) и при условии
(7)
Второе слагаемое в (7) определяет первый механизм приращения дефектов, первое слагаемое, соответственно, второй механизм. Тогда условие Δt ≪ τ* где τ* = 2(θ / β) определяет временной масштаб, на котором кинетика является определяющей в дефектообразовании.
Временной масштаб формирования события (макросброса) путем объединения соседних сброшенных ячеек определяется значением параметра A в (3).
Таким образом, для наших исследований параметры модели ОФКЖ следует выбирать исходя из выполнения условий:
T1≫ τ* ≫ A (8)
Характерные значения параметров, использовавшихся, в настоящей работе составляют: A ≈ 10-4, θ =4 - 9, S*⩾ 103, β = 2 ‧ 10-2, α ≈ 0.2. Соответствующие временные масштабы: T1 = 104, τ* ≈ 4 - 9 ‧ 102, A ∼ 10-4 удовлетворяют условию (8).
Рис. 1. Фрагмент временной последовательности событий в модели ОФКЖ (нижний рисунок). На верхних рисунках более подробно показаны примеры модельных афтершоковых последовательностей для главных событий величиной S > 10³. Параметры модели: L × L = 500 × 500, α = 0.235, A = 1 ⋅ 10⁻⁴,= 10³,= 9,= 0.02.
В качестве иллюстрации модельных расчетов на рис. 1 представлен фрагмент временной последовательности событий в модели ОФКЖ. Видно образование крупных событий и их афтершоковых последовательностей (показаны вверху).
СТАТИСТИЧЕСКИе ЗАКОНОМЕРНОСТИ “СЕЙСМИЧНОСТИ” В МОДЕЛИ ОФКЖ
В работе [Черепанцев, 2023] было показано, что в определенном диапазоне параметров модель ОФКЖ позволяет воспроизвести некоторые статистические закономерности сейсмичности. Кратко проиллюстрируем это на примерах.
Закон Гутенберга–Рихтера
Рис. 2. Кумулятивный график повторяемости событий в модели ОФКЖ (распределение событий по их величине: N (s > S) при различных значениях θ. Пунктирные кривые соответствуют распределению с удаленными афтершоками. Для сравнения показаны результаты для модели ОФК (предельный переход от ОФКЖ к ОФК достигается при θ → 0).
На рис. 2 представлены кумулятивные графики повторяемости по данным модельных каталогов событий. Напомним, что привычная для сейсмологии магнитуда события определится в модели как M = lgS + const.
Видно, что график повторяемости близок к линейному, и величина его наклона близка к значению характерному для натурной сейсмичности. Пунктирной стрелкой на рис. 2 показана величина максимально возможного события, определяемого размером решетки L×L Этим ограничением, вероятно, обусловлен загиб графика повторяемости на больших событиях.
Фрактальная геометрия множества эпицентров
Рис. 3. Оценка фрактальной размерности d₂ множества событий на двумерной сетке по корреляционному интегралу в модели ОФКЖ на сетке L × L = 500 × 500, при α = 0.2 и с различными значениями параметра θ.
На рис. 3 представлены корреляционные интегралы, построенные по координатам событий в модели ОФКЖ. Видно, что в диапазоне расстояний, перекрывающем более двух порядков, графики корреляционных интегралов прямолинейны, а величина корреляционной размерности близка к значению, характерному для природной сейсмичности.
Афтершоковые последовательности: закон Омори–Утсу, закон Бота
Рис. 4. Пространственное и временное распределения афтершоков в ОФКЖ модели на решеткес параметрами α = 0.235, θ = 9, A = 10⁻⁴, S* = 1000, β = 0.002 (а) – пространственное. Пространственное положение основного события (синий) и афтершоковых событий; (б) – временная. Временная последовательность афтершоковых событий.
На рис. 4 представлен пример пространственного и временного распределений афтершоковой последовательности для большого главного события S = 11 012 в модели ОФКЖ.
Граница главного события представляет собой фрактальную изрезанную линию. Афтершоки расположены вдоль границы главного события и включают как первичные события (сбросы непосредственно в приграничных ячейках), так и вторичные события, порожденные первичными событиями. Тем самым, афтершоковые последовательности в модели ОФКЖ представляют собой ветвящиеся процессы.
На рис. 4 видно уменьшение со временем как величины (магнитуды), так и частоты афтершоков. В натурной сейсмичности первое соотносят с законом Бота [Bath ,1965] (и его динамической модификацией [Баранов, Шебалин, 2018; Baranov et al., 2022]), второе – с законом Омори и его модификацией (законом Омори–Утсу) [Utsu, 1961]:
. (9)
Рис. 5. Частота афтершоковых событий в модели ОФКЖ в зависимости от времени, прошедшего после главного события S = 11 012 (рис. 4).
На рис. 5 представлена зависимость частоты афтершоковых событий от времени после главного события в модели ОФКЖ и показана аппроксимация в соответствии с законом Омори–Утсу (9). Вопрос о характере афтершоков симулируемых в модели ОФКЖ подробно рассмотрен в работе [Черепанцев, 2023]. Показано, что последовательность модельных афтершоковых событий подчиняется закону Омори–Утсу, если вклад роста “тектонических” напряжений значительно меньше вклада кинетики разрушения (что соответствует выбранным нами условиям (8)). Величины параметров p и c закона Омори–Утсу зависят от параметра взаимодействия α. С ростом α происходит уменьшение p и увеличение c.
Рис. 6. Оценка функции плотности распределения разности магнитуд основного сброса и максимальных сбросов в афтершоковой последовательности MS в ОФКЖ модели.
С целью проверки выполнимости закона Бота в модели ОФКЖ проведен анализ распределений магнитуд максимальных афтершоков. Рассмотрены афтершоковые последовательности главных событий S ≥ 400 объем проанализированной выборки – 786 главных событий. Магнитуда события принималась равной логарифму его величины: M =lgS Полученные результаты представлены на рис. 6. Пунктиром показана кривая аппроксимации нормальным распределением. Полученная оценка среднего значения разности Ms = 1.4 ± 0.2 оказывается близкой к значению характерному для натурных афтершоков.
ЗАКОН ПРОДУКТИВНОСТИ ЗЕМЛЕТРЯСЕНИЙ В МОДЕЛИ ОФКЖ
Учитывая, что в модели ОФКЖ величина события характеризуется “площадью” очага S (количеством разрушившихся ячеек), а его магнитуда определяется как M =lgS +const мы модифицировали формулу (1), введя в нее значение S вместо магнитуды:
. (10)
На рис. 7 сплошными линиями представлены оценки функций плотности распределения параметра близости пар сбросов η в моделях ОФК и ОФКЖ. Параметры моделей приведены в подписи к рис. 7. В расчетах использован каталог сбросов с амплитудами, превышающими величину Smin ≥ 2 и объемом NS ≥ 104 событий. Для сравнения пунктирными линиями представлены соответствующие распределения для “перемешанных” каталогов. Согласно работе [Shebalin et al., 2020] в “перемешанном” каталоге события расставлены во времени случайным образом.
Рис. 7. Функция плотности распределения близости событий для ОФК модели в линейном (а) и логарифмическом (в) масштабах и для модели ОФКЖ модели в линейном (б) и логарифмическом (г) масштабах. Параметры ОФК модели: Sₘᵢₙ = 2; α = 0.2; Параметры ОФКЖ модели: α = 0.2; Sₘᵢₙ = 2; S* = 1000; Распределения (1) соответствуют модельным каталогам. Пунктиром представлены распределения (2) с перемешанными по времени каталогами.
На рис. 7б видно, что в модели ОФКЖ распределение событий по расстояниям η между ними имеет бимодальный характер. Такие распределения характерны для природных сейсмических режимов [Shebalin et al., 2022]. Первый пик, при меньшем значении η интерпретируется как проявление кластеризации, второй пик, при большем значении η обусловлен некластеризованной (фоновой) сейсмичностью. Бимодальное распределение на рис. 7б свидетельствует о возникновении в модели ОФКЖ связанных кластеризованных событий и, соответственно, о возможности оценки продуктивности модельных “землетрясений”.
Для стандартной модели ОФК, без кинетической компоненты Журкова, распределение событий по расстояниям η – одномодальное (рис. 7а). Совпадение распределения событий по расстояниям (сплошная кривая на рис. 7а) с распределением в “перемешанном” (случайном) каталоге (пунктирная кривая) свидетельствует, что в модели ОФК кластеризация событий не возникает.
Следуя методике работы [Shebalin et al., 2020], для определения величины порога η* отделяющего кластеризованные события от фоновых, мы использовали “перемешивание” времен всех событий каталога. Эти распределения показаны на рис. 7 пунктирными линиями. На рис. 7в, 7г распределения представлены в логарифмическом масштабе, на них, по нашему мнению, более наглядно видна область значений η, отвечающая кластеризованным событиям. На рис. 7в видно, что кластеризованных событий нет. Рисунок 7г демонстрирует наличие кластеризованных событий при η < η*≈ 2
Авторы закона продуктивности землетрясений допускают, вообще говоря, иерархию уровней родительских событий и событий-потомков, не запрещая потомкам первого родителя самим становиться родителями последующих потомков второго уровня и т.д. [Shebalin et al., 2020; 2022]. При этом продуктивность землетрясения формально определяется не общим числом потомков, а числом потомков, которые вызваны непосредственно родителем, то есть являются потомками первого уровня (их также называют прямыми потомками или прямыми афтершоками).
Закон продуктивности землетрясений выражается экспоненциальным распределением количества прямых потомков λ в интервале магнитуд ΔM относительно магнитуды Mmain родительского события:
(11)
Параметр ᐱΔM в (11) называется ΔM - продуктивностью, которая равна среднему количеству потомков c магнитудой M ≥ Mmain - ΔM. Этот подход принят нами для анализа продуктивности “землетрясений” в модели ОФКЖ. В работе [Shebalin et al., 2020] отмечается, что случаи, когда M ≥ Mmain в сейсмическом режиме встречаются редко. В случае модели ОФКЖ такие случаи отсутствуют.
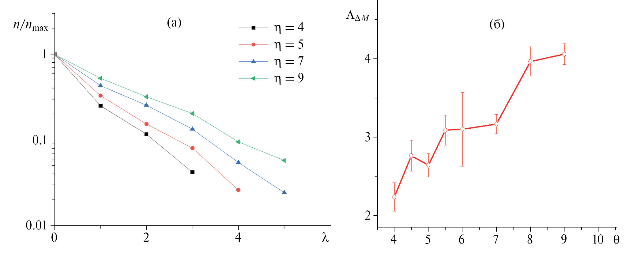
На рис. 8а представлены нормированные гистограммы распределения количеств прямых афтершоков в последовательностях событий (сбросов), сформировавшихся в модели ОФКЖ с параметрами L × L = 500 × 500; a = 0.2; Smin = 2; S* = 1000; A = 10-4, β = 0.2. Параметры для выделения кластеризованных событий: η* = 1; ΔM = 1.7; Smain > 400. Характерное количество набранных для анализа серий афтершоков для оценки каждой гистограммы около 103.
Рис. 8. Закон продуктивности при различном значении(а) – нормированная гистограмма распределения количества λ прямых потомков с магнитудой(б) – зависимость продуктивности от значенияДоверительный интервал соответствует значению среднеквадратичного отклонения
Различные гисторгаммы на рис. 8а отвечают различным значениям параметра θ кинетической компоненты модели ОФКЖ (4).
На рис. 8а видно, что гистограммы соответствуют экспоненциальному закону распределения – точки, представленные на рис. 8а в полулогарифмическом масштабе, ложатся на прямые линии. Это означает, что в модели ОФКЖ реализуется закон продуктивности землетрясений.
Модель ОФКЖ позволяет выявить зависимости параметра закона продуктивности от параметров, входящих в модель ОФКЖ и имитирующих физические параметры.
На рис. 8б представлена зависимость продуктивности ᐱΔM от параметра модели θ. В физическом смысле параметр θ характеризует температуру. Видно, что с ростом θ продуктивность увеличивается. В соответствии с формулой Журкова (2) и нашими обозначениями (4) θ = kT/γ и увеличение θ можно трактовать как увеличение температуры T.
Рис. 9. Закон продуктивности при различном значении S*: (а) – нормированная гистограмма распределения количества λ прямых потомков с магнитудой M ≥ Mmain − 1.7; (б) – зависимость продуктивности от значения S*. Доверительный интервал соответствует значению среднеквадратичного отклонения ±σ.
Гистограммы распределения количеств прямых афтершоков в модели ОФКЖ при различных значениях параметра S* из формулы (4) представлены на рис. 9а. Общие параметры ОФКЖ те же, что и для данных, представленных на рис. 8. Параметр θ = 10. На рис. 9б видно, что продуктивность уменьшается с увеличением S* В физическом смысле S* характеризует прочность среды.
В выражения для θ и S* вместе с температурой T (в выражение для θ) и “прочностью” межионной связи (энергией диссоциации связи) U0 (в выражение для S*) входит еще структурно-чувствительный параметр Журкова γ (формулы (2) и (4)). Изменения обезразмеренных параметров θ и S* для получения данных, представленных на рис. 8 и рис. 9, не были согласованы между собой, и отвечающие им значения γ были произвольными. Изменение γ влечет как изменение θ, так и изменение S*. Чтобы выяснить влияние величины γ на продуктивность в рамках ОФКЖ, нужно согласованным образом изменять и θ, и S*.
Рис. 10. Закон продуктивности при различном значении параметра Журкова γ: (а) – нормированная гистограмма распределения количества λ прямых потомков с магнитудой M ≥ Mmain − 1.7; (б) – зависимость продуктивности от значения обезразмеренного значения; γ * Доверительный интервал соответствует значению среднеквадратичного отклонения ±σ.
На рис. 10 представлены оценки зависимости изменения продуктивности с изменением γ. Для модели ОФКЖ при указанных выше общих параметрах проведены оценки продуктивности при трех различных парах значений параметров (θ,S*). Значения этих параметров выбраны так, чтобы соответствовать различным значениям γ. Если для (θ = 4,S* = 1000) определить обезразмеренное значение γ как γ* = 1, то расчетные пары параметров (θ,S*) для гистограмм, приведенных на рис. 10а, соответствуют
На рис. 10б видно, что продуктивность в пределах погрешностей не зависит от γ. Это означает, что обнаруженные зависимости продуктивности от параметров θ и S* (рис. 8б и рис. 9б) следует с физической точки зрения, действительно, связывать с изменениями температуры и прочности среды.
Приведенные выше оценки продуктивности в модели ОФКЖ были получены при значении параметра связи ячеек модели α = 0.2. Выше отмечалось, что значение α может существенно влиять как на характер эволюции состояния “среды” в моделях ОФК и ОФКЖ, так и на получаемые распределения “напряжений” в ячейках моделей. Параметр связи α существенно влияет на характер поведения системы в части выполнения закономерностей фоновой модельной “сейсмичности”, таких как закон повторяемости Гутенберга–Рихтера и фрактальное пространственное распределение эпицентров. В работе [Черепанцев, 2023] показано, что при α > 0.2 нарастает эффект повторных сбросов. Это приводит к нарушению соответствия сброшенного напряжения площади сброшенной области (очага “землетрясения”). При приближении параметра связи к консервативному пределу α →1/4 распределение сбросов по размеру отклоняется от степенного распределения в сторону увеличения сбросов больших размеров, и закон Гутенберга–Рихтера перестает выполняться для модельной “сейсмичности”.
Рассмотрим влияние величины α на выполнение закона продуктивности землетрясений и его параметр ᐱΔM. На рис. 11а показаны гистограммы распределения количеств прямых афтершоков в модели ОФКЖ с теми же основными параметрами, что и прежде, но при различных значениях параметра связи α. На рис. 11а видно, что экспоненциальный вид распределения сохраняется при всех значениях α.
Рис. 11. Закон продуктивности при различном значении параметра связи α: (а) – нормированная гистограмма распределения количества λ прямых потомков с магнитудой M ≥ Mmain − 1.7 ; (б) – зависимость продуктивности от α Доверительный интервал соответствует значению среднеквадратичного отклонения ±σ.
На рис. 11б видно, что величина продуктивности остается неизменной в пределах погрешности при расчетных параметрах модели α ≤ 0.22 и начинает резко уменьшаться при приближении к консервативному пределу, для расчетных параметров α ≤ 0.235.
ОБСУЖДЕНИЕ РЕЗУЛЬТАТОВ
Образование кластеров в модели ОФКЖ
Распределение пар событий по расстояниям (в обобщенной метрике (1)) в модели ОФК имеет унимодальный вид (рис. 7а). Как отмечают авторы закона продуктивности землетрясений, унимодальные распределения иногда встречаются в сейсмическом режиме. Такие распределения были обнаружены также при анализе результатов лабораторных экспериментов по разрушению образцов горных пород [Маточкина, 2023]. Однако распределение пар событий после “перемешивания” каталогов в таких случаях, оставаясь унимодальным, сдвигается в область больших расстояний, что свидетельствует о наличии кластеризованной компоненты даже в случае унимодальных распределений. В случае модели ОФК распределения “перемешанного” и исходного каталогов практически совпадают. Это означает, что в модели ОФК не возникает кластеризованной “сейсмичности” в рассматриваемом при изучении продуктивности землетрясений смысле.
Кластеры, отвечающие закону продуктивности землетрясений, возникают в модели ОФКЖ, которая отличается от модели ОФК наличием кинетической составляющей разрушения, отвечающей концепции Журкова. Это позволяет предположить, что и в природной сейсмичности закон продуктивности землетрясений связан с развитой кинетикой сейсмического процесса. Вклад кинетики Журкова (или аналогичного ей механизма коррозии напряжений) в общую динамику природного сейсмического процесса в количественном плане изучен в настоящее время слабо. Лучше всего наличие этой компоненты выявляется в переходных режимах сейсмичности – в ряде натурных “экспериментов” по локальной активизации сейсмичности, включая афтершоковые процессы [Narteau et al., 2002; Ouillon, Sornette, 2005; Смирнов и др., 2010; 2020; Baranov et al., 2004]. В работе [Смирнов, Пономарев, 2020] на основе формулы Журкова предложена классификация известных эффектов инициации разрушения геоматериала.
Наличие в натурной сейсмичности журковской кинетики было основанием для модификации классической модели ОФК [Черепанцев, 2023], а обнаружение в модели ОФКЖ реализации закона продуктивности землетрясений позволяет надеяться на перспективность применения этой компьютерной модели для дальнейших исследований природы продуктивности и смежных вопросов кластеризации землетрясений.
Отметим, что иногда удается выявить пространственные кластеры землетрясений не статистическими методами (не на основе статистического анализа распределения близости пар событий), а по схожести излучаемых очагами землетрясений сейсмических сигналов – сейсмограмм землетрясений. Такие кластеры, названные мультиплетами, были выделены, в частности, в локальной микросейсмичности, инициированной закачкой воды в скважину [Bourouis, Bernard, 2007]. Подробный анализ этих данных представлен в работах [Смирнов и др., 2010; Smirnov et al., 2017]. Природу мультиплетов связывают с разрушением неоднородностей среды (asperities). В работе [Смирнов и др., 2010] мы отмечали, что распределение мультиплетов (кластеров) по количеству событий в кластере отвечает степенному закону. Это отличается от экспоненциального распределения кластеров в законе продуктивности землетрясений. Принципиальным отличием алгоритма выделения мультиплетов от выделения кластеров-потомков (в работах по продуктивности) является исключение временно́го фактора при выделении мультиплетов. При объединении землетрясений в мультиплет учитывается только сходство их сейсмограмм, и, следовательно, только пространственная и отчасти энергетическая (размер очага) близость событий, а время их возникновений не учитывается. Возможно, исключение временного фактора, отражающего, как можно предположить, кинетику процесса разрушения, обуславливает отклонение распределения мультиплетов от экспоненциального распределения из закона продуктивности землетрясений.
Уменьшение продуктивности с увеличением прочности среды
Обнаруженная в модели ОФКЖ зависимость продуктивности от параметра S* (рис. 9) с физической точки зрения может интерпретироваться как зависимость продуктивности от прочности среды. В натурных исследованиях нам известны два результата, которые, по нашему мнению, можно рассматривать как подтверждение этого вывода.
В работе [Shebalin et al., 2020] получены устойчивые зависимости величины продуктивности от глубины при различных диапазонах магнитуд землетрясений-потомков – показано, что с увеличением глубины продуктивность уменьшается. В рамках критерия разрушения Кулона–Мора увеличение литостатического давления с глубиной можно рассматривать как фактор, способствующий увеличению эффективной прочности среды [Burov, 2015]. В таком случае уменьшение продуктивности с глубиной можно трактовать как уменьшение продуктивности с увеличением прочности среды. Авторы работы [Shebalin et al., 2020] прямо отмечают при обсуждении полученных ими результатов, что обнаруженное в различных диапазонах магнитуд единое экспоненциальное распределение, отвечающее закону продуктивности землетрясений, можно рассматривать как отражение зависимости продуктивности от общей прочности материала горных пород вне зависимости от магнитудного диапазона событий-потомков.
Вспоминая об отмеченной выше существенной роли временного фактора в формировании кластеров, фигурирующих в законе продуктивности землетрясений, заметим, что связь продуктивности с прочностью разрушающегося материала сходна с зависимостью от прочности параметра c закона Омори–Утсу (9). Этот параметр характеризует длительность интервала времени, необходимого для формирования характерной пространственно-временной структуры афтершокового кластера. В работе [Schebalin, Narteau, 2017] на основе анализа зависимости параметра c от глубины показана прямая связь этого параметра с эффективной прочностью среды, обусловленной литостатическим и поровым давлением на различных глубинах. Увеличение параметра c с увеличением эффективной прочности подтверждено лабораторным моделирование афтершоковых процессов [Смирнов и др., 2019]. И в полевых, и в лабораторных исследованиях показано, что зависимость c от пороговых значений напряжений является экспоненциальной, что можно объяснить, исходя из кинетической формулы Журкова. В работе [Черепанцев, 2023] при рассмотрении характера афтершоковой релаксации в рамках модели ОФКЖ была обнаружена зависимость параметра c от модельного параметра связи α (см. выше описание модели ОФКЖ). Мы также обнаружили изменение продуктивности в модели ОФКЖ при изменении параметра связи модельных ячеек α в некотором диапазоне (см. рис. 11). Не ясно пока, связана ли продуктивность – параметр экспоненциального распределения объемов кластеров землетрясений-потомков (количеств событий в кластере), в том числе и кластеров-афтершоков, – с масштабом времени c формирования режима характерной афтершоковой релаксации. Но схожесть зависимостей этих параметров от прочности среды и их связь с параметром α в модели ОФКЖ свидетельствует, по нашему мнению, в пользу возможности наличия такой связи. Обсуждение вопроса о возможности связи параметра c с продуктивностью афтершоков можно найти также в работе [Baranov et al., 2024]
Вторым результатом, свидетельствующим в пользу нашего вывода в рамках модели ОФКЖ о зависимости продуктивности от прочности материала, является обнаружение связи величины продуктивности со степенью обводненности среды. В работах [Моторин и др., 2024; Baranov et al., 2024] на примере природно-техногенной сейсмичности Хибинского массива показано, что параметр продуктивности землетрясений увеличивается во время повышения обводненности среды. Авторы работы [Baranov et al., 2024] интерпретируют этот результат с позиций теории rate-and-state, опирающейся, по сути, на концепцию коррозии напряжений, сходную с кинетической концепцией Журкова. В работе [Смирнов, Пономарев, 2020] отмечалось, что обводнение пористой среды является фактором инициации разрушения из-за уменьшения прочности среды вследствие как механических (повышение порового давления), так и физических (эффект Ребиндера) механизмов. Это позволяет нам рассматривать увеличение продуктивности при обводнении среды как эмпирический факт, подтверждающий наш модельный результат о зависимости продуктивности от прочности материала.
Увеличение продуктивности с увеличением температуры
Обнаруженную в модели ОФКЖ зависимость продуктивности от параметра θ (рис. 8) можно, как отмечалось выше, трактовать как зависимость продуктивности от температуры. В рамках кинетической концепции Журкова разрушение является термофлуктуационным процессом, и повышение температуры увеличивает энергию термической активации разрушения. В формуле Журкова (2) прочность тела стоит в числителе показателя экспоненты, а температура – в знаменателе. Действие этих параметров противоположно: прочность препятствует разрушению, а температура способствует. Разнонаправленности действия этих факторов соответствуют и противоположные зависимости продуктивности: уменьшение с увеличением прочности и увеличение с увеличением температуры.
Предположения о наличии термического влияния на продуктивность землетрясений высказывались авторами закона продуктивности [Shebalin et al., 2020], которые указывали на возможность связи продуктивности с величиной теплового потока. Положительную корреляцию продуктивности с тепловым потоком на поверхности Земли на территории Калифорнии и Невады обнаружили авторы работы [Trugman, Ben-Zion, 2023]. Они же обнаружили слабую отрицательную корреляцию продуктивности с температурой на глубине сейсмогенерирующих областей. При этом авторы работы [Trugman, Ben-Zion, 2023] отмечают возможность сложной и неоднозначной связи продуктивности с температурой в области сейсмогененрации. От себя заметим, что увеличение глубины ведет как к увеличению прочности (за счет роста литостатического давления), так и к увеличению температуры. Согласно нашим результатам, полученным в модели ОФКЖ, увеличение прочности и увеличение температуры оказывают противоположные воздействия на продуктивность, что может приводить к немонотонной зависимости продуктивности от глубины: увеличению продуктивности в одних диапазонах глубин и уменьшению в других – в зависимости от того, влияние какого из зависящих от глубины факторов (прочности или температуры) преобладает. Аналогичная проблема отмечалась при обсуждении эмпирической зависимости параметра закона Омори–Утсу c от глубины [Schebalin, Narteau, 2017: Смирнов и др., 2019].
ЗАКЛЮЧЕНИЕ
Полученные нами в рамках компьютерной модели ОФКЖ результаты исследования связи величины продуктивности с имеющими физическое содержание параметрами кинетической составляющей этой модели в настоящее время в различной степени подтверждаются результатами исследований продуктивности природных землетрясений. Выявление в натурных условиях факторов, влияющих на продуктивность землетрясений осложнено известными проблемами объективного контроля этих факторов. Лабораторные исследования закона продуктивности находятся в настоящее время в самой начальной стадии [Маточкина, 2023]. Однако, если в лабораторных исследованиях будет достигнут определенный прогресс, то интеграция лабораторных исследований с компьютерным моделированием сможет, по нашему мнению, помочь продвинуться в понимании физической природы закона продуктивности землетрясений.
ВЫВОДЫ
- В классической клеточной модели сейсмичности ОФК не возникает кластеризация событий, которая могла бы быть сопоставлена с законом продуктивности землетрясений.
- Введение в модель ОФК свойства долговечности ячейки согласно кинетической концепции разрушения Журкова позволят воспроизвести в такой модифицированной модели ОФКЖ основные статистические закономерности сейсмичности: законы Гутенберга–Рихтера и Омори–Утсу, закон Бота, фрактальную геометрию сейсмичности и закон продуктивности землетрясений.
- Поскольку модель ОФКЖ отличается от модели ОФК наличием кинетического компонента, реализация в модели ОФКЖ закона продуктивности землетрясений и его отсутствие в модели ОФК, позволяет предположить, что именно кинетические процессы играют принципиальную роль в формировании кластеров типа родитель–потомки, отвечающих закону продуктивности землетрясений.
- В рамках модели ОФКЖ продуктивность землетрясений зависит от прочности материала и температуры. С увеличением прочности продуктивность уменьшается, с увеличением температуры увеличивается. Этот вывод находит подтверждения в имеющихся в настоящее время результатах исследования натурной сейсмичности.
- Представляется перспективным использование компьютерных моделей на основе клеточных автоматов, дополненных современными физическими представлениями о кинетике разрушения материалов (типа модели ОФКЖ), для прояснения физики статистического закона продуктивности землетрясений, особенно в совокупности с лабораторными исследованиями в этом направлении.
ФИНАНСИРОВАНИЕ РАБОТЫ
Работа выполнена в соответствии с государственными заданиями физического факультета МГУ им. М.В. Ломоносова и Института физики Земли им. О.Ю. Шмидта РАН.
Об авторах
А. С. Черепанцев
Южный федеральный университет
Email: s6319a@mail.ru
Россия, Ростов-на-Дону
В. Б. Смирнов
Московский государственный университет имени М.В. Ломоносова; Институт физики Земли им. О.Ю. Шмидта РАН
Автор, ответственный за переписку.
Email: vs60@mail.ru
физический факультет
Россия, Москва; МоскваСписок литературы
- Баранов С.В., Жукова С.А., Корчак П.А., Шебалин П.Н. Продуктивность техногенной сейсмичности // Физика Земли. 2020. № 3. С. 40–51.
- Баранов С.В., Шебалин П.Н. О прогнозировании афтершоковой активности. 3. Динамический закон Бота // Физика Земли. 2018. Т. 54. № 6. С. 129–136.
- Журков С.Н. Проблема прочности твердых тел // Вестник АН СССР. 1957. № 11. С. 78–82.
- Журков С.Н. Кинетическая концепция прочности твердых тел // Вестник АН СССР. 1968. № 3. С. 46–52
- Касахара К. Механика землетрясений. М.: Мир. 1985. 264 с.
- Малютин П.А. Воздействие флюидных режимов на вариации продуктивности землетрясений по данным натурных экспериментов. Проблемы комплексного геофизического мониторинга сейсмоактивных регионов. Труды Девятой Всероссийской научно-технической конференции с международным участием 24–30 сентября 2023 г. Петропавловск-Камчатский. 2023. С. 156–162.
- Маточкина С.Д. Проверка выполнения закона продуктивности землетрясений в условиях лабораторных экспериментов по разрушению горных пород. III Всероссийская научная конференция с международным участием “Современные методы оценки сейсмической опасности и прогноза землетрясений” (25–26 октября 2023 г., ИТПЗ РАН, Москва). М.: ИТПЗ РАН. 2023. С. 160–164.
- Моторин А.Ю., Жукова С.А., Баранов С.В., Шебалин П.Н. Воздействие обводненности среды на продуктивность природно-техногенной сейсмичности (на примере Хибинского массива) // Физика Земли. 2024. № 2. С. 14–25.
- Регель В.Р., Слуцкер А.И., Томашевский Э.Е. Кинетическая природа прочности твердых тел. М.: Наука: Физматлит. 1974. 560 с.
- Смирнов В.Б,, Карцева Т.И., Пономарев А.В., Патонин А.В., Bernard P., Михайлов В.О., Потанина М.Г. О взаимосвязи параметров Омори и Гутенберга–Рихтера в афтершоковых последовательностях // Физика Земли. 2020. № 5. С. 3–22.
- Смирнов В.Б., Пономарев А.В. Физика переходных режимов сейсмичности. М.: РАН. 2020. 412 с. https://cloud.mail.ru/public/rfq3/CNDPQRZ7r
- Смирнов В.Б., Пономарёв А.В., Бернар П., Патонин А.В. Закономерности переходных режимов сейсмического процесса по данным лабораторного и натурного моделирования // Физика Земли. 2010. № 2. С. 17–49.
- Смирнов В.Б., Пономарев А.В., Станчиц С.А., Потанина М.Г., Патонин А.В., Dresen G., Narteau C., Bernard P., Строганова С.М. Лабораторное моделирование афтершоковых последовательностей: зависимость параметров Омори и Гутенберга–Рихтера от напряжений // Физика Земли. 2019. № 1. С. 149–165.
- Черепанцев А.С. Релаксация напряжений в клеточной модели нелинейно взаимодействующих элементов // Физика Земли. 2023. № 1. С. 39–53.
- Шебалин П.Н., Баранов С.В., Дзебоев Б.А. Закон повторяемости количества афтершоков // Докл. РАН. 2018. Т. 481. № 3. С. 320–323.
- Aki K. Scaling law of seismic spectrum // J. Deophys. Res.1967. V. 72. P. 1217-1231. doi: 10.1029/JZ072i004p01217
- Anderson O.L., Grew P.C. Stress corrosion theory of crack propagation with applications to geophysics // Reviews of Geophysics. 1977. V.15. P. 77–104.
- Baiesi M., Paczuski M. Scale–free networks of earthquakes and aftershocks // Phys. Rev. E. 2004. V. 69. № 6.
- Bailey J. Attempt to correlate some strength measurements of glass // Glass Industry. 1939. V. 20: № 1. P. 21–25. № 2. P. 59–65. № 3. P. 95–99. № 4. P. 143–147.
- Baranov S.V., Narteau C., Shebalin P.N. Modeling and Prediction of Aftershock Activity // Surveys in Geophysics. 2022. V. 43. P. 437–48. doi: 10.1007/s10712-022-09698-0
- Baranov S.V., Shebalin P.N., Zhukova S.A., Motorin A.Yu., Fedorov I.S. Influence of Rock Watering on Post-Seismic Activity: A Study on the Khibiny Massif // Russian journal of Earth sciences. 2024. V. 23. № 6. P. 1–16.
- Bath M. Lateral inhomogeneities in the upper mantle // Tectonophysics. 1965. V. 2. P. 483–514.
- Bourouis S., Bernard P. Evidence for couplet seismic and aseismic fault slip during water injection in the geothermal site of Soultz (France), and implications for seismogenic transients // Geoph. J. Int. 2007. V. 169. P. 723–732.
- Burov E.B. Plate Rheology and Mechanics // Treatise on Geophysics (Second Edition). 2015. V. 6. P. 95–152. doi: 10.1016/B978-0-444-53802-4.00112-3
- Burridge R., Knopoff L. Model and theoretical seismicity // Bull. Seismol. Soc. Am. 1967. V. 57. P. 341–371.
- Carvalho J.X., Prado C.P. Self-Organized Criticality in the Olami–Feder–Christensen Model // Phys. Rev. Lett. 2000. V. 84. P. 4006.
- Christensen K. Self-organization in models of sandpiles, earthquakes and flashing fireflies. University of Aarhus: Denmark. Ph. D. Thesis. 1992. 64 p.
- Christensen K., Olami Z. Scaling, phase transitions, and nonuniversality in a self-organized critical cellular-automaton model // Phys. Rev. 1992. A 46. P. 1829–1838.
- Helmstetter A., Hergarten S., Sornette D. Properties of foreshocks and aftershocks of the nonconservative self-organized critical Olami-Feder-Christensen model // Phys. Rev. E. 2004. V. 70. P. 046120.
- Hergarten S., Krenn R. .Synchronization and desynchronization in the Olami-Feder-Christensen earthquake model and potential implications for real seismicity // Nonlin. Process. Geophys. 2011. V. 18. P. 635–642.
- Hergarten S., Neugebauer H.J. Foreshocks and aftershocks in the Olami-Feder-Christensen model // Phys. Rev. Lett. 2002. V. 88. P. 238501.
- Hill D.P., Prejean S.G. Dynamic Triggering // Treatise on Geophysics (Second Edition). 2015. V. 4. P. 273–304. doi: 10.1016/B978-0-444-53802-4.00078-6
- Lise S., Paczuski M. Self-organized criticality in a nonconservative earthquake model // Phys.Rev E. 2001. V. 63. P. 36111.
- Miller G., Boulter C. Nonuniversality and scaling breakdown in a nonconservative earthquake model // Phys. Rev. E. 2001. V. 68. P. 056108.
- Molchan G., Varini E., Peresan A. Productivity within the epidemic-type seismicity model // Geophysical Journal International. 2022. V. 231. № 3. P. 1545–1557. doi: 10.1093/gji/ggac269
- Nakanishi H. Earthquake dynamics driven by a viscous fluid // Phys. Rev. A. 1992. V. 46. P. 4689–4692.
- Narteau C., Shebalin P., Hainzl S., Zöller G., Holschneider M. Emergence of a band-limited power law in the aftershock decay rate of a slider-block model // Geophysical Research Letters. 2003. V. 30. № 11. P. 22-1–22-4. https://doi.org/10.1029/2003GL017110.
- Narteau C., Shebalin P., Holschneider M. Temporal limits of the power law aftershock decay rate // J. Geophys. Res. 2002. V. 107. P. B2359. doi: 10.1029/2002JB001868
- Narteau C., Shebalin P., Holschneider M., Mouèl J.L.Le., Allègre C.J. Direct simulations of the stress redistribution in the scaling organization of fracture tectonics (soft) model // Geophysical Journal International. 2000. V. 141. № 1. P. 115–135.
- Olami Z., Feder H.J.S., Christensen K. Self-organized criticality in a continuous, nonconservative cellular automaton modeling earthquakes // Phys. Rev. Lett. 1992. V. 68. P. 1244–1247.
- Ouillon G., Sornette D. Magnitude-dependent Omori law: theory and empirical study // J. Geophys. Res. Solid Earth. 2005. V. 110 (B4). P. B04306.
- Scholz C. Mechanism of Creep in Brittle Rock // J. Geophys. Res. 1968a. V. 73. № 10. P. 3295–3302.
- Scholz C. Microfractures, aftershocks, and seismicity // Bull. Seism. Soc. Am. 1968b. V. 58. P. 1117–1130.
- Shebalin P., Baranov S., Vorobieva I. Earthquake Productivity Law in a Wide Magnitude Range. Front. Earth Sci., 04 May 2022 Sec. Solid Earth Geophysics. 2022. V. 10. https://doi.org/10.3389/feart.2022.881425
- Shebalin P., Narteau C. Depth dependent stress revealed by aftershocks // Nature communications. 2017. V. 8. P. 1317. doi: 10.1038/s41467-017-01446-y
- Shebalin P., Narteau C., Baranov S. Earthquake productivity law // Geophys. J. Int. 2020. V. 222. P. 1264–1269.
- Smirnov V., Ponomarev A., Bernard P., Bourouis S. Field Experiment in Soultz-sous-Forêts, 1993: Changes of the Pattern of Induced Seismicity // Acta Geophysica. 2013. V. 61. P. 1598–1625. doi: 10.2478/s11600-013-0150-0
- Trugman D.T., Ben-Zion Y. Coherent Spatial Variations in the Productivity of Earthquake Sequences in California and Nevada // The Seismic Record. 2023. V. 3(4). P. 322–331. doi: 10.1785/0320230039
- Utsu T.A. Statistical study on the occurrence of aftershocks // Geoph. Magazine. 1961. V. 30. P. 521–605.
- Zaliapin I., Gabrielov A., Keilis-Borok V., Wong, H. Clustering analysis of seismicity and aftershock identification // Phys. Rev. Lett. 2008. V. 101(1). P. 018501.
Дополнительные файлы














