Coast effect in magnetotelluric soundings on the continental south of the Russian Far East
- Authors: Kaplun V.B.1, Bronnikov A.K.1
-
Affiliations:
- Yu. A. Kosygin Institute of Tectonics and Geophysics, Far Eastern Branch, Russian Academy of Sciences
- Issue: No 1 (2024)
- Pages: 68-94
- Section: Articles
- URL: https://journals.rcsi.science/0002-3337/article/view/254883
- DOI: https://doi.org/10.31857/S0002333724010055
- EDN: https://elibrary.ru/EKJGWS
- ID: 254883
Cite item
Full Text
Abstract
The manifestation of coast effect is studied based on the magnetotelluric (MT) soundings made on three profiles in the southern part of the Sikhote-Alin folded system (SAFS) surrounded by the Sea of Japan in the south and east. It is found that the coast effect is poorly expressed in the MT sounding amplitude curves while well pronounced in the behavior of the magnetovariation response functions. The analysis of the complex Wiese tipper and its real induction arrows in the north and east directions identified the intensity of the coast effect within the study area and the influence of the main deep faults and conductive zones in the Earth’s crust and upper mantle on the effect. Based on the three-dimensional (3D) numerical modeling, the main factors affecting the behavior of the amplitude MT sounding curves in the presence of coast effect are determined for the conditions of the southern part of SAFS and different geoelectric models.
Keywords
Full Text
Введение
Целью магнитотеллурических исследований является выявление геоэлектрических объектов различного сопротивления в земной коре и верхней мантии, определение их границ, построение геоэлектрических разрезов и моделей. Для построения корректной интерпретационной модели необходимо предварительно распознать и удалить или сгладить искажения амплитудных кривых, вызванные приповерхностными неоднородностями. Район исследований включает в себя континентальную территорию шириной 250–350 км и протяженностью около 400 км, которая омывается с юга и востока водами Японского моря. Удельное электрическое сопротивление горных пород составляет от сотен Ом · м до сотен тысяч Ом · м, морской воды – 0.3–0.4 Ом · м. Подобный контраст ЭС создает сильную магнитотеллурическую аномалию, которая называется береговым эффектом. Эта аномалия состоит из двух компонент: гальванической и индукционной. Гальваническая компонента связана с электрическим током, текущим перпендикулярно береговой линии со стороны моря и затекающим в континентальный осадочный чехол и глубинные проводящие зоны. Индукционная компонента образуется за счет концентрации электрического тока, текущего в море вдоль береговой линии в пределах прибрежной зоны. Такое перераспределение токов приводит к значительным расхождениям амплитудных кривых по уровню сопротивлений при магнитотеллурических зондированиях в прибрежной зоне. Поперечная кривая, полученная при измерениях электрического поля перпендикулярно береговой линии, смещается вверх на несколько порядков относительно продольной кривой, полученной при измерениях электрического поля вдоль береговой линии, в области длинных периодов свыше 1000 с. Действие эффекта уменьшается с удалением от береговой линии и при увеличении частоты электромагнитного поля, но его воздействие может сказываться на расстоянии до нескольких сотен километров и зависит от параметров геоэлектрического разреза.
Береговой эффект хорошо проявляется при анализе магнитовариационных функций отклика, которые обычно представляются в виде типпера или индукционных стрелок реальной и мнимой частей векторы. В соглашении Визе–Паркинсона вещественный вектор направлен от зоны повышенной электропроводности к пониженной. Для двумерных структур вещественный и мнимый векторы коллинеарны и перпендикулярны простиранию структур, а в трехмерных и асимметричных средах коллинеарность векторов нарушается. В прибрежных зонах береговой эффект будет маскировать наличие проводящих структур в земной коре и верхней мантии.
Проявление берегового эффекта на юге Дальнего Востока впервые было обнаружено сотрудниками СахКНИИ ДВНЦ АН СССР в 1964 г. при изучении вариаций переменного магнитного поля Земли [Ваньян, Мардерфельд, 1966а; 1966б]. Также было сделано предположение, что отсутствие этих аномалий связано с особенностями глубинного геоэлектрического строения района исследований. Расстояние, на котором действовал береговой эффект, оценивалось в 250–300 км, а глубина до поверхности проводящего слоя составила 100–150 км. Индукционные вектора магнитного поля, построенные по предложенной авторами методике на периоде 1 ч для континентальной части юга Дальнего Востока, направлены в сторону моря, т.е. в сторону проводника [Мардерфельд, 1977]. Последующие исследования, выполненные на континентальной части юга Дальнего Востока в 70-е годы прошлого столетия, подтвердили наличие берегового эффекта в переменном геомагнитном поле. Здесь были построены профили векторов Визе–Паркинсона и определена глубина до астеносферного слоя, равная 100–120 км на севере САСС [Никифорова, Ахмадулин и др., 1980] и 135 км на юге [Порай-Кошиц, Ноздрина и др., 1980]. Вместе с экспериментальными исследованиями проводились физическое [Мардерфельд, 1977] и численное [Жданов и др., 1983; Бердичевский, Жданова и др., 1989] моделирования проявлений берегового эффекта для зоны перехода от Азиатского континента к Тихому океану. В работе [Жданов и др., 1983] расчеты проводились по профилю, начинающемуся на континенте и пересекающему Татарский пролив, о. Сахалин, Охотское море, Курильские о-ва и Курило-Камчатский глубоководный желоб. Геоэлектрический разрез континентальной части профиля представлял собой слоистую среду, отвечающую нормальному разрезу стабильных регионов, а в океанической части – слоистую среду, характерную для активных регионов. Расчеты выполнялись для периодов от 1 мин до 2 ч, показали влияние берегового эффекта на кривые магнитовариационного профилирования на различных периодах и подтвердили правильность построенной геоэлектрической модели. В работе [Бердичевский, Жданова и др., 1989] было проведено численное моделирование электромагнитного поля для трех различных двумерных моделей. Для двух из них брался хорошо проводящий приповерхностный слой, а для электропроводности земной коры и верхней мантии континентальной и океанической частей использовались данные по обобщенным геоэлектрическим разрезам стабильных и активных тектонических зон c наличием или отсутствием хорошо развитой астеносферой под океанической частью модели. В третьей модели отсутствовал осадочный чехол, а геоэлектрический разрез представлял собой плохо проводящий слой, лежащий на идеально проводящем основании. Расчеты показали, что в модели с осадочным чехлом и без хорошо развитой астеносферы под морской частью, влияние берегового эффекта на продольные кривые МТЗ ощущается на расстоянии до 250 км. В модели без осадочного чехла, т.е. при усилении геоэлектрического контраста между континентом и морем, на поперечной к границе суша–море электрической составляющей электромагнитного поля, происходит резкое увеличение ее значения, которое быстро уменьшается при удалении от берега в сторону континента и составляет 10% от нормального на периоде 10 с на расстоянии 75 км, а на периоде 10 000 с влияние берегового эффекта сказывается на расстоянии 300 км. На продольной к береговой линии электрической составляющей аномальное поле затухает быстрее, чем в моделях с осадочным чехлом, и на расстоянии 100 км от берега не отличается от нормального поля более чем на 10% при периодах свыше 100 с. Таким образом, расчеты показали, что при отсутствии осадочного чехла происходит более быстрое затухание берегового эффекта в сторону континента, т.е. усиление геоэлектрического контраста суша–море необязательно приводит к усилению берегового эффекта. Они отметили, что это интересное явление требует дальнейшего изучения, однако последующего развития данного вопроса не произошло. На амплитудных кривых МТЗ береговой эффект проявляется в резком изменении уровня поперечной кривой, особенно в прибрежной зоне вплоть до 7 порядков на расстоянии 10 км от береговой линии, и его влияние проявляется на расстоянии до 400 км. На продольной кривой береговой эффект в прибрежной зоне выражен слабо и на расстояниях несколько десятков километров от берега она практически сливается с нормальной кривой.
На территории юга Хабаровского и Приморского краев по результатам полевых магнитовариационных исследований в десяти пунктах за период с 1984 по 1990 гг. были рассчитаны индукционные векторы для периодов 20, 60, 250, 1000, 3600, 10 000 с, построены зависимости величины типпера от периода вариаций, проведено численное двумерное моделирование геоэлектрических разрезов [Старжинский, 2004]. По результатам моделирования показана однородность поля длиннопериодных вариаций, подтверждено проявление берегового эффекта на всех прибрежных пунктах, выделена проводящая зона в верхней части земной коры, протягивающаяся в южном-юго-западном направлении от о. Ханка до побережья Японского моря и выделены проводящие блоки в верхней мантии под морем и континентом с кровлей на глубинах 7, 15, 47 и 47, 80, 140 км соответственно. Сочленение их предполагается в области шельфа или прибрежных участках континента. Анализ зависимости величины типпера от периода показал их различие в зависимости от месторасположения пункта относительно моря и его глубины и формы береговой линии. Так, на отдельных пунктах, расположенных на берегу Амурского залива и бухты Ольга, отмечается отличное от других направление индукционных векторов вплоть до периода 1000 с, что свидетельствует о влиянии локальных неоднородностей вблизи пунктов наблюдения.
В последние два десятилетия изучение берегового эффекта Азиатско-Тихоокеанского региона проводилось путем численного моделирования на трехмерных моделях [Никифоров и др., 2004; Мороз, Нурмухамедов, 2004; Мороз, Мороз, 2011; Мороз, Самойлова, 2017; Пальшин, Алексеев, 2017; Kuvshinov, Utada, 2010].
На Камчатке влияние берегового эффекта на кривые МТЗ было изучено с использованием физического и численного моделирования [Мороз, Кобзова, 1994; Мороз, Нурмухамедов, 2004; Мороз, Мороз, 2011; Мороз, Самойлова, 2017].
По результатам анализа магнитотеллурических данных п-ов Камчатка представляет собой двумерную геоэлектрическую структуру, простирающуюся в северо-восточном направлении и окруженную с запада и северо-запада водами Охотского моря с глубиной до 500 м, а с юга и востока – водами Тихого океана с глубинами до 7 км в пределах которого изучено проявление регионального и локального береговых эффектов на кривых МТЗ [Мороз, Мороз, 2011; Мороз, Самойлова, 2017].
Влияние регионального берегового эффекта наблюдается в области длинных периодов свыше 400 с в отклонении продольных и поперечных амплитудных и фазовых кривых от локально-нормальных: поперечные кривые имеют завышенные значения, а продольные заниженные [Мороз, Самойлова, 2017]. Локальный эффект начинает действовать от первых секунд и отмечается различным положением поперечных кривых относительно локально-нормальных. Его проявление связывается с береговой линией. На берегу заливов поперечная амплитудная кривая на длинных периодах расположена выше локально-нормальной кривой, а на полуостровах – ниже. Здесь также отмечается и изменение формы амплитудных и фазовых кривых относительно локально-нормальных. Моделирование показало, что береговой эффект вызывает гальванический эффект, который проявляется в смещении продольных и поперечных амплитудных кривых относительно локально-нормальных.
По результатам численного трехмерного моделирования магнитотеллурического поля [Мороз, Мороз, 2011] на основе анализа магнитовариационных параметров (типичных кривых типпера) на территории Камчатки было выделено четыре зоны с различной степенью проявления берегового эффекта, которые протягиваются вдоль простирания полуострова. Наименьшее влияние берегового эффекта отмечается в центральных частях полуострова, а максимальное – на восточном побережье. Анализ индукционных стрелок показал, что на периодах 100, 400 и 1600 с вещественные стрелки на западном побережье обращены в сторону Охотского моря, а на восточном – в сторону Тихого океана. Ориентация вещественных и мнимых стрелок зависит от очертания береговой линии. Моделирование показало, что наличие в геоэлектрическом разрезе на глубине 15 км проводящего слоя мощностью 20 км и удельным электрическим сопротивлением 10 Ом · м приводит к уменьшению величины модулей действительного и мнимого векторов в несколько раз.
В работе [Никифоров и др., 2004] модель электропроводности южной части Дальнего Востока задавалась исходя из общих представлений о геоэлектрическом разрезе с приповерхностным слоем мощностью 8 км, подстилаемым распределением слоев с сопротивлениями, характерными для стабильных регионов Земли. Расчеты выполнены для диапазона от 1000 до 100 000 с, влияние берегового эффекта рассмотрено на периоде 2 ч. Показано, что на континентальной части юга Дальнего Востока расчетные значения модуля реального индукционного вектора имеют в основном величину 0.1–0.3, достигая 0.5 на побережье, и направлены на юго-восток под углом 130°–150°. Расчеты показали, что основное влияние на поведение индукционных векторов оказывает неоднородное строение приповерхностного слоя. Однако такая модель не дала объяснения в поведении кривых кажущегося сопротивления и фазы импеданса.
Расчеты, выполненные по вертикальной компоненте Z суточных (Sq) вариаций геомагнитного поля для Японии [Kuvshinov, Utada, 2010], показали, что аномальное поведение геомагнитного поля может быть связано не с глубинными аномалиями электропроводности, а с влиянием трехмерного берегового эффекта. По результатам численного моделирования в зоне перехода от Тихого океана к Евразии было выявлено, что воздействие берегового эффекта может быть уменьшено при наличии глубинных проводящих разломов [Пальшин, Алексеев, 2017].
Изучение берегового эффекта проводится во всем мире как с использованием экспериментальных данных, так и путем численного моделирования (например, [Uyeshima et al., 2001; Zhang et al., 2012; Hitchman et al., 2000; Monteiro Santos F.A. et al., 2001; Naidu et al., 2011; Han et al., 2009; González-Castillo et al., 2015; Jang et al., 2018; Patro, Sarma, 2009; Yang, Yoo, 2009; Yang et al., 2010; Pandey et al., 2008; Malleswari, Veereswamy, 2014] и многие другие). Так, например, результаты двумерного численного моделирования для двухслойного геоэлектрического разреза показали, что его влияние ослабевает при удалении от береговой линии при уменьшении сопротивления верхнего слоя и при подъеме второго (астеносферного) слоя до глубины примерно 50 км [Malleswari, Veereswamy, 2014]. Трехмерное моделирование для реальных географических ситуаций (например [González-Castillo et al., 2015], показывает) что величина берегового эффекта зависит от очертания береговой линии и наличия проводящих объектов в земной коре и верхней мантии. Однако такие проводящие объекты, как разлом (глубина 0–15 км, ширина 7 км, длина 110 км, сопротивление 10 Ом · м) и зона частичного плавления в верхней мантии (глубина от 40 до 80 км, ширина 70 км, сопротивление 10 Ом · м) проявились лишь на периоде 10 с. В целом, на периодах более 100 с реакция океана доминирует в передаточных функциях и скрывает сигналы от геологических тел в земной коре и верхней мантии.
Таким образом, исследования берегового эффекта показали, что он искажает геомагнитные вариации, и это приводит к некорректному выделению проводящих зон в литосфере. Его влияние зависит от геоэлектрического строения, наличия проводящих зон и разломов, географической обстановки изучаемого района. Однако его величина не всегда зависит от контрастности сопротивлений на границе континент–море [Бердичевский и др., 1989], а имеющиеся геоэлектрические модели литосферы, удовлетворительно объясняющие поведение берегового эффекта на территории юга Дальнего Востока России, плохо согласуются с кривыми кажущегося сопротивления и фазы импеданса [Никифоров и др., 2004].
На территории континентальной части юга Дальнего Востока МТЗ выполняются в широком частотном диапазоне, начиная с 70-х годов прошлого столетия, но изучение влияния берегового эффекта на полевые данные не проводилось. Нами, в период с 2016 по 2018 гг., была выполнена регистрация естественного электромагнитного поля Земли в широком частотном диапазоне от 10 кГц до 10–3 Гц на трех профилях МТЗ [Каплун, Бронников, 2018а; 2019; 2020], которые начинаются на континенте, протягиваются на 250–300 км и заканчиваются на побережье Японского моря (рис. 1). Мы рассмотрели влияние берегового эффекта на полевые данные и обнаружили, что он практически не выражен на амплитудных кривых. Нами были сделаны численные расчеты различных моделей для двумерных и трехмерных сред [Каплун, Бронников, 2018б] и получены результаты, которые легли в основу статьи. Целью данной работы является изучение влияния берегового эффекта на результаты МТЗ в континентальной части юга Дальнего Востока России, выявление условий его проявления и учета при интерпретации.
Рис. 1. Схема геолого-структурного районирования по работе [Государственная геологическая карта…, 2011] с профилями МТЗ [Каплун, Бронников, 2018а; 2019; 2020].
1 – Ханкайский массив, в том числе: а – структуры деформированного чехла Ханкайского массива; 2 – Сихотэ-Алинская складчатая система; 3 – окраинно-континентальные вулканические структуры: А – Алчанский ареал, В – Восточно-Сихотэ-Алинский вулканический пояс; 4 – наложенные меловые впадины; 5 – кайнозойские континентальные впадины: 6 – покровы плато-базальтов; 7 – разрывные нарушения (а – достоверные, б – предполагаемые, в – скрытые): III – Дальнереченский, IV – Арсеньевский, V – Кабаргинский, VI – Меридиональный, VII – Самаркинский, VIII – Центральный, IX – Фурмановский, X – Западно-Приморский, XI – Партизанский; XII – Кривинский, XIII – Южно-Приморская группа разломов, XV – Среднеханкайский; 8 – пункты МТЗ и их номера профилей: ДП – г. Дальнереченск–п. Пластун [Каплун, Бронников, 2019], СЗ – г. Спасск-Дальний–бух.Зеркальная [Каплун, Бронников, 2018а], АВ – с. Абражеевка–п. Валентин [Каплун, Бронников, 2020].
Тектоническое строение
Район исследований включает в себя южную часть Сихотэ-Алинской складчатой системы (САСС) и сопредельный с ней Ханкайский массив [Государственная…, 2011б]. Изучаемая территория расположена на восточной окраине Евразийского континента и является пассивной континентальной окраиной, которая сформировалась в процессе среднеюрско-меловой аккреции к Сибирскому кратону различных по происхождению террейнов [Ханчук и др., 1995]. Регион имеет сложное тектоническое строение сформированное в геодинамической обстановке калифорнийского типа, характерной чертой которой является переход субдукционных и спрединговых границ плит в границу относительного скольжения литосферных плит [Ханчук и др., 1997; Геодинамика…, 2006; Голозубов, 2006; Ханчук, Мартынов, 2011; Ханчук, Гребенников и др., 2019]. В период своего развития в регионе происходило чередование зон сжатия и растяжения, разнонаправленные сдвиговые перемещения, масштабное проявление магматизма с разнообразным составом пород.
Сихотэ-Алинская складчатая система протягивается в северо-восточном направлении почти на 1500 км от южного побережья Приморья до южного побережья Охотского моря. Южная часть САСС на западе граничит с Ханкайским массивом по разломам – Арсеньевскому, Алчанскому. Восточная граница САСС скрыта под водами Японского моря. Складчатая система состоит из Западной, Центральной, Восточной и Прибрежной структурно-формационных зон, представляющих собой крупные тектонические блоки. Формирование САСС началось в неокоме и продолжалось вплоть до позднего альба в обстановке трансформной окраины при крупномасштабных левосторонних перемещениях по системе окраинно-континентальных сдвигов. Формирование новообразованной континентальной литосферы завершилось внедрением больших объемов гранитоидных магм, образовавших тела хунгарийского и татибинского комплексов. Постаккреционными образованиями пояса являются комплексы позднемеловых и кайнозойских вулканитов Восточно-Сихотэ-Алинского вулканического пояса. Вулканиты пояса перекрывают складчатые структуры Прибрежной и Восточной зон, а отдельные его звенья заходят далеко на запад и залегают на всех более древних образованиях, вплоть до раннепротерозойских [Государственная …, 2011а] (рис. 1).
Ханкайский массив имеет сложное строение и представлен блоками докембрийского кристаллического фундамента (Матвеевская, Нахимовская, Гродековская и Сергеевская зоны), разделенные структурами деформированного чехла, сложенными раннепалеозойскими формациями [Государственная …, 2011а].
Основными разломами на изучаемой территории являются: Центральный Сихотэ-Алинский (ЦСАР), Алчанский, Меридиональный, Самаркинский, Арсеньевский, Фурмановский, Среднеханкайский, Партизанский [Государственная …, 2011б] (рис. 1).
Исходные данные
Профили МТЗ (рис. 1) протягиваются на 250–300 км, пересекая САСС вкрест его простирания, и заканчиваются на побережье Японского моря. Профили расположены неравномерно. Три профиля: г. Дальнереченск–п. Пластун (ДП), г. Спасск-Дальний–бух. Зеркальная (СЗ), с. Абражеевка–п. Валентин (АВ), отстоят друг от друга на расстоянии 80–150 км. Измерения электромагнитного поля проводились цифровой 24-разрядной электроразведочной станцией MTU-5A с магнитными индукционными датчиками МТС-30 и МТС-50, производства фирмы Phoenix Geophysics Ltd (Канада) в широком частотном диапазоне от 104 Гц до 4 × 10–4 Гц. Измерение электрического поля проводилось с использованием линий длиной 70–100 м, вытянутых в направлениях север-юг (Ех) (север соединялся с положительной клеммой прибора, юг – с отрицательной) и восток-запад (Еу) (восточный электрод соединялся с положительной клеммой прибора, западный – с отрицательной). Для заземления использовались слабополяризующиеся электроды Pb–PbCl. Измерялись три компоненты магнитного поля, Нх, Ну – по направлениям электрических линий, и вертикальная составляющая Нz. Время регистрации в большинстве случаев составляло 18–20 ч. Шаг измерения между точками варьировал от 2 до 7 км, но в среднем составлял 5 км.
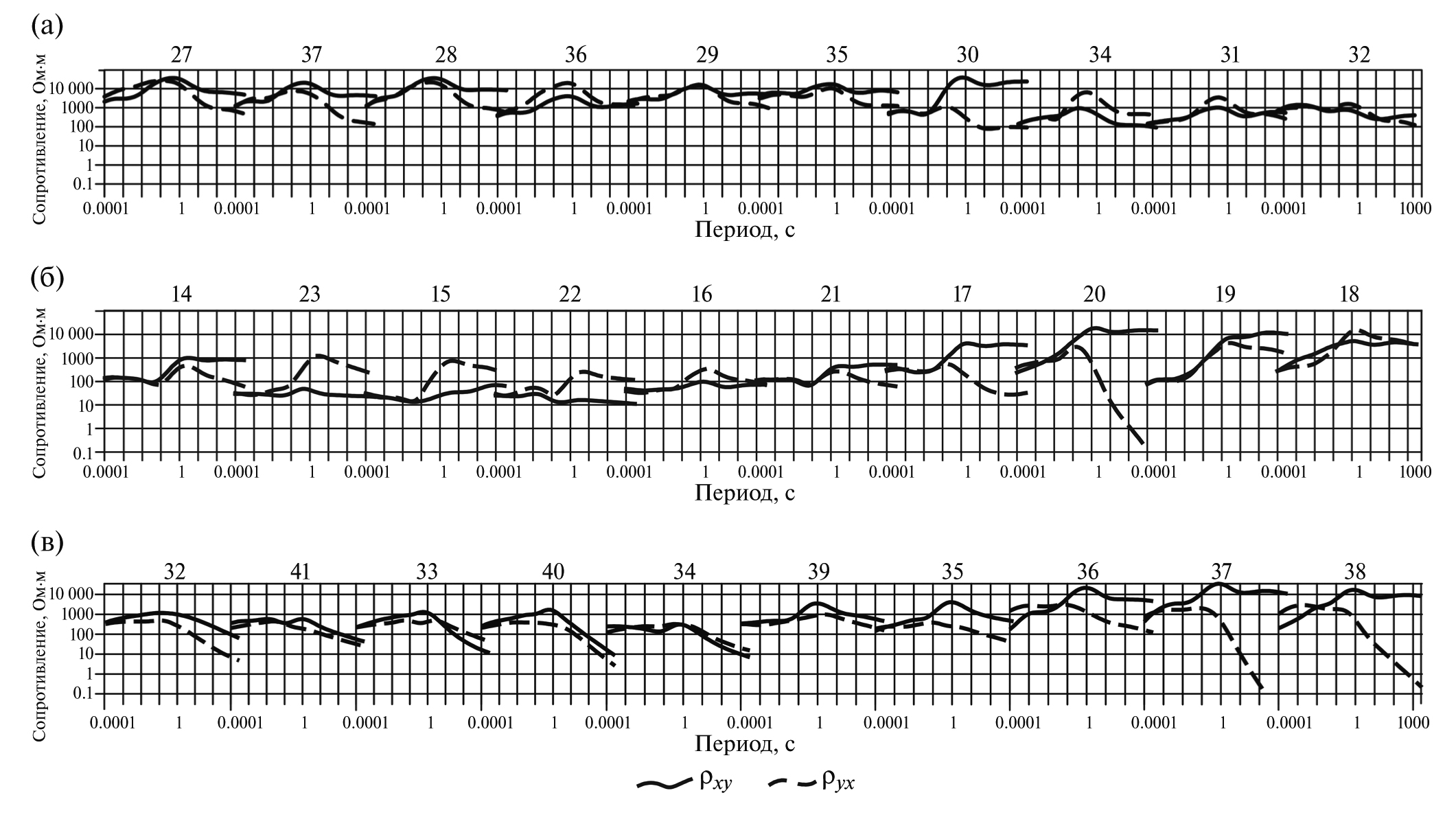
Анализ амплитудных кривых, полученных в результате полевых измерений, показал, что на них не наблюдается значительного расхождения продольной и поперечной кривых даже на пунктах зондирования, расположенных вблизи берега моря. На профиле ДП ближайший пункт наблюдения расположен в нескольких сотнях метрах от берега моря, на профиле СЗ на расстоянии 2.5 км, а на профиле АВ – около 100 м. Продольная и поперечная кривые имеют близкую друг другу форму и близки по уровню сопротивлений. На некоторых береговых точках профиля АВ (№ 37 и № 38) и профиля СЗ (№ 20) форма кривых явно отличается от эффекта, вызванного влиянием моря, и соответствует влиянию проводящего разлома (рис. 2).
Рис. 2. Амплитудные кривые профилей МТЗ в прибрежной континентальной части юга Дальнего Востока, показанных на рис. 1: (а) – ДП, (б) – СЗ, (в) – АВ.
Для определения степени проявления берегового эффекта мы использовали магнитовариационные функции отклика, которые определяются из линейных соотношений между вертикальной и горизонтальной компонентами магнитного поля. Одним из таких параметров являются индукционные стрелки или типпер Визе–Паркинсона. Мы использовали типпер в соглашении Визе, когда вещественный вектор направлен от зоны повышенной электропроводности к зоне пониженной электропроводности.
Вертикальная и горизонтальные компоненты геомагнитного поля связаны соотношением
Hz = WzxHx + WzyHy,
где Hz, Hx, Hy – составляющие геомагнитного поля, Wzx, Wzy – компоненты матрицы типпера W = |Wzx, Wzy|.
Матрица типпера Визе в векторной форме
W = Wzx1x + Wzy1y.
Комплексная индукционная стрелка W состоит из вещественной и мнимой индукционных стрелок:
W = ReW + iImW,
где ReW = ReWzx1x + ReWzy1y – вещественная индукционная стрелка;
ImW = ImWzx1x + ImWzy1y – мнимая индукционная стрелка;
1х, 1y – единичные направляющие векторы вдоль осей х, y.
Величина вектора зависит от величины избыточных токов, текущих в проводниках, расположенных вблизи точки наблюдения или под ней. При приближении к поверхностному проводнику величина вектора будет увеличиваться, а его направление будет указывать от проводника. При наличии проводника под точкой наблюдения величина вектора будет минимальная. Это условие действует при определенной глубине проводника и частоте регистрации геомагнитного поля.
Рис. 3. Вещественные векторы Визе для периодов 5.4, 10, 54, 100, 541 и 1000 с.
Пунктирные круги серого цвета с номерами показывают районы аномального поведения векторов Визе. Серой пунктирной линией обозначено предполагаемое продолжение разлома XV. Изолиниями показана глубина моря в метрах. Кружками с римскими цифрами обозначены разломы согласно рис. 1.
На рис. 3 показано поведение вещественного вектора на каждой точке трех профилей для периодов 5.4, 10, 54, 100, 541 и 1000 с. На рисунке видно, что на периодах 5.4 и 10 с отчетливо проявлено влияние берегового эффекта на прибрежных пунктах, на которых векторы имеют величину, близкую к 1 или даже больше, и направлены от моря перпендикулярно береговой линии. В глубине континента поведение векторов имеет в основном хаотичный характер, который связывается с наличием локальных проводников в земной коре. На периодах 54 и 100 с влияние берегового эффекта увеличивается на большее расстояние от берега, хаотичное направление векторов сменяется на более устойчивое, выделяются отдельные группы пунктов с близкими направлениями, что может быть связано с наличием проводников в верхней мантии. На периодах 541 и 1000 с большая часть векторов направлена от берега моря за исключением отдельных участков, которые показаны на рис. 3 овалами с номерами и линией. На профиле ДП на всех представленных периодах выделена область 1 с аномальным поведением векторов, которое проявляется в их развороте в сторону моря и резком уменьшении их величины вплоть до близких к нулю значений на отдельных периодах. Подобное поведение векторов свидетельствует о сильной аномалии проводимости расположенной в земной коре. Вторая аномалия низкого электрического сопротивления расположена к северо-западу от профиля ДП и проявляется в устойчивом юго-восточном направлении векторов начиная с периода 54 с. Еще один объект аномально высокой проводимости выделен на западной оконечности профилей АВ и СЗ, где отмечается разнонаправленное поведение векторов, которое позволяет нам выделить здесь линейную зону, которая может являться или продолжением Среднеханкайского разлома (рис. 1) или продолжением проводящей зоны, выделенной автором работы [Старжинский, 2004] севернее западного окончания профиля СЗ.
Анализ результатов
По трем профилям были построены разрезы частотных зависимостей величины вещественного типпера Визе (W) (рис. 4) и его горизонтальных составляющих (Wzx и Wxy) (рис. 5) от периода.
Рис. 4. Величина вещественного типпера W в зависимости от периода по профилям: (а) – ДП, (б) – СЗ, (в) – АВ. Над разрезами показаны пункты МТЗ и их номера. Римскими цифрами в кружках обозначены разломы согласно рис. 1.
Рис. 5. Величина вещественного типпера по направлениям на север Wrx и на восток Wry в зависимости от периода по профилям: (а), (б) – ДП, (в), (г) – СЗ, (д), (е) – АВ. Над разрезами показаны пункты МТЗ и их номера. Римскими цифрами в кружках обозначены разломы согласно рис. 1.
Величина вещественного типпера Wr (рис. 4) и его составляющих по направлениям Wrx (рис. 5а, 5в, 5д) и Wry (рис. 5б, 5г, 5е) очень сильно варьирует как по простиранию, так и с изменением периода. На всех трех разрезах типпера W (рис. 4) видно, что вблизи моря его величина минимальна (менее 0.1) до периодов 10–3 с. С увеличением периода на профилях СЗ и ДП его величина резко увеличивается в пределах 30–40 км от берега и может превышать величину 0.2, которая согласно [Dosso, Meng, 1992] соответствует влиянию берегового эффекта, на расстоянии примерно 60 км от берега. На профиле АВ это влияние проявляется на протяжении 130 км, но это связано с тем, что он расположен наиболее близко к береговой линии, максимально около 100 км. На всех трех разрезах хорошо видно, что на периодах до 0.1 с величина типпера W имеет большие значения в узкой береговой полосе около 10 км, а с увеличением периода его величина плавно уменьшается. Наибольшее расстояние, при котором проявляется влияние берегового эффекта, отмечается в диапазоне периодов от 100 до 1000 с.
Из разрезов горизонтальных составляющих Wrx (рис. 5а, 5в, 5д) и Wry (рис. 5б, 5г, 5е) видно, что для профиля ДП в зоне действия берегового эффекта они примерно одинаковы и вещественный типпер W направлен в основном на северо-запад (рис. 3). На профиле СЗ в 30 километровой прибрежной зоне величины Wrx и Wry примерно одинаковые, но с удалением от берега начинает преобладать меридиональная составляющая типпера и вещественный типпер W начинает разворачиваться ближе к северному направлению. На профиле АВ отмечается преобладание северной составляющей Wrx вещественного типпера W и разворотом его в северном и северо-восточном направлениях.
Таким образом, для профиля АВ основное влияние имеют токи, текущие в широтном направлении, а для профилей СЗ и ДП – в меридиональном, вдоль восточного побережья САСС. Это согласуется с выводами в работе [Brewitt-Taylor, 1975], полученными по результатам двумерных и трехмерных расчетов, что горизонтальное магнитное поле, нормальное к побережью, индуцирует сопоставимые магнитные поля по вертикали и горизонтали, нормальные к побережью, но небольшое поле вдоль побережья. Таким образом, корреляция будет иметь место только между вертикальной и горизонтальной нормалью к побережью.
Другой характерной особенностью разрезов на рис. 4 и рис. 5 является наличие зон высоких значений типперов как на отдельных участках, так и в определенном диапазоне периодов. На разрезах видно, что большая часть аномально высоких значений типпера расположена в диапазоне периодов от 10–1 до 1 с. Это свидетельствует о том, что на коротких периодах основное влияние на величину вектора оказывают геоэлектрические неоднородности в земной коре.
На рис. 6 показаны азимуты направлений вещественного (ReW) и мнимого (ImW) типперов в зависимости от периода по профилям. На рисунках видно, что в области периодов свыше 1 с, начиная от прибрежных пунктов, наблюдается область устойчивых направлений вещественного типпера, которая как бы погружается в сторону континента при увеличении периода (рис. 6а, 6в, 6д). Такая же тенденция наблюдается и в поведении мнимого типпера, но начиная с период свыше 0.1 с (рис. 6б, 6г, 6е). При этом на вещественных типперах это прослеживается на расстоянии около 100 км на профилях ДП и СЗ и около 200 км на профиле АВ. На мнимых типперах такая тенденция наблюдается на протяжении всей длины профилей и их азимуты, в основном, имеют южное направление. Азимуты вещественных типперов меняют свое направление от профиля к профилю. В выделенной области на профиле ДП (рис. 6а) вещественные типперы, в основном, имеют западное–северо-западное направления, на профиле СЗ (рис. 6в) – северное–северо-западное, а на профиле АВ (рис. 6д) – северное–северо-восточное. Таким образом, наличие данных областей с устойчивыми направлениями типперов, во-первых, свидетельствуют о наличии берегового эффекта, во-вторых, о дальности его влияния, в-третьих, о направлении его влияния.
Рис. 6. Азимут вещественного и мнимого типперов в зависимости от периода по профилям: (а), (б) – АВ; (в), (г) – СЗ; (д), (е) – ДП. Над разрезами показаны пункты МТЗ и их номера. Римскими цифрами в кружках обозначены разломы согласно рис. 1. Северное направление – 0°, восточное направление – “+”, западное – “–”.
Расчет разности углов направлений вещественного и мнимого векторов типпера показал отсутствие коллинеарности между ними практически во всем диапазоне периодов, что свидетельствуют о значительной геоэлектрической неоднородности разреза.
Модельные расчеты
Модельные расчеты проводились с использованием программы ModEM [Kelbert et al., 2014] на вычислительных ресурсах ЦКП “Центр данных ДВО РАН” [Сорокин, Макогонов и др., 2017]. В вычислениях использовалась модель со следующими параметрами сетки: 166 ячеек по оси x, 169 – по оси y и 27 – по оси z. В горизонтальном направлении основная зона модели имела размеры 152 × 155 ячейки с шагом 2.5 км, размер остальных ячеек по краям увеличивался с 5 до 300 км для гашения краевых эффектов при решении. Вертикальная сетка начиналась с 50 м и постепенно увеличивалась до 160 км. Прямая задача решалась для основного, дополнительного импедансов и типпера. Сетка периодов состояла из 50 периодов в диапазоне от 0.0001 до 1000 с.
Для изучения явления берегового эффекта были созданы различные модели, для которых произведен расчет прямой задачи в диапазоне периодов от 0.0001 до 1000 с. Для анализа использовались пункты зондирований трех профилей в Приморье: Дальнереченск–Пластун (ДП), Спасск-Дальний–Зеркальная (СЗ), Абражеевка–Валентин (АВ) (рис. 1).
В качестве исходной была создана горизонтально-слоистая модель. Первый слой – мощностью 30 км и сопротивлением 10 000 Ом ∙ м, второй – 55 км, 300 Ом ∙ м, третий – 35 км, 450 Ом ∙ м, четвертый – 40 км сопротивлением 100 Ом ∙ м, пятый – мощностью 80 км сопротивлением 50 Ом · м, шестой – 320 км сопротивлением 10 Ом ∙ м. Горизонтально-слоистая модель была построена на основе обобщения разрезов профилей, полученных ранее при инверсии МТЗ [Никифоров и др., 2013; Каплун, Бронников, 2018а; 2019; 2020].
На первом этапе была создана базовая модель, состоящая из исходной модели в которую добавлено море с учетом береговой линии и батиметрии. В модели оно представлено слоем переменной мощности, расположенным в южной и восточной частях модели с сопротивлением 0.3 Ом ∙ м. После добавления моря береговой эффект распространился на расстоянии около 100 км от берега (рис. 7). Влияние берегового эффекта начинает сказываться на форме как на меридиальной, так и на широтной кривых уже с периодов 0.01 с. Сами же кривые искажены неодинаково, что объясняется формой берега и положением точек относительно него. Наиболее искаженными оказались кривые пунктов, расположенных на границе суша–море. Их уровень сопротивления, а иногда и форма резко отличаются от кривых, полученных на соседних точках. Однако уже на расстоянии 4–5 км их форма близка к форме остальных точек профиля.
Рис. 7. Расчетные амплитудные кривые ρxy и ρyx для базовой модели с учетом береговой линии и батиметрии по профилям: (а), (б) – ДП; (в), (г) – СЗ; (д), (е) – АВ. Графики (ж), (з) показывают влияние берегового эффекта на амплитудные кривые без учета береговой линии на примере профиля СЗ. Цифры у кривых – расстояние до берега по профилю, в км: 1 – континентальная кривая, 2 – кривые рядовых точек профиля, 3 – кривая береговой точки профиля.
При движении по профилю от береговой линии происходит постепенное ослабление берегового эффекта. На рис. 7 видно, что на профилях ДП и СЗ береговой эффект на широтных и меридиональных кривых проявляется одинаково, а на профиле АВ происходит как бы инверсия влияния берегового эффекта. Это выражается в том, что те искажения кривых, которые наблюдались на профилях ДП и СЗ, также наблюдаются и на профиле АВ, но на других кривых, т.е. искажения на меридиональных кривых профилей ДП и СЗ сходны с искажениями на широтных кривых профиля АВ и наоборот. Это показывает, что на поведение кривых оказывает влияние различное направление токов, текущих в море. Полученный результат согласуется с практическими данными, представленными на рис. 5, где видны отличия в различных составляющих индукционного вектора для каждого профиля.
Особенностью поведения кривых является их подверженность влиянию берегового эффекта от положения точки наблюдения относительно береговой линии. Эта зависимость показана на кривых профиля СЗ (рис. 7ж и 7з), которые рассчитаны для условия, при котором море расположено лишь с одной стороны перпендикулярно линии профиля. Эта ситуация соответствует двумерной модели. Сопоставление кривых рис. 7в и рис. 7г с кривыми рис. 7ж и рис. 7з показывает сильное влияние береговой линии на форму кривых. Наиболее сильно это отражается на меридиональных кривых (рис. 7в), форма которых резко отличается от двумерного случая (рис. 7ж). На периодах свыше 1 с происходит воздымание правой ветви амплитудных кривых, которая постепенно спадает по мере удаления пункта наблюдения от береговой линии. На широтных кривых (рис. 7г), наоборот, отмечается ослабление влияния берегового эффекта на длиннопериодных ветвях амплитудных кривых. Но влияние берегового эффекта отмечается на обеих кривых, широтной и меридиональной, на примерно одинаковом расстоянии от берега.
На следующем этапе, на основе результатов ранее выполненных работ методом МТЗ на акватории Японского моря [Никифоров, Дмитриев, 2007; Никифоров и др., 2013], было уточнено строение геоэлектрического разреза под морем (рис. 8ж). Первый слой сопротивлением 5000 Ом ∙ м и мощностью 7 км, второй слой мощностью 3 км и сопротивлением 450 Ом ∙ м, соединяющийся на стыке континента и моря с третьим слоем базовой модели. Третий слой сопротивлением 300 Ом ∙ м и мощностью 73 км, четвертый слой базовой модели сопротивлением 100 Ом · м под морем был поднят до 85 км.
Рис. 8. Расчетные амплитудные кривые ρxy и ρyx для базовой модели с континентальной и морской частями по профилям: (а), (б) – ДП; (в), (г) – СЗ; (д), (е) – АВ; ж – геоэлектрический разрез; 1 – континентальная кривая, 2 – кривые рядовых точек профиля, 3 – кривая береговой точки профиля.
Изменения модели привели к ослаблению берегового эффекта (рис. 8а–8е). Уровень сопротивлений длиннопериодных ветвей как меридиональной, так и широтной амплитудных кривых уменьшился в несколько раз. Их отклонение от континентальной кривой стало происходить на более длинных периодах при удалении от береговой линии.
Для определения степени влияния глубины залеганий проводящего астеносферного слоя под морем и его сопротивления на проявление берегового эффекта было рассчитано несколько моделей (рис. 9). На рисунке видно, что изменение глубины залегания астеносферного слоя под морем с 50 до 100 км при сопротивлении 100 Ом · м слабо влияет на изменение поведения длиннопериодных ветвей амплитудных кривых (рис. 9а–9е). Их уровень незначительно уменьшается при уменьшении глубины залегания проводящего слоя астеносферы. Более существенное влияние на форму правых ветвей амплитудных кривых оказывает понижение его сопротивления (рис. 9ж, 9з). В этом случае длиннопериодные ветви меридиональных кривых вблизи береговой линии начинают выполаживаться, а при удалении от берега ниспадают. На широтных кривых, на длинных периодах, отмечаются ниспадающие ветки на всех пунктах независимо от расстояния до берега.
Рис. 9. Расчетные амплитудные кривые ρxy и ρyx на примере профиля СЗ для различной глубины залегания проводящего астеносферного слоя и его сопротивления: (а), (б) – 85 км, 100 Ом · м; (в), (г) – 50 км, 100 Ом · м; (д), (е) – 100 км, 100 Ом · м; (ж), (з) – 85 км, 5 Ом · м; 1 – континентальная кривая, 2 – кривые рядовых точек профиля, 3 – кривая береговой точки профиля.
Для рассмотрения влияния осадочного слоя на проявление береговой эффекта в базовую модель был добавлен слой мощностью 0.15 км и сделаны расчеты для сопротивления осадков 100, 10 и 2 Ом · м (рис. 10). Добавление осадочного слоя привело к ослаблению его воздействия в области высоких частот. С уменьшением сопротивления осадочного чехла происходит смещение влияния берегового эффекта в область более длинных периодов. На профиле СЗ влияние берегового эффекта на широтных кривых начинает сказываться на более длинных периодах по сравнению с меридиональными.
Рис. 10. Расчетные амплитудные кривые ρxy и ρyx для базовой модели на примере профиля СЗ с различным сопротивлением осадочного чехла: (а), (б) – 100 Ом · м; (в), (г) – 10 Ом · м; (д), (е) – 2 Ом · м; 1 – континентальная кривая, 2 – кривые рядовых точек профиля, 3 – кривая береговой точки профиля.
Для рассмотрения влияния разломов в базовую модель были добавлены вертикальные проводники шириной 2.5 км и глубиной заложения 30 км, до подошвы верхнего слоя высокого сопротивления, согласно схеме разломов, представленной на рис. 3. Расчеты проводились для различных сопротивлений разломов – 100, 10 и 2 Ом · м. Исключение составил ЦСАР, сопротивление которого было высоким и составляло 9000 Ом · м. Такое сопротивление ЦСАР было принято, исходя из ранее выполненных работ вкрест его простирания [Каплун, Бронников, 2018а; 2019; 2020]. Результаты расчетов представлены на примере профиля СЗ (рис. 11). Наличие разломов в значительной мере искажает форму кривых, особенно широтной кривой. Наибольшим искажениям подвержены кривые пунктов, расположенных в зоне разлома и вблизи берега моря на расстоянии около 10 км. При уменьшении сопротивления разломов происходит ослабление влияния берегового эффекта на кривые на периодах свыше 0.1 с при тех же расстояниях до берега.
Рис. 11. Расчетные амплитудные кривые ρxy и ρyx для базовой модели на примере профиля СЗ с различным сопротивлением разломов: (а), (б) – 100 Ом · м; (в), (г) – 10 Ом · м; (д), (е) – 2 Ом · м; 1 – континентальная кривая, 2 – кривые рядовых точек профиля, 3 – кривая береговой точки профиля.
Для дальнейшего изучения влияния сети разломов на проявление берегового эффекта в модель были введены еще два разлома. Один располагался на континенте и протягивался вдоль береговой линии на расстоянии примерно 25–35 км, а второй – в море на расстоянии около 40–50 км от берега. Введение в расчет данных разломов обусловлено геологическими данными [Уткин, 1976; 1978; Геология…, 1987]. Глубина заложения разломов располагалась на уровне подошвы слоя высокого сопротивления 10 000 Ом · м для континента и 5000 Ом · м для моря и составляла 30 и 9 км соответственно.
Из рис. 12а, 12б видно, что введение в модель дополнительных разломов привело к новым искажениям амплитудных кривых как меридиональной, так и широтной. Вблизи береговой линии произошло воздымание правых ветвей меридиональных кривых на периодах свыше 10 с и выполаживание широтных кривых. При задании сопротивления 2 Ом · м для всех разломов как континентальных, так и морского (рис. 12в, 12г), у меридиональных и широтных кривых появляются ниспадающие правые ветви кривых на периодах свыше 100 с.
Рис. 12. Расчетные амплитудные кривые ρxy и ρyx для базовой модели на примере профиля СЗ с различным сопротивлением разломов и осадочным чехлом мощностью 150 м и сопротивлением 100 Ом · м: (а), (б) – сопротивление разломов, представленных на рис. 3, 100 Ом · м; сопротивление дополнительных континентального и морского разломов – 2 Ом · м; (в), (г) – сопротивление всех разломов – 2 Ом · м; сопротивление астеносферного слоя – 5 Ом · м; 1 – континентальная кривая; 2 – кривые рядовых точек профиля; 3 – кривая береговой точки профиля.
Таким образом, наличие в геоэлектрическом разрезе глубинных проводящих разломов приводит к сильным искажениям амплитудных кривых, которые затрудняют выявление влияния берегового эффекта в прибрежной зоне. С другой стороны, хорошо проводящие разломы как континентальные, так и морские, приводят к ослаблению влияния берегового эффекта на периодах свыше 10 с.
Кроме этого, нами была рассмотрена модель сверхглубинных флюидно-разломных систем, предложенная в работах [Никифоров и др., 2018а; 2018б], которая представляет собой блок высокого сопротивления в несколько тысяч Ом · м, погруженный в астеносферу, разрывающий сплошность ее электропроводимости и обрамленный с обеих сторон сквозьлитосферными субвертикальными разломами низкого сопротивления в несколько единиц Ом · м. В модель, расчеты от которой показаны на рис. 12а, 12б, добавлены прибрежный и морской разломы сопротивлением 2 Ом · м, шириной 2.5 км, ограничивающих погруженный в верхнюю мантию блок сопротивлением 1000 Ом · м (рис. 13а).
Результаты моделирования (рис. 13б, 13в) показали, что введение блока высокого сопротивления 1000 Ом · м, разрывающего сплошность электропроводимости астеносферы, привело к выполаживанию правых ветвей меридиональных кривых прибрежных кривых профиля СЗ на периодах свыше 10 с на расстоянии около 50 км, и незначительно отразилось на широтных кривых.
Рис. 13. Геоэлектрический разрез вдоль профиля СЗ с блоком высокого сопротивления в верхней мантии (а) и расчетные амплитудные кривые ρxy (б) и ρyx (в). Цифрами на разрезе указано удельное электрическое сопротивление в Ом · м. Цифрами на кривых показано расстояние от берега моря. Берег моря равен нулевой отметке расстояния рис. 12а.
Обсуждение результатов
Для сопоставления модельных расчетов с полевыми данными в модель, представленную на рис. 13а, был добавлен проводящий объект в районе расположения Алчанского разлома и три проводящих разлома и рассчитаны векторы Визе для различных периодов с целью выяснения степени влияния подобных проводящих структур (рис. 14). Первый разлом является продолжением Среднеханкайского разлома, второй протягивается вдоль береговой линии на континенте, а третий протягивается вдоль береговой линии в море. Проводящий объект в районе расположения Алчанского разлома имел параметры: ширина 25 км, удельное сопротивление 10 Ом · м, глубина 30 км. В связи с ограниченностью сетки на севере модели простирание Алчанского разлома было не северо-восточное, а близширотное до границ модели. Введение в модель зоны Алчанского разлома вызвано тем, что, как указывалось выше при анализе полевых данных (рис. 3), выявлено устойчивое направление вещественных векторов в южном и юго-восточном направлениях на периодах свыше 10 с (район аномального поведения вещественных векторов Визе № 2 рис. 3), которое связывалось с наличием к северу от профиля ДП, за его пределами, аномалии высокой проводимости. Алчанский разлом расположен примерно в 40–60 км от западного окончания профиля ДП и является продолжением на территории России разлома Дунми, который, в свою очередь, является ветвью трансрегионального разлома Тан-Лу [Xu et al., 1987]. На территории России он перекрыт кайнозойскими отложениями, поэтому геологически изучен недостаточно. Однако по результатам МТЗ [Каплун, 1996; 2002] в районе Алчанского разлома была выявлена крупная аномалия пониженного сопротивления, погружающаяся в северном направлении. Результаты расчетов показали, что наличие такого проводящего объекта согласуется с полевыми данными (рис. 3).
Рис. 14. Вещественные векторы Визе для периодов 5.4, 10, 54, 100, 541 и 1000 с от модели рис. 13а с дополнительными параметрами зоны Алчанского разлома: ширина 25 км, удельное сопротивление 10 Ом · м, глубина 30 км, простирание близширотное до границ модели.
Серыми линиями обозначены предполагаемые проводящие разломы: сплошной – континентальный, штриховой – береговой, штрихпунктирной – морской. Изолиниями показана глубина моря в метрах. Кружками с римскими цифрами обозначены разломы согласно рис. 1.
Введение в модель продолжения Среднеханкайского разлома с параметрами: ширина 2.5 км, до глубины 12 км сопротивление 50 Ом · м, а далее до 160 км сопротивление 2 Ом · м, показало, что он влияет на поведение векторов Визе до периода 100 с, а на более длинных периодах его практически не видно (рис. 14). Это расходится с полевыми данными, которые показывают отклонение векторов в противоположные стороны на периодах вплоть до 1000 с. Вероятно, что этот разлом имеет более сложное строение.
Введенный в модель проводящий береговой разлом мантийного заложения отчетливо проявился на поведении векторов Визе вплоть до периода 100 с несмотря на влияние берегового эффекта (рис. 14). Однако его наличие практически не проявлено на полевых данных за исключением восточной части профиля ДП в районе № 1 аномального поведения вещественных векторов Визе на рис. 3. Остальные разломы как проводящие объекты проявляются на периодах до 50 с, в зависимости от расстояния до берега моря. Примечательным является то, что векторы Визе в некоторых случаях из-за влияния берегового эффекта выстраиваются вдоль простирания проводящего разлома, например профиль АВ, Т = 54 с (рис. 14). Это свидетельствует о том, что взаимное влияние проводящего разлома и берегового эффекта искажает истинное направление векторы Визе от проводящего разлома.
Из рис. 14 видно, что общее поведение векторов Визе на длинных периодах 541 и 1000 с, полученных в результате модельных расчетов, согласуется с полевыми данными (рис. 3). Однако следует отметить, что величина векторов от модельных расчетов превышает величину векторов от полевых данных при удалении от берега моря на расстоянии 50–60 км. Это может свидетельствовать о наличии в литосфере крупных проводящих объектов, ослабляющих влияние берегового эффекта, которые не были учтены при моделировании. О наличии проводящих тел в земной коре и верхней мантии свидетельствуют геоэлектрические разрезы, полученные по данным профилям [Каплун, Бронников, 2018а; 2019; 2020]. В связи с этим мы сопоставили средние амплитудные кривые ρxy и ρyx по профилю СЗ от полевых данных и расчетных от различных моделей (рис. 15).
Рис. 15. Средние полевые и расчетные меридиональные ρxy (а) и широтные ρyx (б) амплитудные кривые для профиля СЗ:
1 – средняя кривая по данным полевых измерений, 2 – средняя кривая от базовой модели с континентальными разломами сопротивлением 2 Ом · м, 3 – средняя кривая от базовой модели с континентальными и морским разломами сопротивлением 2 Ом · м, 4 – средняя кривая от модели по которой рассчитывались векторы Визе представленные на рис. 14.
На рис. 15 видно, что средние меридиональная ρxy и широтная ρyx полевые кривые имеют левые восходящие ветви с максимумом в районе 1 с и правые нисходящие ветви. Уровень сопротивления обеих кривых на коротких периодах почти совпадает, но с увеличением периода они начинают плавно расходиться, при этом широтная кривая располагается ниже меридиональной, повторяя ее форму. Это наблюдается примерно до периода 5 с, а далее, с увеличением периода, отмечается значительное их расхождение по уровню сопротивления, меридиональная кривая начинает выполаживаться, а широтная опускаться. Средние кривые, полученные от модели с континентальными разломами сопротивлением 2 Ом · м и без осадочного чехла, показывают необходимость добавления в модель осадочного чехла и совпадение формы длиннопериодной ветви меридиональной кривой, но значительное расхождение, почти на один порядок, по уровню сопротивления. Длиннопериодная ветвь широтной модельной кривой близка по уровню сопротивлений к полевой, но ее форма отличается от полевой. Добавление в модель осадочного чехла мощностью 150 м удельным сопротивлением 100 Ом · м и еще двух разломов – континентального и морского, привело к изменению формы левых короткопериодных ветвей как меридиональной, так и широтной кривых, понизило их общий уровень сопротивления и увеличило угол наклона длиннопериодных ветвей обеих кривых на периодах свыше 100 с. Проведенные расчеты показали, что в геоэлектрическую модель необходимо вводить осадочный чехол, но с меньшей мощностью, что согласуется с геологическими данными. Мощность осадочного чехла в САСС составляет, в основном, от первых метров до первых десятков метров и лишь в отдельных впадинах достигает первые сотни метров [Государственная…, 2011а]. На рис. 15 так же видно смещение максимумов модельных кривых номер 1 и номер 2 в сторону более коротких периодов по отношению к полевой кривой. Основное отличие модельных кривых от полевых состоит в значительном занижении уровня длиннопериодных ветвей по сравнению с полевой кривой. Для дальнейших расчетов была взята модель, представленная на рис. 13а, в которой изменены параметры верхней и нижней частей. В верхней части добавлены слои с сопротивлениями 100, 300, 500, 1000, 1500, 2000 Ом · м и мощностью 15, 35, 100, 150, 200, 500 м соответственно. Глубже идут слои мощностью 1 км до глубины 12 км с постоянным увеличением сопротивления на 500 Ом · м, начиная с 2500 Ом · м. Ниже, до глубины 40 км, залегает слой сопротивлением 6000 Ом · м, под ним располагается проводящий слой мощностью 20 км и сопротивлением 100 Ом · м, который подстилается двумя слоями повышенного сопротивления 300 Ом · м мощностью 25 км и 450 Ом · м мощностью 75 км. На глубине от 160 до 240 км залегает слой с сопротивлением 100 Ом · м, а в основании модели слой с сопротивлением 10 Ом · м. Сопоставление расчетных и полевых кривых показывает, что форма широтных кривых близка, но отличается по уровню сопротивления. Меридиональные кривые имеют схожие левые короткопериодные ветви, но значительно отличаются правыми длиннопериодными ветвями. На меридиональных кривых нам не удалось добиться повышения уровня правых длиннопериодных ветвей модельных кривых. Принципиальное различие между модельными и полевыми кривыми заключается в превышении уровня широтной кривой по отношению к меридиональной в модельных расчетах. Полевые данные показывают превышение уровня меридиональной кривой по отношению к широтной.
Выводы
В результате полевых исследований было выявлено, что на территории Южного Сихотэ-Алиня влияние берегового эффекта имеет специфическое проявление на амплитудных кривых магнитотеллурических зондирований. При приближении к берегу моря не наблюдается значительного расхождения длиннопериодных ветвей меридиональных и широтных кривых. Однако анализ вещественных векторов Визе показал, что на исследуемой территории отмечается значительное влияние берегового эффекта. Проведенное численное трехмерное моделирование для различных моделей показало, что основное искажение формы амплитудных кривых вызвано очертаниями береговой линии. Моделированием было подтверждено наличие проводящей, зоны расположенной к северу от района исследований за его пределами, а также проводящего разлома в западной его части.
Результаты численного моделирования показали, что береговой эффект приводит к искажению поведения действительных векторов Визе от проводящих разломов и проводящих зон вплоть до 1000 с. Взаимное влияние проводящего разлома и берегового эффекта приводит к искаженному направлению результирующего вектора. Это приводит к ошибочным представлениям о наличии и простирании проводящих объектов в земной коре и верхней мантии. Выявлено, что величина вещественных векторов Визе от полевых данных и модельных расчетов значительно различаются. Это может свидетельствовать о наличии в литосфере крупных проводящих объектов, ослабляющих влияние берегового эффекта, которые были выявлены предыдущими исследованиями [Никифоров, Дмитриев и др., 2006; Никифоров, Дмитриев, 2007; Никифоров и др., 2013; Каплун, Бронников, 2018а; 2019; 2020]. Наличие глубинных разломов приводит к ослаблению действия берегового эффекта на длинных периодах. Кроме этого, моделирование показало, что верхняя мантия в южной части Сихотэ-Алинской складчатой системы имеет сложное строение. На это указывает различие полевых амплитудных кривых и модельных, рассчитанных для трехмерного случая, но в рамках горизонтально-слоистой модели. Неоднородное анизотропное строение верхней мантии было показано в работе [Никифоров, Дмитриев и др., 2006] и подтверждено нами при расчетах параметров неоднородности и асимметрии Свифта и Бара [Каплун, Бронников, 2018а; 2019; 2020]. Для лучшего соответствия форм полевой и расчетных кривых необходимо использовать модель со сложным строением верхней мантии, что требует более детальных полевых исследований.
Финансирование работы
Исследования проведены при финансовой поддержке гранта РНФ №22-27-00031.
About the authors
V. B. Kaplun
Yu. A. Kosygin Institute of Tectonics and Geophysics, Far Eastern Branch, Russian Academy of Sciences
Author for correspondence.
Email: kaplun@itig.as.khb.ru
Russian Federation, Khabarovsk
A. K. Bronnikov
Yu. A. Kosygin Institute of Tectonics and Geophysics, Far Eastern Branch, Russian Academy of Sciences
Email: kaplun@itig.as.khb.ru
Russian Federation, Khabarovsk
References
- Бердичевский М.Н., Жданова О.Н., Жданов М.С. Глубинная геоэлектрика в океане. М.: Наука. 1989. 80 с.
- Берсенев И.И., Леликов Е.П., Безверхний В.Л., Ващенкова Н.Г., Съедин В.Г., Терехов Е.П., Цой И.Б. Геология дна Японского моря. Владивосток: ДВНЦ АН СССР. 1987. 140 с.
- Ваньян Л.Л., Мардерфельд Б.Е. О влиянии местных геоэлектрических условий на внезапные начала магнитных бурь. “Геомагнетизм и аэрономия”, 1966а. Т. 6. № 1. С. 163–165.
- Ваньян Л.Л., Мардерфельд Б.Е. Некоторые закономерности геомагнитных бухт на Сахалине. “Геомагнетизм и аэрономия”. 1966б. Т. 6. № 1. С. 165–166.
- Геодинамика, магматизм и металлогения Востока России: в 2 кн. / А.М. Ханчук (ред.) Владивосток: Дальнаука. 2006. Кн. 1. С. 1–572.
- Голозубов В.В. Тектоника юрских и нижнемеловых комплексов северо-западного обрамления Тихого океана. Владивосток: Дальнаука. 2006. 239 с.
- Государственная геологическая карта Российской Федерации масштаба 1:1 000 000 (третье поколение) L-(52),53; (K-52,53) (оз. Ханка). Санкт-Петербург: ВСЕГЕИ. 2011а.
- Государственная геологическая карта Российской Федерации. Масштаб 1 : 1 000 000 (третье поколение). Лист (L-(52), 53; (K-52, 53) – оз. Ханка. Объяснительная записка. СПб.: Картографическая фабрика ВСЕГЕИ. 2011б. 684 + 8 вкл
- Жданов М.С., Бердичевский М.Н., Файнберг Э.Б., Шнеер В.С., Абрамова Л.М., Варенцов И.М., Жданова О.Н., Нечаева Г.П., Светов Б.С., Яковлев А.В. Исследование магнитовариационных аномалий в зоне перехода от Азиатского материка к Тихому океану. Сборник ИЗМИРАН. 1983. С. 8–15.
- Забродин В.Ю., Рыбас О.В., Гильманова Г.З. Разломная тектоника материковой части Дальнего Востока России. Владивосток: Дальнаука. 2015. 132 с.
- Каплун В.Б. Геоэлектрический разрез верхней мантии Западного Сихотэ-Алиня // Тихоокеанская геология. 1996. Т. 15. № 4. С. 77–87.
- Каплун В.Б. Электропроводность и структура литосферы Приамурья. Дис. ... канд. геол.-мин. наук. Хабаровск: институт тектоники и геофизики ДВО РАН. 2002. 234 с.
- Каплун В.Б., Бронников А.К. Строение земной коры и верхней мантии Южного Сихотэ-Алиня по профилю г. Спасск-Дальний–бух.Зеркальная по данным магнитотеллурических зондирований // Тихоокеанская геология.2018а. Т. 37. № 5. С. 31–47.
- Каплун В.Б., Бронников А.К. Изучение влияния берегового эффекта на результаты магнитотеллурических зондирований в южной части Сихотэ-Алинского орогенного пояса. Вопросы теории и практики геологической интерпретации геофизических полей: материалы 45-й сессии Международного семинара им. Д.Г. Успенского, Казань, 22–26 января 2018 г. Казань: изд-во Казан. ун-та. 2018б. 172 с. (С. 118–119).
- Каплун В.Б., Бронников А.К. Строение земной коры и верхней мантии Южного Сихотэ-Алиня по профилю г. Дальнереченск–с. Рощино–п. Пластун по данным магнитотеллурических зондирований // Тихоокеанская геология. 2019. Т. 39. № 5. C. 3–13.
- Каплун В.Б., Бронников А.К. Строение земной коры и верхней мантии Южного Сихотэ-Алиня по профилю с. Абражеевка – п. Валентин по данным магнитотеллурических зондирований // Тихоокеанская геология, 2020. Т. 39. № 4. С. 3–15.
- Мардерфельд Б.Е. Береговой эффект в геомагнитных вариациях. М.: Наука. 1977. 80 с.
- Мороз Ю.Ф., Кобзова В.М. Физическое и численное моделирование магнитотеллурического поля Камчатки // Вулканология и сейсмология. 1994. № 2. С. 86–98.
- Мороз Ю.Ф., Нурмухамедов А.Г. Глубинная геоэлектрическая модель области сочленения Курило-Камчатской и Алеутской островных дуг // Физика Земли. 2004. № 6. С. 54–67.
- Мороз Ю.Ф., Мороз Т.А. Численное трехмерное моделирование магнитотеллурического поля Камчатки // Физика Земли. 2011. № 2. С. 64–73.
- Мороз Ю.Ф., Самойлова О.М. Особенности регионального и локального берегового эффектов в магнитотеллурическом поле Камчатки // Геофизические исследования. 2017. Т. 18. № 3. С. 81–94.
- Никифоров В.М., Пальшин Н.А., Старжинский С.С., Кузнецов В.А. Численное моделирование трехмерного берегового эффекта в Приморье // Физика Земли. 2004. № 8. С. 56–69.
- Никифоров В.М., Дмитриев И.В., Старжинский С.С. Глубинная геоэлектрическая структура и сейсмичность Приморья (Дальний Восток) // Тихоокеанская геология. 2006. Т. 25. № 4. С. 18–25.
- Никифоров В.М., Дмитриев И.В. Геоэлектрический разрез тектоносферы в зоне сочленения Япономорской впадины с материковым обрамлением // Тихоокеанская геология. 2007. Т. 26. № 4. С. 18–25.
- Никифоров В.М., Кулинич Р.Г., Валитов М.Г., Дмитриев И.В., Старжинский С.С., Шкабарня Г.Н. Особенности флюидного режима литосферы в зоне сочленения Южного Приморья и Японского моря по комплексу геофизических данных // Тихоокеанская геология. 2013. Т. 32. № 1. С. 54–64.
- Никифоров В.М., Шкабарня Г.Н., Жуковин А.Ю., Каплун В.Б., Талтыкин Ю.В. Новый подход к изучению блокового геоэлектрического строения литосферы и флюидонасыщенных фрагментов разломов как индикаторов зон повышенной сейсмичности (по данным МТЗ на Южном Сахалине) // Тихоокеанская геология. 2018а. Т. 37. № 4. С. 44–55.
- Никифоров В.М., Шкабарня Г.Н., Каплун В.Б., Жуковин А.Ю., Варенцов И.М., Пальшин Н.А., До Хуы Куонг (Do Huy Cuong), Нгуен Нху Чунг (Nguyen Nhu Trung), Зыонг Куок Хунг (Duong Quoc Hung). Электропроводящие элементы сверхглубинных флюидно-разломных систем как индикаторы сейсмически активных зон восточной окраины Евразийского континента (по данным магнитотеллурических зондирований) // Докл. РАН. 2018б. Т. 480. № 6. С. 730–738.
- Никифорова Н.Н., Ахмадулин В.А., Порай-Кошиц А.М., Светов Б.С., Спивак В.А., Хализов А.А., Харин Е.П. Глубинные магнитотеллурические исследования в Хабаровском крае. Глубинные электромагнитные зондирования Дальнего Востока. Владивосток: ДВНЦ АН СССР. 1980. С. 42–49.
- Пальшин Н.А., Алексеев Д.А. Особенности глубинной электропроводности в зоне перехода от Тихого океана к Евразии // Физика Земли. 2017. № 3. С. 107–123.
- Порай-Кошиц А.М., Ноздрина А.А., Хализов А.Л., Шимелевич М.И. Об интерпретации данных магнитовариационного профилирования в Приморском крае. Глубинные электромагнитные зондирования Дальнего Востока. Владивосток: ДВНЦ АН СССР. 1980. С. 124–126.
- Сорокин А.А., Макогонов С.В., Королев С.П. Информационная инфраструктура для коллективной работы ученых Дальнего Востока России // Научно-техническая информация. Серия 1: Организация и методика информационной работы. 2017. № 12. С. 14–16.
- Старжинский С.С. Результаты магнитовариационных исследований в Приморье // Физика Земли. 2004. № 7. С. 1–9.
- Уткин В.П. Сдвиговые зоны Центрального Сихотэ-Алиня // Докл. АН СССР. 1976. Т. 229. № 4. С. 955–958.
- Уткин В.П. Восточно-Азиатская глобальная сдвиговая зона, вулканический пояс и окраинные моря // Докл. АН СССР. 1978. Т. 240. № 2. С. 400–403.
- Ханчук А.И., Рязанцева М.Д., Голозубов В.В., Гонохова Н.Г. Геология и полезные ископаемые Приморского края. Очерк. Владивосток: Дальнаука. 1995. 68 с.
- Ханчук А.И., Голозубов В.В., Мартынов Ю.А., Симаненко В.П. Раннемеловая и палеогеновая трансформные континентальные окраины (калифорнийский тип) Дальнего Востока России. Тектоника Азии: Программа и тезисы совещания. М: ГЕОС. 1997. С. 240–243.
- Ханчук А.И., Мартынов Ю.А. Тектоника и магматизм границ скольжения океанических и континентальных литосферных плит. Геологические процессы в обстановках субдукции, коллизии и скольжения литосферных плит. Материалы Всерос. конф. с междунар. участием. г. Владивосток, 20–23 сентября 2011 г. Владивосток: Дальнаука. 2011. С. 45–49.
- Ханчук А.И., Гребенников А.В., Иванов В.В. Альб-сеноманские окраинно-континентальный орогенный пояс и магматическая провинция Тихоокеанской Азии // Тихоокеанская геология. 2019. Т. 38. № 3. C. 4–29.
- Brewitt-Taylor C.R. A model for the coast-effect // Physics of the Earth and Planetary Interiors. 1975. V. 10. P. 151–158.
- Dosso H.W., Meng Z.W. The coast effect response in geomagnetic field measurements. Phys // Earth Planet. Inter. 1992. V. 70. P. 39–56.
- González-Castillo L., Junge A., Galindo-Zaldívar J., Löwer A. Influence of a narrow strait connecting a large ocean and a small sea on magnetotelluric data: Gibraltar Strait // Journal of Applied Geophysics. 2015. V. 122. P. 103–110.
- Jang H., Jang J.H., Song S.Y., Nam M.J., Uchida T. A consideration of sea effects on MT data obtained in an east Indonesian island: Lembata Island // J. Geophys. Eng. 2018. V. 15. P. 1280–1290.
- Han N., Nam M.J., Kim H.J., Lee T.J., Song Y., Suh J.H. Three-dimensional inversion of magnetotelluric data including sea effects obtained in Pohang, Korea // Journal of Applied Geophysics. 2009. V. 68. P. 533–545.
- Hitchman A.P., Milligan P.R., Lilley F.E.M. (Ted), White A., Heinson G.S. The total-field geomagnetic coast effect: The CICADA97 line from deep Tasman Sea to inland New South Wales // Exploration Geophysics. 2000. V. 31. P. 052–057.
- Kelbert A., Meqbel N., Egbert G., Tandon K. ModEM: A modular system for inversion of electromagnetic geophysical data // Computers & Geosciences. 2014. V. 66. P. 40–53.
- Kuvshinov A., Utada H. Anomaly of the geomagnetic Sq variation in Japan: effect from 3-D subterranean structure or the ocean effect? // Geophys. J. Int. 2010. V. 183. P. 1239–1247.
- Malleswari D., Veeraswamy K. Numerical simulation of coast effect on magnetotelluric measurements // Acta Geod. Geophys. 2014. V. 49. P. 17–35.
- Monteiro Santos F.A., Nolasco M., Almeida E.P., Pous J., Mendes-Victor L.A. Coast effects on magnetic and magnetotelluric transfer functions and their correction: application to MT soundings carried out in SW Iberia // Earth and Planetary Science Letters. 2001. V. 186. P. 283–295.
- Naidu G. D., Manoj C., Patro P.K., Sreedhar S.V., Harinarayana T. Deep electrical signatures across the Achankovil shear zone, Southern Granulite Terrain inferred from magnetotellurics // Gondwana Research. 2011. V. 20. P. 405–426.
- Pandey D., Sinha M., MacGregor L., Singh S. Ocean coast effect on magnetotelluric data: a case study from Kachchh, India // Mar.Geophys.Res. 2008. V. 29. P. 185–193.
- Patro P. K., Sarma S.V.S. Lithospheric electrical imaging of the Deccan trap covered region of western India // J. Geophys. Res. 2009. V. 114. B01102. doi: 10.1029/2007JB005572
- Uyeshima M., Utada H., Nishida Y. Network-magnetotelluric method and its first results in central and eastern Hokkaido, NE Japan // Geophys. J. Int. 2001. V. 146. P. 1–19.
- XuJ.W., Zhu G., Tong W.X., Cui K.R., Liu Q. Formation and evolution of the Tancheng-Lujiang wrench fault system to the northwest of the Pacific Ocean // Tectonophysics. 1987. V. 134. P. 273–310.
- Zhang F., Wei W.-B., Jin S., Ye G.-F., Jing J.-E., Zhang L.-T., Dong Y., Xie C.-L., Wang H. Ocean coast effect on land-side magnetotelluric data in the vicinity of the coast // Chinese Journal of Geophysics (in Chinese). 2012. V. 55. P. 4023–4035.
- Yang J., Yoo H.-S. Numerical Study on the Correction of Sea Effect in Magnetotelluric (MT) Data // Jour. Korean Earth Science Society. 2009. V. 30. № 5. P. 550–564.
- Yang J., Min D.-J., Yoo H.-S. Sea effect correction in magnetotelluric (MT) data and its application to MT soundings carried out in Jeju Island, Korea // Geophys. J. Int. 2010. V. 182. P. 727–740.
Supplementary files

















