Dating of lava flows of the Avacha volcano, Kamchatka, from paleomagnetic data
- Authors: Maksimochkin V.I.1, Bazanova L.I.2, leptsova Y.V.3
-
Affiliations:
- Moscow State University
- Institute of Volcanology and Seismology, Far Eastern Branch, Russian Academy of Sciences
- Ludwig Maximilians Universität
- Issue: No 1 (2024)
- Pages: 37-56
- Section: Articles
- URL: https://journals.rcsi.science/0002-3337/article/view/254881
- DOI: https://doi.org/10.31857/S0002333724010032
- EDN: https://elibrary.ru/ELQXYP
- ID: 254881
Cite item
Full Text
Abstract
The paleodirection and paleointensity of the geomagnetic field are determined in seven andesibasalt–basalt samples from three lava flows (L1–L3) of the Avacha volcano. The reliability of the Thellier–Coe method for geomagnetic field paleointensity determination is demonstrated on the sample from the modern lava flow TTI-50 (the Tolbachik Fissure Eruption): the difference between the calculated Han and IGRF12 values is within 3% with a quality factor q > 13. The age of lava flows L1–L3 is refined using paleomagnetic data. Flows L1, L2 of the Young Cone were formed in 1827 and 300–600 years ago, respectively, and the age of flow L3 on the crest of the somma is determined at 30–32 ka, which agrees with the known age estimate (14C dating) of the avalanche associated with the catastrophic destruction of the Avacha volcano 29 900 ± 900 years ago.
Full Text
Введение
Авачинский – действующий вулкан типа Сомма-Везувий, расположенный в южной части Восточного вулканического пояса Камчатки, в 25–30 км к северу от Петропавловска-Камчатского. Он входит в Авачинскую группу вулканов и состоит из соммы позднеплейстоценового возраста, образованной около 30 тыс. лет назад (л.н.) [Мелекесцев и др., 1991], и активного Молодого конуса (рис. 1), начавшего формироваться ∼3800 л.н. [Базанова и др., 2003]. Породы вулкана представлены базальтами, андезибазальтами, андезитами и дацитами.
Для эруптивной деятельности Молодого конуса характерны эксплозивные и эксплозивно-эффузивные извержения. Основной тип эксплозивных извержений – вулканский. Достоверно известно, что излияния лавы происходили в 1827, 1894–1895, 1926 и 1991 гг., ее объем, как правило, не превышал 15 × 106 м3 [Мелекесцев и др., 1993; 1994; Заварицкий, 1935].
Рис. 1. Исследованные лавовые потоки вулкана Авачинский: (а) – действующий Молодой конус и лавовые потоки Л1, Л2 у его подножья. Вид с юго–юго-запада; (б) – останец лавового потока Л3 на северо-западном гребне соммы. Стрелкой показан участок палеомагнитного опробования. На дальнем плане – вулкан Корякский. Номера образцов и координаты места их отбора (см. табл. 1).
Лавовые потоки на склонах вулкана датировать довольно сложно. Разрешение изотопных методов недостаточно при расчленении относительно молодых немых эффузивных толщ [Сергеев и др., 2015]. Определение возраста по соотношению с маркирующими горизонтами тефры в подстилающих и перекрывающих почвенно-пирокластических чехлах по методике [Брайцева и др., 1978] также исключено ввиду плохой сохранности здесь пепловых горизонтов. В этом случае вполне допустима оценка возраста лавовых потоков вулкана путем сопоставления результатов палеомагнитного анализа лав с характеристиками палеовековых вариаций магнитного поля в регионе и Земли в целом, известными из литературных источников. Однако следует отметить, что информация о палеовековых вариациях геомагнитного поля на Камчатке из-за отсутствия палеомагнитных данных по четвертичным вулканическим породам полуострова и всей северо-западной Пацифики достаточно скудна. В последних математических моделях вариаций геомагнитного поля [Korte et al., 2011; Nilsson et al., 2014; Panovska et al., 2018] данные по Камчатке полностью отсутствуют. Большая часть имеющихся материалов об особенностях палеомагнетизма в голоцене и позднем плейстоцене Камчатки [Алыпова, 1967; Аверьянов, Штейнберг, 1979; Добрецова и др., 1982; Кочегура и др., 1986], несмотря на безусловный интерес и методическую ценность, не отвечает современным мировым аппаратурно-методическим стандартам качества палеомагнитных исследований. Наиболее надежные сведения о вековых вариациях геомагнитного поля Камчатки в голоцене получены по лавовым потокам вулканов Ключевской и Толбачик [Латышев и др., 2017] и их, несомненно, можно использовать.
Целью работы является пополнение базы данных магнитохронологической шкалы Камчатки для позднего плейстоцена–голоцена и уточнение возраста лавовых потоков вулкана Авачинский с использованием результатов их палеомагнитного изучения, что, в свою очередь, расширит существующие представления о характере деятельности вулкана, включая и эффузивную составляющую.
Объект исследований и методика экспериментов
Нами были исследованы 7 ориентированных образцов андезибазальтов-базальтов, отобранных из 3 лавовых потоков вулкана Авачинский, обозначенных здесь и далее как Л1–Л3. Лавовые потоки Молодого конуса Л1, Л2 опробованы в верховьях Пади Лавовой, левого истока р. Сухая Халактырская (рис. 1а). Их возраст менее 3800 лет [Мелекесцев и др., 1993; Базанова и др., 2003]. Л1 бронирует южный склон Молодого конуса, с постепенным наращиванием своих масштабов к подножью. На высоте ∼1050 м этот лавовый поток со слабо наклонной поверхностью заканчивается крутым фронтальным уступом, достигая мощности ∼15 м. Ближе к вершине он перекрыт лавами более поздних излияний. В том же южном секторе конуса прослеживается и лавовый поток Л2 с отчетливыми очертаниями и видимой мощностью до 10–15 м в прифронтальной части. На контакте с обрывистыми стенками старого позднеплейстоценового кратера, он залегает почти субгоризонтально, заполняя пологое ложе атрио и формируя лавовую ступень, а выше по склону перекрывается лавовым потоком Л1 (рис. 1а). Поток Л3 принадлежит сохранившейся части более древней постройки Авачинского вулкана, возраст которой оценивается в 30–50 тыc. лет [Мелекесцев и др., 1991; Брайцева и др., 1994]. Он находится на северо-западном гребне соммы в виде отпрепарированного скального останца высотой не менее 20 м, отвесная сторона которого, обращенная к центру вулкана, отвечает, по сути, его поперечному сечению (рис. 1б). Отбор образцов осуществлялся вручную с ориентировкой маркируемых плоскостей при помощи геологического компаса. Величина местного магнитного склонения D = –6.53° раcсчитана по модели IGRF-12 [Thébault et al., 2015]. Координаты точек отбора приведены в табл. 1.
Таблица 1. Координаты точек отбора образцов
№ образца | Широта, град | Долгота, град | Высота, м | Лавовый поток/ориентировочный возраст |
К17-6 | 53.2161 | 158.8140 | 1065 | Л1/Извержение 1827 г. [Заварицкий, 1935] |
К17-3 | 53.2148 | 158.8080 | 1050 | Л2/Менее 3800 лет [Мелекесцев и др., 1993] |
К17-7 | 53.2149 | 158.8127 | 1007 | |
К17-8 | 53.2663 | 158.8180 | 2134 | Л3/Более 29–30 тыс. лет [Мелекесцев и др., 1991] |
К17-9 | 53.2663 | 158.8178 | 2134 | |
К19-11 | 53.2663 | 158.8183 | 2134 | |
К19-12 | 53.2663 | 158.8181 | 2134 |
В качестве реперного также изучен образец базальта К17-14, излившегося в ходе Толбачинского Трещинного извержения 2012 г. (ТТИ-50), любезно предоставленный нам сотрудником Института вулканологии и сейсмологии ДВО РАН С.С. Сыроветниковым. Полученные данные использовались для проверки работоспособности методики определения палеонапряженности по остаточной намагниченности лав.
Палеомагнитные реконструкции проводились с учетом результатов комплексных лабораторных исследований, включающих все современные физические и магнитоминералогические методы, применяемые в области магнетизма горных пород. Из каждого штуфа породы вырезалось по 10–12 дублей кубической формы объемом 8 и 1 см3. Естественная остаточная намагниченность (NRM) образцов была подвергнута ступенчатой температурной чистке и чистке переменным магнитным полем. Ступенчатая чистка переменным магнитным полем осуществлялась до 100 мТл с помощью прибора LDA-3A (AGICO, Чехия). Остаточная намагниченность образцов измерялась ротационным магнитометром JR-6 (AGICO, Чехия). Обработка измерений остаточной намагниченности выполнена при помощи пакета программ Remasoft [Chadima, Hrouda, 2006]. Магнитная восприимчивость образцов при комнатной температуре определена с помощью каппаметра ИМВО-М (г. Санкт-Петербург).
Измерение точек Кюри (Тс) образцов производилось двумя способами: по зависимости от температуры намагниченности в поле 0.24 Тл – I(T) и по зависимости магнитной восприимчивости от температуры k(T) в поле Н = 200 А/м, измеренной прибором MFK-1/CS3 (AGICO, Чехия). Точка Кюри в первом способе определялась путем аппроксимации данных I2 = f(T) линейной функцией [Moskowitz, 1981], во втором способе – по минимуму первой производной магнитной восприимчивости по температуре.
Для оценки термостабильности магнитных свойств образцов снималось изменение намагниченности I(T) в поле 0.24 Тл при циклических нагревах в воздухе до температур T = {400, 450, 500, 550}°C на вибрационном магнитометре ВМ-2. Намагниченность насыщения ферримагнетика (Is) рассчитана по зависимости намагниченности от поля, при этом учитывался вклад парамагнитной матрицы. Максимальное значение поля равно 1.6 Тл.
Палеонапряженность геомагнитного поля по остаточной намагниченности пород определена методом Телье–Кое [Coe, 1967] с использованием диаграмм Араи–Нагаты [Нагата, 1965].
Палеонапряженность геомагнитного поля рассчитана по формуле
Ндр = b*Нлаб,
где b – коэффициент линейной аппроксимации данных на диаграмме Араи–Нагаты, Нлаб = 50 мкТл – величина лабораторного поля в циклах Телье.
Для контроля минералогических изменений ферримагнетика в циклах Телье выполнялась процедура check-points pTRM [Prevot et al., 1985]. Также сравнивалась интенсивность терморазмагничивания NRM в циклах Телье и при термочистке. Надежность определений палеонапряженности оценивалась по параметру качества q [Coe et al., 1978], а также параметру DRAT [Selkin, Tauxe, 2000].
Направление древнего геомагнитного поля определено по наиболее стабильной компоненте NRM по результатам магнитной чистки в переменном поле. При этом использован пакет программ Remasoft [Chadima, Hrouda, 2006].
Информация о минеральном составе, структуре и размерах ферримагнитных зерен – носителей остаточной намагниченности – получена путем проведения электронно-зондовых исследований аншлифов на сканирующем микроскопе Tescan Vega II XMU (s.r.o. Tescan, г. Брно, Чехия) сотрудником Института экспериментальной минералогии РАН А.Н. Некрасовым. Магнитная доменная структура изучена с помощью магнитосилового микроскопа NFM Solver-Pro (NT MDT Зеленоград).
Проверка методики определения палеонапряженности на образце базальта толбачинского трещинного извержения (тти-50)
Согласно результатам электронно-зондовой микроскопии магнитные зерна образца лавы ТТИ-50 представлены титаномагнетитом с содержанием магнетитовой компоненты 42 ± 3% (табл. 2), зерна однородны с размерами 5–10 мкм и менее, имеется также небольшое количество зерен размером около 100 мкм (рис. 2а). Гистерезисные характеристики Irs/Isf = 0.229 и Hcr/Hc = 3.04 (см. табл. 3) показывают по критерию Дея–Данлопа [Day et al., 1977; Dunlop, 2002] (см. рис. 3), магнитные свойства базальта К17-14 определяются смесью однодоменных и небольшого количества многодоменных зерен. Температура Кюри, определенная по намагниченности в поле 0.24 Тл, TcIs = 280 °C, по магнитной восприимчивости – Tck = 270 °C (табл. 3, рис. 4 и рис. 5а). Изменение намагниченности в поле 0.24 Тл от температуры при циклических нагревах (рис. 5а) показывает, что титаномагнетит стабилен к нагревам вплоть до 380 °C. Гистерезисные характеристики и результаты термомагнитных исследований свидетельствуют о высокой палеоинформативности естественной остаточной намагниченности лав ТТИ-50.
Рис. 2. Изображения ферримагнитных зерен образцов К17-14 (а), К17-3 (б), К17-9 (в) в обратно рассеянных электронах и образца К17-9 (г) в магнитосиловом микроскопе SolverPRO фирмы NT MDT.
Рис. 3. Диаграмма Дея для образцов из лавовых потоков вулкана Авачинский: Л1 (обр. K17-6), Л2 (обр. К17-3 и К17-7), Л3 (обр. К17-8, К17-9, К19-11, К19-12), и ТТИ-50 (Толбачинское Трещинное извержение) (обр. К17-14).
Рис. 4. Зависимости производной магнитной восприимчивости от температуры образцов лав ТТИ-50 (обр. К17/14) и вулкана Авачинский (обр. К17/6 – поток Л1; обр. К17/3 и К17/7 – поток Л2, обр. К17/8 – поток Л3). Положение минимумов на кривых показывает температуру Кюри.
Рис. 5. Зависимость намагниченности в поле 0.24 Тл от температуры при циклических нагревах образцов лав ТТИ-50 (а) и вулкана Авачинский (б)–(г): (б) – поток Л1; (в) – поток Л2, (г) – поток Л3.
Таблица 2. Результаты микрозондового (расчет на миналы) и термомагнитного анализов (температура Кюри) магнитных зерен в лавах ТТИ-50 и вулкана Авачинский
№ образца | Fe3O4 | Fe2TiO4 | MgAl2O4 | MgFe2O4 | Tc, °C по Is(T) | Tc, °C по k(T) |
Толбачинское Трещинное извержение (ТТИ-50) | ||||||
К17-14 | 0.42 ± 0.03 | 0.34 ± 0.03 | 0.10 ± 0.02 | 0.08 ± 0.04 | 280 | 270 |
Вулкан Авачинский | ||||||
К17-3 | 0.60 ± 0.06 | 0.28 ± 0.06 | 0.07 ± 0.03 | 0.02 ± 0.02 | 500 | 520 |
К17-9 | 0.76 ± 0.15 | 0.14 ± 0.15 | 0.04 ± 0.03 | 0.05 ± 0.04 | 550 | 560 |
Таблица 3. Магнитные характеристики образцов лав ТТИ-50 и вулкана Авачинский
№ образца | Поток | NRM, A/м | k, 10–3 ед. Си | Qn | Irs/Is | Hcr/Hc | Tc, °C по Is(T) | Tc, °C по k(T) |
Толбачинское Трещинное извержение (ТТИ-50) | ||||||||
К17-14 | ТТИ 50 | 21.9–26.7 | 24–27 | 19–24 | 0.229 | 3.04 | 280 | 270 |
Вулкан Авачинский | ||||||||
К17-6 | Л1 | 3.2–5.3 | 23–36 | 2.5–4.3 | 0.086 | 3.29 | 500 | 490 |
К17-3 | Л2 | 3.0–4.5 | 23–32 | 2.8–3.4 | 0.111 | 2.49 | 500 | 520 |
К17-7 | 2.7–3.8 | 23–31 | 2.7–3.8 | 0.105 | 2.50 | 540 | 520 | |
К17-8 | Л3 | 10.6–16.0 | 6.0–11.9 | 28–50 | 0.262 | 1.98 | 560 | 560 |
К17-9 | 3.5–8.8 | 7.5–10.6 | 9.5–22.2 | 0.115 | 3.01 | 550 | 560 | |
К19-11 | 2.5–3.5 | 4.5–6.5 | 12–15 | 0.115 | 3.26 | – | – | |
К19-12 | 2.9–4.3 | 16–21 | 4.2–5.0 | 0.112 | 2.71 | – | – | |
Примечания: NRM – естественная остаточная намагниченность; k – магнитная восприимчивость; Qn = NRM/(k*40) – параметр Кенигсбергера; Irs – остаточная намагниченность насыщения; Is – намагниченность насыщения; Hc – коэрцитивная сила; Hcr – остаточная коэрцитивная сила; Tc – температура Кюри.
Определение палеонапряженности по NRM образца лав ТТИ-50 проведено на 4 дублях (рис. 6а, табл. 4). Высокие значения параметра качества q = 13.8–40.7 и малые отклонения pTRM чек-точек от pTRM при проведении процедур Телье и, как следствие, низкие значения параметра DRATmax ≤ 2.8% (табл. 4) показывают, что результаты определения палеонапряженности, полученные на дублях образца лавы ТТИ-50, удовлетворяют всем принятым в настоящее время критериям надежности. Среднее значение Ндр = 54.8 ± 1.2 мкТл оказалось завышено всего на 3% по сравнению с величиной главного магнитного поля BIGRF12 = 53.13 мкТл, рассчитанной по модели IGRF-12 для эпохи 2015 г. в районе вулкана Толбачик, и очень близко к величине палеонапряженности, полученной в работе [Жидков и др., 2017] на аналогичном образце лавы ТТИ 2013 г. (Hдр = 54.6 мкТл). Некоторое завышение Ндр по сравнению с моделью IGRF-12, возможно, обусловлено тем, что магнитное поле в районе вулкана Толбачик больше BIGRF12 из-за намагниченности лав. Таким образом, надежность методики определения палеонапряженности геомагнитного поля не вызывает сомнения.
Рис. 6. Результаты термочистки, размагничивания NRM и образования pTRM в циклах Телье (слева) и диаграммы Араи–Нагата и Зийдервельда (справа) для образцов лав ТТИ-50 (а) и вулкана Авачинский (б)–(е)): (б) – поток Л1; (в) – поток Л2; (г), (д), (е) – поток Л3.
Таблица 4. Результаты определения палеонапряженности методом Телье–Кое по образцам лав ТТИ-50 и вулкана Авачинский (Камчатка)
№ обр | Т1–Т2, °C | N | q | g | f | b | DRATmax, % | Hлаб, мкТл | Hдр, мкТл |
Толбачинское Трещинное извержение (ТТИ-50) | |||||||||
K17-14/1 | 209–345 | 6 | 13.75 | 0.760 | 0.790 | 1.14 ± 0.04 | 2.77 | 50 | 56.8 ± 2.2 |
К17-14/2 | 150–378 | 10 | 39.34 | 0.871 | 0.915 | 1.00 ± 0.02 | 1.7 | 53 | 53.1 ± 1.1 |
К17-14/3 | 150–378 | 9 | 40.70 | 0.870 | 0.877 | 1.03 ± 0.02 | 1.8 | 53 | 55.1 ± 1.0 |
К17-14/5 | 150–378 | 10 | 40.56 | 0.869 | 0.925 | 1.02 ± 0.02 | 2.36 | 53 | 54.1 ± 1.0 |
Вулкан Авачинский Лавовый поток Л1 | |||||||||
К17-6/5 | 193–487 | 9 | 57.2 | 0.914 | 0.693 | 1.08 ± 0.01 | 5.7 | 50 | 54.0 ± 0.6 |
К17-6/7 | 195–515 | 10 | 14.52 | 0.928 | 0.632 | 1.02 ± 0.04 | 8.2 | 50 | 50.7 ± 2.1 |
К17-6/8 | 195–515 | 10 | 30.4 | 0.920 | 0.727 | 1.03 ± 0.02 | 7.4 | 50 | 51.6 ± 1.1 |
Лавовый поток Л2 | |||||||||
К17-3/5 | 375–536 | 6 | 4.87 | 0.785 | 0.612 | 1.06 ± 0.18 | 7.6 | 50 | 53.0 ± 8.5 |
К17-3/6 | 390–511 | 6 | 3.89 | 0.777 | 0.494 | 1.09 ± 0.13 | 12.9 | 50 | 54.5 ± 6.4 |
К17-7/5 | 441–544 | 7 | 9.24 | 0.916 | 0.391 | 1.07 ± 0.04 | 2.5 | 50 | 53.6 ± 2.1 |
К17-7/6 | 409–544 | 8 | 5.01 | 0.836 | 0.511 | 1.14 ± 0.10 | 4.4 | 50 | 57.1 ± 4.9 |
Лавовый поток Л3 | |||||||||
К17-8/4 | 298–557 | 9 | 16.7 | 0.890 | 0.832 | 1.08 ± 0.05 | 1.0 | 50 | 54.1 ± 2.0 |
К17-8/6 | 208–580 | 13 | 62.6 | 0.858 | 0.887 | 1.01 ± 0.01 | 2.3 | 50 | 50.3 ± 0.6 |
К17-9/7 | 108–576 | 11 | 26.3 | 0.900 | 0.826 | 1.14 ± 0.03 | 1.2 | 50 | 56.7 ± 1.6 |
К17-9/8 | 208–580 | 13 | 68.1 | 0.930 | 0.727 | 0.99 ± 0.01 | 2.5 | 50 | 49.7 ± 0.5 |
K19-11/3 | 356–550 | 7 | 4.65 | 0.809 | 0.341 | 0.99 ± 0.06 | 6.1 | 50 | 49.5 ± 3.0 |
Примечания: T1–T2 – интервал температур, по которому определялась палеонапряженность; N – количество точек, используемых для линейной аппроксимации на диаграмме Араи–Нагата; q – коэффициент качества [Coe et al., 1978]; g – равномерность точек на диаграмме; f – часть естественной намагниченности, по которой определялась палеонапряженность; b – коэффициент линейной аппроксимации; DRAT – параметр, характеризующий минералогические изменения при проведении процедур Телье [Selkin, Tauxe, 2000]; Нлаб – величина магнитного поля в экспериментах Телье; Ндр – расчетное значение палеонапряженности.
Палеоинформативность естественной намагниченности образцов лав вулкана авачинский
Магнитные характеристики изученных образцов вулкана Авачинский показаны в табл. 3. Естественные магнитные и гистерезисные характеристики образцов из потоков Л1–Л2 близки друг к другу. Фактор Кёнигсбергера Qn = NRM/(k*H) изменяется в пределах 2.5–5.9. Значения гистерезисных параметров Irs/Is и Hcr/Hc показывают, что, согласно критерию Дея–Данлопа [Day et al., 1977; Dunlop, 2002], магнитные зерна находятся в псевдооднодоменном состоянии (рис. 3, табл. 3).
Разброс магнитных характеристик образцов из потока Л3 более существенный. Для них характерны высокие значения параметра Кенигсбергера (Qn = 9.5–50) и отношения Irs/Is = 0.11–0.26. Они также попадают в псевдооднодоменную область по критерию Дея–Данлопа.
Размагничивание переменным магнитным полем и термочистка показали (рис. 7), что NRM большинства образцов однокомпонентна, в некоторых случаях небольшой вклад вносит низкокоэрцитивная компонента, вероятно, вязкой природы (например, рис. 7а).
Рис. 7. Примеры диаграмм Зийдервельда, иллюстрирующие результаты размагничивания образцов лав вулкана Авачинский переменным магнитным полем – NRM(h) и температурой (термочистка) – NRM(T): (а) – поток Л1, (б) – поток Л2, (в) – поток Л3.
Температура Кюри ферримагнитных зерен в образцах лав Авачинского вулкана варьирует в пределах Тс = 490–560 °C (табл. 3). Так же, как и для базальта ТТИ-50, значения Тс, определенные по зависимости намагниченности в поле 0.24 Тл от температуры Is(T) и зависимости k(T), вполне сопоставимы.
Зависимости намагниченности в поле 0.24 Тл от температуры при циклических нагревах в воздухе с постепенным увеличением максимальной температуры нагрева (рис. 5) свидетельствуют, что минералогические изменения начинают происходить после нагрева образцов до 500–550 °С. Магнитные зерна в лаве Л2 гомогенны (рис. 2б). Выявлено, что магнитные минералы в лавах Л3 более стабильны к нагревам, чем из потоков Л1–Л2. Температура Кюри образцов из потока Л3 близка к Тс магнетита (табл. 3).
Согласно результатам микрозондового анализа минералом, отвечающим за магнитные свойства изученных образцов, является титаномагнетит с небольшим количеством магния и алюминия (табл. 2). При этом содержание магнетитовой компоненты в титаномагнетитовых зернах образца К17-9 (поток Л3) выше, чем в образце К17-3, принадлежащего потоку Л2.
Хотя размеры зерен титаномагнетита обр. К17-9 достаточно большие (рис. 2в), по гистерезисным характеристикам, их магнитная жесткость довольно высокая (табл. 3), а по критерию Дея [Day et al., 1977] они находятся в псевдооднодоменном состоянии (рис. 3). Это объясняется наличием структур распада, которые видны на изображениях титаномагнетитовых зерен образца К17-9 (поток Л3) в обратно рассеянных электронах (рис. 2в) и в магнитосиловом микроскопе (рис. 2г). Наличие таких структур характерно для высокотемпературного окисления титаномагнетита. Этим также объясняется высокая температура Кюри, близкая к магнетиту при высоком содержании титана (табл. 2). В целом магнитные характеристики, особенно для лавового потока Л3, свидетельствуют о высокой степени палеоинформативности NRM.
Определение палеонапряженности геомагнитного поля по образцам лав вулкана авачинский
Результаты экспериментов Телье на лавах вулкана Авачинский, показаны на рис. 6б–6е и в табл. 4.
На образце К17-6 из лавового потока Л1 проведено три определения палеонапряженности (табл. 4). Пример диаграммы Араи–Нагата для одного из дублей показан на рис. 6б. Точки в температурном интервале 193–487(515) °С на диаграмме Араи–Нагата довольно хорошо аппроксимируются линейной функцией. Коэффициент качества определения Hдр высокий q = 14.5–57.2. Разброс относительно среднего значения ⟨Ндр⟩ = 52.1 мкТл не превышает 3.6%. Результаты определения палеонапряженности удовлетворяют принятым в настоящее время критериям качества [Coe et al., 1978].
Для лавового потока Л2 проведено 4 определения палеонапряженности: 2 – по образцу К17-3 и 2 – по образцу К17-7. Для расчета Ндр использовались только высокотемпературные точки. Ндр = 53.6 мкТл, рассчитанное в температурном интервале 441–544 °С, оказалось близко к Ндр, рассчитанному по образцу К17-6 (табл. 4). Результат определения Ндр по образцу К17-3 имеет низкий коэффициент качества q = 3.9–4.9, близкий к предельному q = 5 [Coe et al., 1978], обусловленный в основном высокой среднеквадратичной погрешностью параметра b и низким значением параметра f. DRAT = 7.6–12.9%, характеризующий минералогические изменения, также получился достаточно большим. Качество определения Ндр по обр. К17-7 выше: q = (5-9.24), DRAT < 4.4. В целом, значения палеонапряженности, определенные по образцам из потока Л2, также близки друг к другу – Ндр = (53–57.1) мкТл, причем среднее значение ⟨Ндр⟩ = 54.6 ± 1.28 мкТл для Л2 оказалось несколько выше, чем для Л1 (⟨Ндр⟩ = 52.1 ± 1.27 мкТл, табл. 5).
Таблица 5. Результаты определения параметров древнего магнитного поля по изверженным породам вулкана Авачинский (Камчатка)
Номер образца (поток) | N | Jдр, град | Dдр, град | α95, град | K | Plat, град | Plong, град | dm, град | dp, град | ⟨Ндр⟩, | VADM, | VDM, |
К17-6 (Л1) | 5 | 55.6 | 24.4 | 0.7 | 12 774 | 65.9 | 284.1 | 1.0 | 0.7 | 52.1 ± 1.27 (3) | 7.9 ± 0.2 | 9.5± 0.4 |
К17-3, К17-7 (Л2) | 11 | 60.9 | 15.4 | 13.4 | 351 | 74.7 | 290.2 | 20.5 | 15.7 | 54.6 ± 1.28 (4) | 8.29 ± 0.19 | 9.03±0.5 |
К17-9, К19-11, 12 (Л3) | 29 | 68.7 | 342.5 | 5.8 | 456 | 79.3 | 69.3 | 9.8 | 8.3 | 52.1 ± 1.6 (5) | 7.9 ± 0.4 | 7.9± 0.5 |
Прорыв Пийпа 1966 г. | 67.3 | 3.9 | Из работы [Латышев и др., 2017] | |||||||||
Среднее | 68.7 | 4.2 | ||||||||||
Вулкан | 72.9 | 10.1 | ||||||||||
Примечания: N – количество определений палеонаправления геомагнитного поля; Jдр и Dдр – средние значения наклонения и склонения по потокам; α95, K – параметры статистики Фишера [Fisher, 1953]; Plat, Plong – координаты палеополюсов; dm, dp – полуоси овала доверия для палеомагнитного полюса; ⟨Hдр⟩ (n) – среднее значение палеонапряженности (количество определений палеонапряженности); VADM – аксиальный дипольный магнитный момент; VDM – дипольный магнитный момент.
Для лавового потока Л3 проведено 5 определений палеонапряженности на образцах К17-8, К17-9 и К19-11 (табл. 5). Четыре определения имеют высокий коэффициент качества q = 16.7–68.1, для образца К19-11 q = 4.65, т.е. несколько меньше предельного (q = 5). Однако результат определения Ндр = 49.5 мкТл по этому образцу также был включен в анализ, т.к. отличался от среднего по остальным 4 определениям менее, чем на 6%.
Определение положения древнего геомагнитного полюса
Размагничивание переменным магнитным полем и температурой показало (рис. 7), что NRM большинства образцов практически однокомпонентна. Вследствие этого, для определения склонения (Dдр) и наклонения (Jдр) древнего магнитного поля (Ндр) по намагниченности пород использовалось направление естественной остаточной намагниченности после чистки переменным магнитным полем с амплитудой 10 мТл. Вязкая и наведенная лабораторная компоненты намагниченности при этом размагничивались. Результаты показаны в табл. 5.
Склонение и наклонение, определенные по 5 дублям обр. К17-6 (поток Л1), равны Dдр = 24.4° и Jдр = 55.6°, для образцов К17-3 (2 дубля) и К17-7 (9 дублей) потока Л2 Dдр = 15.1°, Jдр = 62.8°. Значения направления магнитного поля во время образования потоков Л1 и Л2 оказались близки, склонение восточное.
Направление древнего магнитного поля, полученное по 3 образцам потока Л3 (29 определений), имеет западное склонение: ⟨Dдр⟩ = 345.2° ± 9°, ⟨Jдр⟩ = 69.2° ± 2° (см. рис. 8, табл. 5).
Рис. 8. Направления NRM образцов из трех лавовых потоков Л1, Л2 и Л3 вулкана Авачинский в географической системе координат (Л1 – К17-6; Л2 – К17-3, К17-7; Л3 – К17-9, К19-11, К19-12; черная звезда – направление главного геомагнитного поля по модели IGRF-12 в месте отбора образцов).
В табл. 5 приведены координаты виртуального геомагнитного полюса (Plat, Plong), рассчитанные по Jдр и Dдр для 3-х опробованных потоков, на рис. 9 – положения виртуального геомагнитного полюса (ВГП) в стереографической проекции. Видно, что во время формирования потоков Л1 и Л2 ВГП находился в 4-м квадранте, во время формирования потока Л3 – в 1-м квадранте.
Рис. 9. ВГП по образцам из лавовых потоков Л1-Л3. Черные точки – положение палеополюса с 10 по 20 век н.э. по данным работы [Бурлацкая, 2007], цифрами около точек указаны годы.
Уточнение возраста лавовых потоков вулкана Авачинский
Зная величину виртуального дипольного магнитного момента Земли (VADM и VDM) и положение виртуального геомагнитного полюса (Plat и Plong) (табл. 5), попытаемся уточнить возраст лавовых потоков, используя имеющиеся на настоящее время опубликованные данные о вариациях геомагнитного поля [Nilsson et al., 2010; 2014; Бурлацкая, 2007; Knudsen et al., 2008; Латышев и др., 2017] и геологические материалы.
По результатам тефрохронологических исследований [Базанова и др., 2001; 2003] формирование Молодого конуса вулкана Авачинский началось 3800 л.н. На протяжении последних 3500 лет лавовые потоки при извержениях разной силы обычно не выходили за пределы подножия Молодого конуса. Лишь иногда, как во время извержений ∼700 и 1000 л.н., они спускались в истоки рек Сухая Халактырская и Желтуха. Их длина достигала 4–6 км. К таким потокам относятся опробованные нами Л1 и Л2 (рис. 1а). К сожалению, попытки их датирования тефрохронологическим методом не принесли результатов из-за отсутствия здесь почвенно-пирокластического чехла.
По имеющимся сведениям [Постельс, 1836; Заварицкий, 1935; и др.] лавовый поток Л1 сформировался в ходе исторического извержения вулкана 1827 г. Cомнения в достоверности таких представлений о характере этого извержения, высказанные в работе [Мелекесцев и др., 1993], в дальнейшем не подтвердились в ходе дополнительных геологических наблюдений. Данные о магнитном поле (табл. 5), полученные по образцу К17-6 (Л1), также свидетельствуют в пользу первого утверждения. Ндр = 52.1 ± 1.27, определенное по образцу К17-6 потока Л1, равно в пределах погрешности расчетному значению НIGRF = 52.11 для эпохи 1900 г [https://wdc.kugi.kyoto-u.ac.jp/wdc/Sec2.html] в месте палеомагнитного опробования этого потока. VDM = (9.5 ± 0.4)*1022 А*м2, рассчитанный по образцу К17-6 (поток Л1) в предположении дипольности магнитного поля Земли, оказался больше не только современного дипольного магнитного момента Земли, но и на 10% больше такового для 1835 г. (M = 8.56*1022 А*мм2) по данным [http://wdc.kugi.kyoto-u.ac.jp/index.html].
Склонение магнитного поля, определенное по дублям образца К17-6 (Л1), равно 24.4°. К сожалению, данных о магнитном поле Камчатки для этой эпохи нет. Склонение магнитного поля, рассчитанное по модели IGRF [https://wdc.kugi.kyoto-u.ac.jp/igrf/index.html] эпохи 1900 г. для района отбора образца из потока Л1 равно 27°, что довольно близко к определенному нами значению. Однако наклонение Jдр = 55.6° оказалось несколько меньше JIGRF(1900) = 63.2°. Возможно, такое отличие связано с вариациями геомагнитного поля за 80 лет, возможно – с большой погрешностью определения наклонения, из-за того, что оно было проведено всего по одному образцу из потока. Возможен также вклад недипольной составляющей геомагнитного поля.
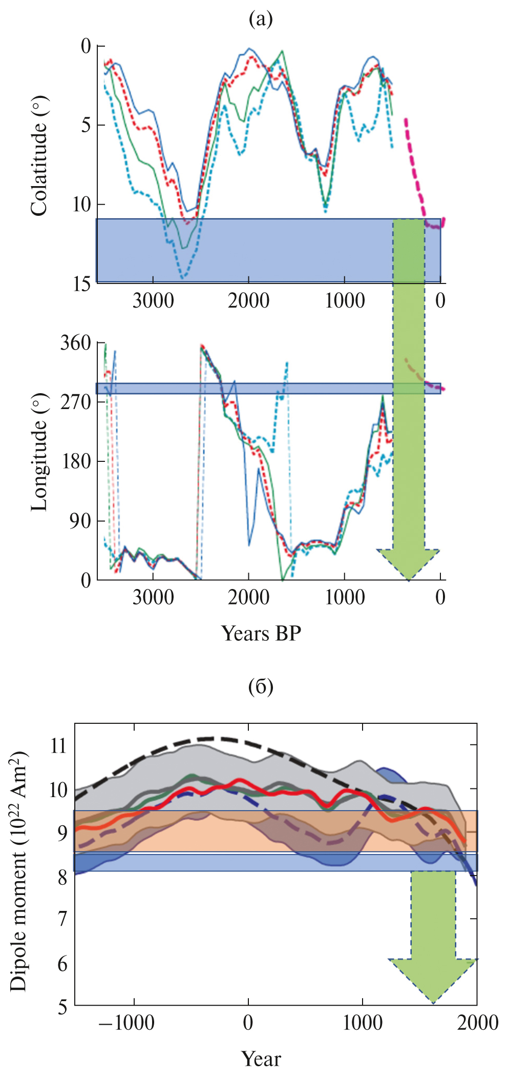
По взаимоотношению в разрезе лавовый поток Л2 древнее потока Л1. Это подтверждается и магнитными данными. Наблюдения за последние 120 лет [http://wdc.kugi.kyoto-u.ac.jp/index.html], а также палеомагнитные данные за последние 2000 лет [Nilsson et al., 2014] показывают, что величина дипольного магнитного момента Земли убывает. Ндр = 52.1 ± 1.27 мкТл, VADM = (7.92 ± 0.19)*1022 А*м2), определенный нами по Л1, оказался несколько меньше, чем определенный по Л2: Ндр = 54.6 ± 1.28 мкТл, VADM = (8.29 ± 0.19)*1022 А*м2 (табл. 5). Согласно [Nilsson et al., 2014], Земля могла иметь такой дипольный магнитный момент, примерно в интервале 300–1500 л.н. (см. рис. 10). Склонение геомагнитного поля, определенное по образцам потока Л2, северо-восточное (⟨Dдр⟩ = 15.1°), наклонение ⟨Jдр⟩ = 62.8°. Согласно [Латышев и др., 2017], в период с 1400 г. и до настоящего времени геомагнитное поле Камчатки характеризовалось восточным склонением (3.9–10.1)°, наклонение изменялось в пределах (67.3–72.9)°. Виртуальный геомагнитный полюс (Plat = 76.6°, Plong = 285°), определенный нами по потоку Л2, находится в 4-м квадранте и довольно близок к положению ВГП в 1400–1700 г.г. н.э. по археомагнитным данным [Бурлацкая, 2007] (рис. 9), что согласуется с палеоданными [Nilsson et al., 2010] (рис. 10). Таким образом, можно сделать вывод, что лавовый поток Л2 сформировался ∼300–600 л.н. и связан с одним из сильных извержений этого времени, установленных в ходе детальной реконструкции голоценовой эруптивной активности Авачинского вулкана и датированных по возрастной модели как: Av138 – 338 ± 57 л.н., Av135 – 508 ± 33 л.н., Av134 – 533 ± 16 л.н., Av128 – 584 ± 19 л.н. [Krasheninnikov et al., 2020].
Рис. 10. Сопоставление данных ВГП (голубые прямоугольники), полученных по образцам лав вулкана Авачинский (поток Л2), с вариациями координат геомагнитного поля за последние 3500 лет по работе [Nilsson et al., 2010] – (а), а также VDM (оранжевый прямоугольник) и VADM (голубой прямоугольник) – с дипольным моментом Земли по работе [Nilsson et al., 2014] – (б). Стрелкой показан наиболее вероятный возраст лавового потока Л2.
Возраст лавового потока Л3, опробованного на гребне соммы (рис. 1б, табл. 1), по геологическим данным [Мелекесцев и др., 1991] более 29–30 тыс. лет. По образцам потока Л3 (табл. 5) VADM = (7.9 ± 0.4)*1022 А*м2 и VDM = (7.9 ± 0.5)*1022 А*м2 очень близки современному дипольному магнитному моменту Земли М = 7.7*1022 А*м2.
Согласно работе [Knudsen et al., 2008], магнитное поле Земли в интервале от 29 до 50 тыс. л.н. имело такую интенсивность только 29–32 тыс. л.н. (рис. 11). Учитывая возраст отложений обвальной лавины 29 900 ± 900 14C л.н. [Мелекесцев и др., 1991], связанной с катастрофическим разрушением Авачинского вулкана, можно оценить возраст лавового потока Л3 в 30–32 тыс. лет.
Рис. 11. Сравнение дипольного магнитного момента, полученного по образцам К17-8, 9 и К19-11 вулкана Авачинский (лавовый поток Л3), с изменением аксиального дипольного момента Земли за последние 50000 лет по работе [Knudsen et al., 2008], штриховые прямые – полученное нами значение VADM и диапазон погрешности. Стрелочкой показан наиболее вероятный возраст лавового потока Л3.
Заключение
1. Исследования магнитных свойств и минералогии ферримагнитных зерен, а также свойств естественной остаточной намагниченности коллекции образцов из лавовых потоков вулкана Авачинский и Толбачинского Трещинного извержения 2012–2013 гг. (ТТИ-50) позволили получить достаточно надежные данные о величине и направлении геомагнитного поля времени образования лавовых потоков.
2. На примере современного лавового потока ТТИ-50 показана надежность методики определения палеонапряженности геомагнитного поля по остаточной намагниченности изверженных пород. Отличие расчетного значения Ндр величины магнитного поля от IGRF12 не превышает 3%.
3. Путем сравнения палеомагнитных данных, полученных по намагниченности пород трех лавовых потоков вулкана Авачинский, с литературными данными вариаций геомагнитного поля уточнен возраст этих потоков.
Поток Л1 (обр. К17-6) относится к извержению вулкана 1827 г. Характеристики геомагнитного поля Ндр = (52.1 ± 1.27) мкТл, VADM = (7.9 ± 0.2)*1022 А*м2, VDM = (9.5 ± 0.4)*1022 А*м2, Plat = 65.9°, Plong = 284.1° близки к магнитному моменту и положению магнитного полюса для 1835 г. по [Rikitake, 1966; http://wdc.kugi.kyoto-u.ac.jp/index.html].
Поток Л2 (образцы К17-3 и К17-7) сформировался 300–600 л.н., когда геомагнитное поле имело следующие характеристики: Ндр = (54.6 ± 1.28) мкТл, VDM = (9.03 ± 0.5)*1022 А*м2, VADM = (8.29 ± 0.19)*1022 А*м2, Plat = 74.7°, Plong = 290.2°.
Поток Л3 (образцы К17-8, К17-9, К19-11 и К19-12) относится к извержению, которое произошло 30–32 тыс. лет назад. Величина магнитного момента Земли в то время была близка к современной.
Финансирование работы
Исследование выполнено при финансовой поддержке РФФИ в рамках научных проектов № 16-05-00144 и № 20-05-00573.
About the authors
V. I. Maksimochkin
Moscow State University
Email: maxvi@physics.msu.ru
Faculty of Physic
Russian Federation, MoscowL. I. Bazanova
Institute of Volcanology and Seismology, Far Eastern Branch, Russian Academy of Sciences
Email: bazanovali@mail.ru
Russian Federation, Petropavlovsk-Kamchatskii
Yu. V. S leptsova
Ludwig Maximilians Universität
Author for correspondence.
Email: syv18@mail.ru
Department of Earth and environmental sciences
Germany, MunichReferences
- Аверьянов В.С., Штейнберг Г.С. Использование вариаций магнитного поля Земли для оценки возраста Авачинского вулкана. Проблемы изучения палеовековых вариаций магнитного поля Земли // Владивосток: ДВНЦ АН СССР. 1979. С. 61–67.
- Алыпова О.М. Палеомагнетизм лав Ключевской группы вулканов и ее фундамента // Бюлл. вулканологических станций.1967. № 43. С. 27–43.
- Базанова Л.И., Брайцева О.А., Пузанков М.Ю., Сулержицкий Л.Д. Катастрофические плинианские извержения начальной фазы формирования молодого конуса вулкана Авачинский (Камчатка) //Вулканология и сейсмология. 2003. № 5. С. 20–40.
- Базанова Л.И., Брайцева О.А., Мелекесцев И.В., Пузанков М.Ю. Потенциальная опасность от извержений Авачинского вулкана. Геодинамика и вулканизм Курило-Камчатской островодужной системы. Петропавловск-Камчатский: ИВГиГ ДВО РАН. 2001. 428 с.
- Брайцева О.А., Егорова И.А., Несмачный И.А., Селянгин О.Б., Сулержицкий Л.Д. Тефрохронологическое датирование лавовых комплексов и реконструкция истории формирования современного вулкана // Бюллетень вулканологических станций. 1978. № 55. С. 41–53.
- Брайцева О.А., Мелекесцев И.В., Пономарева В.В., Сулержицкий Л.Д., Литасова С.Н. Возраст действующих вулканов Курило-Камчатского региона // Вулканология и сейсмология. 1994. № 4-5. С. 5–32.
- Бурлацкая С.П. Археомагнетизм: Структура и эволюция магнитного поля Земли. М.: ГЕОС. 2007. 344 с.
- Добрецова Ю.Г., Зубов А.Г., Кочегура В.В. Стратиграфическая корреляция голоценовых отложений Камчатки по палеовековым вариациям. Методы палеомагнетизма в решении геологических задач (на примере Дальнего Востока): материалы 1 Дальневосточного семинара по палеомагнетизму и магнетизму горных пород. Владивосток: ДВНЦ АН СССР. 1982. С. 189–193.
- Жидков Г.В., Щербаков В.П., Долотов А.В., Смирнов М.А., Овсянников А.А., Плечов П.Ю. Тестовые определения палеонапряженности на исторических лавах Камчатки // Физика Земли. 2017. № 1. С. 171–182. doi: 10.7868/S0002333716060132
- Заварицкий А.Н. Вулкан Авача на Камчатке и его состояние летом 1931 г. Труды ЦНИГРИ. Вып. 35. М.-Л. 1935. 35 с.
- Кочегура В.В., Зубов А.Г., Брайцева О.А. Магнитостратиграфия голоценовых почвенно-пирокластических образований Камчатки // Вулканология и сейсмология. 1986. № 6. С. 3–17.
- Латышев А.В., Кушлевич Д.О., Пономарева В.В., Певзнер М.М., Федюкин И.В. Вековые вариации геомагнитного поля последних 4000 лет, записанные в лавах и пирокластике Северной группы вулканов Камчатки: новые данные // Физика Земли. 2017. № 5. С. 139–148.
- Мелекесцев И.В., Литасова С.Н., Сулержицкий Л.Д. О возрасте и масштабе катастрофических извержений типа направленного взрыва вулкана Авачинский (Камчатка) в позднем плейстоцене // Вулканология и сейсмология. 1991. № 2. С. 3–11.
- Мелекесцев И.В., Брайцева О.А., Двигало В.Н., Базанова Л.И. Исторические извержения Авачинского вулкана на Камчатке (попытка современной интерпретации и классификации для долгосрочного прогноза типов и параметров будущих извержений). Часть I (1737–1909 гг.) // Вулканология и сейсмология. 1993. № 6. С. 13–27.
- Мелекесцев И.В., Брайцева О.А., Двигало В.Н., Базанова Л.И. Исторические извержения Авачинского вулкана на Камчатке (попытка современной интерпретации и классификации для долгосрочного прогноза типов и параметров будущих извержений). Часть II (1926–1991 гг.) // Вулканология и сейсмология. 1994. № 2. С. 3–23.
- Нагата Т. Магнетизм горных пород. М.: Мир. 1965. 348 с.
- Сергеев С.А., Пушкарев Ю.Д., Лохов К.И., Сергеев Д.С. Обзор современных методов изотопной геохронологии (составная часть Геохронологического Атласа). СПб.: изд-во ВСЕГЕИ. 2015. 31 с.
- Постельс А. Путешествие вокруг света, совершенное на военном шлюпе “Сенявине” в 1826, 1827, 1828 и 1829 годах Флота Капитаном Федором Литке. Часть III. СПб. 1836. 274 с.
- Chadima M., Hrouda F. Remasoft 3.0: a user-friendly paleomagnetic data browser and analyzer //Travaux Geophysiques. 2006. V. XXVII. P. 20–21.
- Coe R.S. The determination of paleointensities of the Earth`s magnetic field with emphasis on mechanism which could cause nonideal behavior in Thellier’s method // J. Geomag., Geoelectr. 1967. V. 19. P. 157.
- Coe R. S., Grommé S., Mankinen E.A. Geomagnetic paleointensities from radiocarbon-dated lava flows on Hawaii and the question of the Pacific nondipole low // Journal of Geophysical Researc. 1978. V. 83. № B4. P. 1740–1756. https://doi.org/10.1029/JB083iB04p01740
- Day R., Fuller M., Schmidt V.A. Hysteresis Properties of Titanomagnetites: Grain Size and Composition Dependence // Physics of the Earth and Planetary Interiors. 1977. V. 13. P. 260–267. http://dx.doi.org/10.1016/0031-9201(77)90108-X
- Dunlop D. Theory and application of the Day plot (Mrs/Ms versus Hcr/Hc), 1. Theoretical curves and tests using titanomagnetite data // J. Geophys. Res. 2002. V. 107(B3). P. 2056. doi: 10.1029/2001JB000486.
- Fisher R.A. Dispersion on a Sphere // Proceedings of the Royal Society of London A. 1953. V. 217. № 1130. P. 295–305. doi: 10.1098/rspa.1953.0064
- Korte M., Constable C., Donadini F., Holme R. Reconstructing the Holocene geomagnetic field // Earth and Planetary Science Letters. 2011. V. 312. P. 497–505.
- Knudsen M.F., Riisager P., Donadini F., Snowball I., Muscheler R., Korhonen K., Pesonen L.J. Variations in the geomagnetic dipole moment during the Holocene and the past 50 kyr // Earth planet. Sci. Lett. 2008. V. 272. P. 319–329.
- Krasheninnikov S.P., Bazanova L.I,, Ponomareva V.V., Portnyagin M.V. Detailed tephrochronology and composition of major Lateglacial and Holocene eruptions from Avachinsky, Kozelsky, and Koryaksky volcanoes in Kamchatka // Journal of Volcanology and Geothermal Research. 2020. V. 408. P. 107088. https://doi.org/10.1016/j.jvolgeores.2020.107088
- Moskowitz B.M. Methods for estimating Curie temperatures of titanomaghemites from experimental Js-T data //Earth Planet. Sci. Lett. 1981. V. 53. P. 84–88. doi: 10.1016/0012-821X(81)90028-5
- Nilsson A., I. Snowball R. Muscheler, Uvo C.B. Holocene geocentric dipole tilt model constrained bysedimentary paleomagnetic data //Geochem. Geophys. Geosyst. 2010. V. 11. P. Q08018. doi: 10.1029/2010GC003118.
- Nilsson A., Holme R., Korte M., Suttie N., Hill M. Reconstructing Holocene geomagnetic field variation: new methods, models and implications // Geophys. J. Int. 2014. V. 198. P. 229–248. https://doi.org/10.1093/gji/ggu120
- Panovska S., Constable C. G., Korte M. Extending global continuous geomagnetic field reconstructions on timescales beyond human civilization // Geochemistry Geophysics Geosystems (G3). 2018. V. 19(12). P. 4757–4772. http://doi.org/10.1029/2018GC007966
- Prévôt M., Mankinen E.A., Coe R., Grommé C.S. The Steens Mountain (Oregon) geomagnetic polarity transition: 2. Field intensity variations and discussion of reversal models // Journal of Geophysical Research. 1985. V. 90. № B12. P. 10417–10448.
- Rikitake T. Electromagnetism and the Earth’s Interior. Amsterdam: Elsevier Pub. Co. 1966. Chap. 15. P. 221–230.
- Selkin P.A.,Tauxe L. Long-term variations in palaeointensity // Philos. Trans. R. Soc. London: Ser. A. 2000. V. 358. № 1768. P. 1065–1088. doi: 10.1098/rsta.2000.0574
- Thébault E., Finlay C.C., Beggan C.D. et al. International Geomagnetic Reference Field: the 12th generation // Earth. Planet. Sp. 2015. V. 67. № 79. https://doi.org/10.1186/s40623-015-0228-9
- https://wdc.kugi.kyoto-u.ac.jp/igrf/index.html
Supplementary files













