Geoelectric Interpretation of the Magnetic Monitoring Data in the Southwest Part of Baikal
- Authors: Orekhova D.A.1, Popova I.V.1, Korotaev S.M.1, Kruglyakov M.S.2, Budnev .M.3, Kiriakov V.K.1, Moskalev I.S.4
-
Affiliations:
- Schmidt Joint Institute of Physics of the Earth, Russian Academy of Sciences
- University of Otago, Department of Physics
- Irkutsk State University
- Institute of Solar and Terrestrial Physics
- Issue: No 5 (2023)
- Pages: 101-113
- Section: Articles
- URL: https://journals.rcsi.science/0002-3337/article/view/139044
- DOI: https://doi.org/10.31857/S0002333723050083
- EDN: https://elibrary.ru/VZRQMO
- ID: 139044
Cite item
Full Text
Abstract
Abstract—
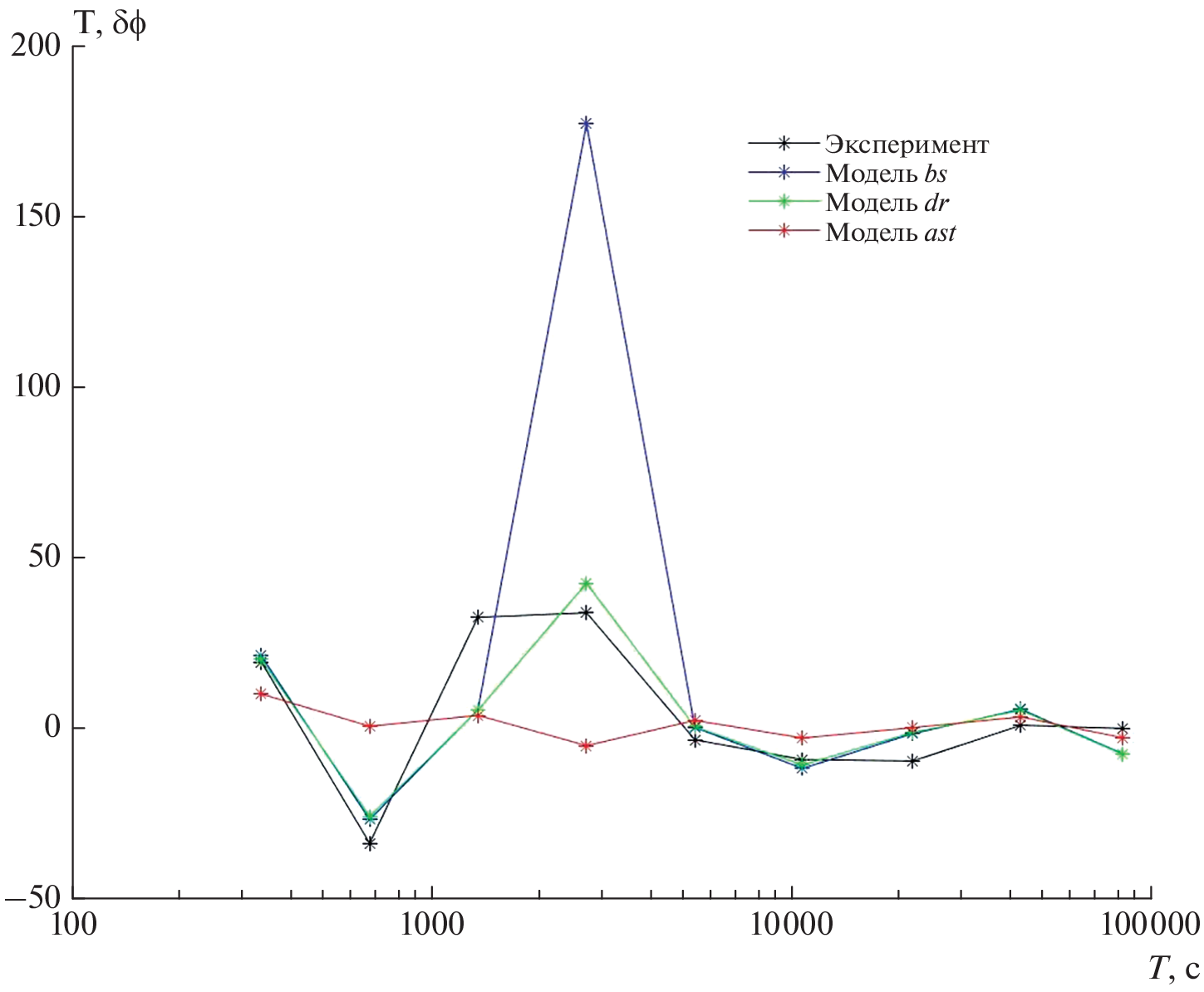
The long-term gradient magnetic measurements performed in the southwest part of Baikal as supplementing the experiment on deep-water monitoring of the electric field vertical component, can be applied to study the deep geoelectric section. Baikal cannot be approximated by a two-dimensional model in the region under study. Therefore, a three-dimensional geoelectric model of the lake and adjacent territories was constructed based on the existing geological and geophysical data. However, these data are insufficient for the region where our observations are carried out. Refinement of the section upper part over the magnetic field gradients on long bases has been performed using the neural network inversion method. Then, proceeding from the obtained basic model, alternative models were developed, which reflect the known hypotheses about the structure of the deep part of the Baikal rift section: mantle diapir and asthenospheric upwelling. The phase differences between the base-averaged field gradient and the field itself at the base point, as well as the phase differences on the ends of this base, as the most noise-proof gradient functions, are calculated for them. Based on the comparison of the experimental and model frequency curves, it is concluded that the mantle diapir fits best the experimental data, at least, in the southwest part of the Baikal rift zone.
About the authors
D. A. Orekhova
Schmidt Joint Institute of Physics of the Earth, Russian Academy of Sciences
Author for correspondence.
Email: ordaal@gmail.com
Russia, 123242, Moscow
I. V. Popova
Schmidt Joint Institute of Physics of the Earth, Russian Academy of Sciences
Author for correspondence.
Email: popov7376@mail.ru
Russia, 123242, Moscow
S. M. Korotaev
Schmidt Joint Institute of Physics of the Earth, Russian Academy of Sciences
Email: popov7376@mail.ru
Russia, 123242, Moscow
M. S. Kruglyakov
University of Otago, Department of Physics
Email: popov7376@mail.ru
New Zealand, Dunedin
N. M. Budnev
Irkutsk State University
Email: popov7376@mail.ru
Russia, 664003, Irkutsk
V. Kh. Kiriakov
Schmidt Joint Institute of Physics of the Earth, Russian Academy of Sciences
Email: popov7376@mail.ru
Russia, 123242, Moscow
I. S. Moskalev
Institute of Solar and Terrestrial Physics
Email: popov7376@mail.ru
Russia, 664033, Irkutsk
References
- Бердичевский М.Н, Ваньян Л.Л., Кошурников А.В. Магнитотеллурические зондирования в Байкальской рифтовой зоне // Физика Земли. 1999. № 10. С 3–25.
- Велихов Е.П., Григорьев В.Ф., Жданов М.С., Коротаев С.М., Кругляков М.С., Орехова Д.А., Попова И.В., Терещенко Е.Д., Щорс Ю.Г. Электромагнитное зондирование Кольского полуострова мощным крайне низкочастотным источниками // Докл. РАН. Геофизика. 2011. Т. 438. № 3. С. 390–395.
- Глинский Б.М., Дихтер И.Я., Зейгарник В.А. и др. Комплекс методических аппаратурных средств и результаты электромагнитных зондировании с мощным энергоисточником на Байкальском прогностическом полигоне // Докл. АН СССР. 1989. Т. 308. №1. С. 59–61.
- Грачёв А.Ф. Основные проблемы новейшей тектоники и геодинамики северной Евразии // Физика Земли. 1996. № 12. С. 5–36.
- Григорьев В.Ф., Коротаев С.М., Кругляков М.С., Орехова Д.А., Попова И.В., Терещенко Е.Д., Терещенко П.Е., Щорс Ю.Г. Результаты морского электромагнитного зондирования мощным удаленным источником в Кольском заливе Баренцева моря // Физика Земли. 2013. № 3. С. 75–86.
- Зорин Ю.А. Новейшая структура и изостазия Байкальской рифтовой зоны и сопредельных территорий. М.: Наука. 1971. 167 с.
- Коротаев С.М., Буднев Н.М., Сердюк В.О., Киктенко Е.О., Горохов Ю.В. Глубоководный электромагнитный мониторинг в Байкале – классический и неклассический аспекты // Вопросы естествознания. 2016. № 2. С. 41–53.
- Коротаев С.М., Буднев Н.М., Сердюк В.О., Киктенко Е.О., Орехова Д.А. Байкальский глубоководный мониторинг – новые результаты // Физика Земли. 2022. № 5. С. 116–127.
- Крылов С.В., Мандельбаум М.М., Мишенькин Б.П., Мишенькина З.Р., Петрик Г.В., Селезнев В.С. Недра Байкала (по сейсмическим данным). Новосибирск: Наука. 1981. 105 с.
- Логачев Н.А. Главные структурные черты и геодинамика Байкальской рифтовой зоны // Физическая мезомеханика. 1999. Т. 2. № 1–2. С. 163–170.
- Лунина О.В., Гладков А.С., Гладков А.А. Систематизация активных разломов для оценки сейсмической опасности // Тихоокеанская геология. 2012. Т. 31. С. 49–60.
- Мац В.Д., Уфимцев Г.Ф., Мандельбаум М.М. Кайнозой Байкальской рифтовой впадины. Строение и геологическая история. Новосибирск: изд-во СО РАН, филиал “Гео”. 2001. 252 с.
- Мороз Ю.Ф., Мороз Т.А. Глубинный геоэлектрический разрез Байкальского рифта // Вестник КРАУНЦ. Науки о Земле. 2012. № 2. Вып. 20. С. 114–126.
- Морозова Г. М., Манштейн А. К., Ельцов И. Н. Глубинные электромагнитные зондирования с контролируемым источником в Байкальской рифтовой зоне. Геофизические методы изучения земной коры. Новосибирск: Объед. Ин-т геологии, геофизики и минералогии. 1998. С. 57–62.
- Орехова Д.А., Кругляков М.С., Коротаев С.М., Буднев Н.М. Возможности выбора адекватной геоэлектрической модели Байкальского рифта по наблюдениям в районе эксперимента по глубоководному электромагнитному мониторингу // Актуальные проблемы науки Прибайкалья. 2017. Вып. 2. С. 150–159.
- Поспеева Е.В., Витте Л.В., Потапов В.В. Геологическое истолкование результатов магнитотеллурического зондирования в Юго–Восточной части Байкальской рифтовой зоны // Интерэкспо Гео–Сибирь. 2012. №2. P. 3–8.
- Поспеева Е.В., Потапов В.В., Витте Л.В. Магнитотеллурические зондирования в западно–забайкальском секторе Центрально–Азиатского складчатого пояса // Геология и геофизика. 2017. Т. 58. С. 157–175.
- Розен О.М., Манаков А.В., Зинчук Н.Н. Сибирский кратон: формирование, алмазоносность. М.: Научный мир. 2006. 212 с.
- Семинский К.Ж., Кожевников Н.О., Черемных А.В., Поспеева Е.В., Бобров А.А., Оленченко В.В., Тугарина М.А., Потапов В.В., Бурзунова Ю.П. Межблоковые зоны северо-западного плеча байкальского рифта: результаты геолого-геофизических исследований по профилю пос. Баяндай м. Крестовский // Геология и геофизика. 2012. Т. 53. С. 250–269.
- Терешкин С.А. Первые результаты интерпретации данных МТЗ, записанных станциями VEGA в Прибайкалье за период 2014–2017 гг. Всероссийская конф. Геонауки. Иркутск: ИГТУ. 2018. С. 20–25.
- Шимилевич М.И., Оборнев Е.А. Применение метода нейронных сетей для решения многопараметрических обратных задач магнитотеллурического зондирования аппроксимации обратных операторов в задачах электромагнитных зондирований // Изв. вузов. Геология и разведка. 1999. Т. 2. С. 102–106.
- Шкиря М.С., Терёшкин С.А., Давыденко Ю.А., Петрищев М.С. Применение комплекса электромагнитных зондирований изучения электропроводности донных отложений озера Байкал. Всероссийская конф. ГеоБайкал. Иркутск: ИГТУ. 2018. С. 11–16.
- Эпов М.И., Поспеева Е.В., Витте Л.В. Особенности состава и строения земной коры краевой части сибирского кратона (в зоне влияния рифтогенных процессов) по данным магнитотеллурических зондирований // Геология и геофизика. 2012. Т. 53. С. 380–398.
- Gao S.P., Davis M., Liu H., Slack P., Zorin Y.A., Logatchev N.A., Kogan M., Burkholder P., Meyer R.P. Asymmetric upwarp of the asthenosphere beneath the Baikal rift zone, Siberia // J. Geophys. Res. 1994. V. 99. P. 15319–15330.
- Korotaev S.M., Budnev N.M., Serdyuk V.O., Orekhova D.A., Kruglyakov M.S., Kiktenko E.O., Mirgazov R.R., Zurbanov V.L., Gorohov J.V., Ryabov E.V. Baikal electromagnetic experiment // Atmospheric and Oceanic Physics. 2018. V. 54. № 11. P. 1569–1594.
- Kruglyakov M, Kuvshinov A. Using high-order polynomial basis in 3-D EM forward modelling based on volume integral equation method // Geophysical J. International. 2018. V. 213. P. 1387–1401.
- Mackie R.I., Madden T.R. Three-dimensional magnetotelluric inversion using conjugate gradients // J.Geophys. 1993. V. 115. P. 215–229.
- Pospeev A.V. The velocity structure of the upper mantle and regional deep thermodynamics of the Baikal rift zone // Geodynamics & Tectonophysics. 2012. V. 3. № 4. P. 377–383.
- Rumelhart D., McClelland J., the PDP Research Group. Parallel Distributed Processing Cambridge: MIT Press. 1988. P. 547.
- Spichak V., Popova I. Artificial neural network inversion of magnetotelluric data in terms of three-dimensional earth macroparameters // Geophys. J. Int. 2000. V. 142. P. 15–26.
- Zhdanov M., Tartaras E. Inversion of multi-transmitter 3-D electromagnetic data based on the localized quasi-linear approximation // Geophys. J. 2002. V. 148. P. 506–519.
Supplementary files










