The Khubsugul Earthquake of January 12, 2021, ML = 6.9, in the Seismicity Structure of the Tuva-Mongolian Block
- Authors: Emanov A.F.1, Emanov A.A.1,2, Chechel’nitskii V.V.3, Shevkunova E.V.1, Fateev A.V.1,2, Kobeleva E.A.3, Arapov V.V.1, Frolov M.V.1
-
Affiliations:
- Altai–Sayan Branch, Federal Research Center Unified Geophysical Service, Russian Academy of Sciences
- Trofimuk Institute of Petroleum-Gas Geology and Geophysics, Siberian Branch, Russian Academy of Sciences
- Baikal Branch, Federal Research Center Unified Geophysical Service, Russian Academy of Sciences
- Issue: No 5 (2023)
- Pages: 79-95
- Section: Articles
- URL: https://journals.rcsi.science/0002-3337/article/view/139042
- DOI: https://doi.org/10.31857/S0002333723050034
- EDN: https://elibrary.ru/VZHSYQ
- ID: 139042
Cite item
Full Text
Abstract
Abstract
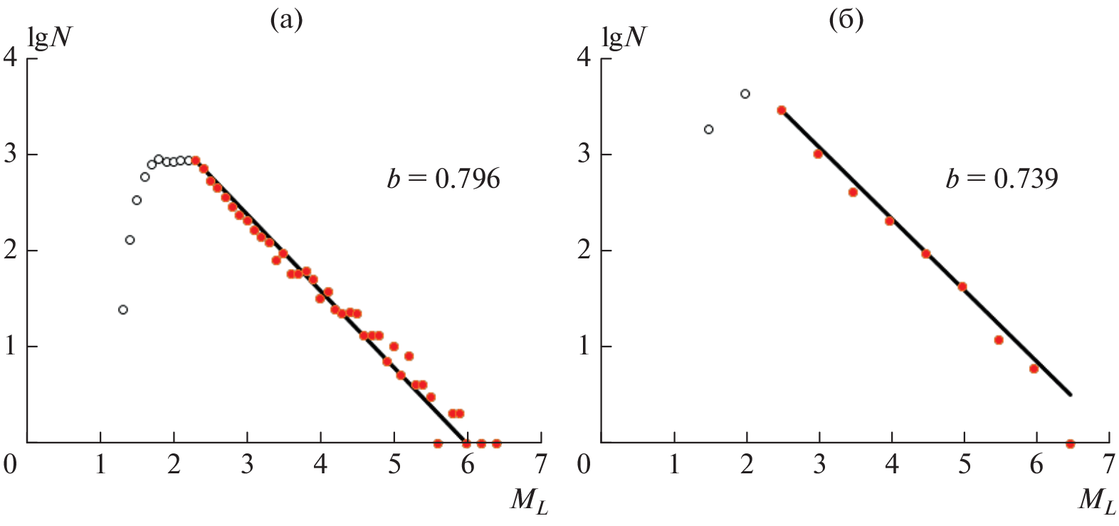
—The paper presents the studies of the Khuvsgul earthquake on January 11, 2021 at 21:32 UTC (January 12, 2021 at 05:32 local time), MW = 6.7, ML = 6.9, and the seismicity structure in the aftershock period for the Altai-Sayan mountain region and the Baikal rift zone, where the epicenter of this earthquake was located. Two faults are seismically activated, diverging from the southern end of the aftershock area at an acute angle: one in the northeast and one in the northwest direction, as well as transverse faults between them. According to the epicenter position and studies of the source area by other authors, the main event corresponds to the northeastern fault, and large aftershocks occurred at the junction of the northwestern fault with transverse faults feathering from the east. The main event was immediately followed by a series of large aftershocks, the strongest of which occurred on March 31, 2021 with ML = 6.2 and on May 3, 2021 with ML = 6.4. Spatial changes in the seismic regime of the aftershock region led to the predominant activity of its southern end. The junction area of the collisional structures of the Altai-Sayan folded zone and the rift structures of the Baikal depressions system is distinguished in seismicity as a block structure with increased seismicity near the block boundaries. First of all, these are the Tuva-Mongolian block and the eastern part of the Sayano-Tuva block. After the Khuvsgul earthquake of 2021, a block structure with the activation of the epicentral zones of the 1991 Busingol earthquake, the 2011–2012 Tuva earthquakes, and other structures seismically active until 2021 has increased seismic activity. It is proved that the 2014 Khubsgul earthquake occurred under the basin of the same name and is associated with other faults than the 2021 earthquake and is not a direct precursor of the 2021–2022 activation.
About the authors
A. F. Emanov
Altai–Sayan Branch, Federal Research Center Unified Geophysical Service, Russian Academy of Sciences
Author for correspondence.
Email: emanov@gs.nck.ru
Russia, 630090, Novosibirsk
A. A. Emanov
Altai–Sayan Branch, Federal Research Center Unified Geophysical Service, Russian Academy of Sciences; Trofimuk Institute of Petroleum-Gas Geology and Geophysics, Siberian Branch, Russian Academy of Sciences
Email: emanov@gs.nck.ru
Russia, 630090, Novosibirsk; Russia, 630090, Novosibirsk
V. V. Chechel’nitskii
Baikal Branch, Federal Research Center Unified Geophysical Service, Russian Academy of Sciences
Email: emanov@gs.nck.ru
Russia, 664033, Irkutsk
E. V. Shevkunova
Altai–Sayan Branch, Federal Research Center Unified Geophysical Service, Russian Academy of Sciences
Email: emanov@gs.nck.ru
Russia, 630090, Novosibirsk
A. V. Fateev
Altai–Sayan Branch, Federal Research Center Unified Geophysical Service, Russian Academy of Sciences; Trofimuk Institute of Petroleum-Gas Geology and Geophysics, Siberian Branch, Russian Academy of Sciences
Email: emanov@gs.nck.ru
Russia, 630090, Novosibirsk; Russia, 630090, Novosibirsk
E. A. Kobeleva
Baikal Branch, Federal Research Center Unified Geophysical Service, Russian Academy of Sciences
Email: emanov@gs.nck.ru
Russia, 664033, Irkutsk
V. V. Arapov
Altai–Sayan Branch, Federal Research Center Unified Geophysical Service, Russian Academy of Sciences
Email: emanov@gs.nck.ru
Russia, 630090, Novosibirsk
M. V. Frolov
Altai–Sayan Branch, Federal Research Center Unified Geophysical Service, Russian Academy of Sciences
Email: emanov@gs.nck.ru
Russia, 630090, Novosibirsk
References
- Адьяа М. Об афтершоках Бусийнгольского землетрясения. Исслед. по поискам предвестников землетрясений в Сибири. Новосибирск: Наука. 1988. С. 115–117.
- Актуальные вопросы современной геодинамики Центральной Азии / Леви К.Г., Шерман С.И. (ред.). Новосибирск: изд-во СО РАН. 2005. 297 с.
- Бачманов Д.М., Кожурин А.И., Трифонов В.Г. База данных активных разломов Евразии // Геодинамика и тектонофизика. 2017. Т. 8. № 4. С. 711–736.
- Беличенко В.Г. Палеотектоническое районирование палеозоид юго-восточной части Восточного Саяна, Западного Хамар-Дабана и Прихубсугулья // Геология и геофизика. 1985. № 5. С. 11–20.
- Беличенко В.Г., Боос Р.Г. Боксон-Хубсугул-Дзабханский палеомикроконтинент в структуре Центрально-Азиатских палеозоид // Геология и геофизика. 1988. № 12. С. 20–28.
- Васильев В.П., Беличенко В.Г., Резницкий Л.З. Соотношение древней и кайнозойской структур на юго-западном фланге Байкальской рифтовой зоны // Докл. РАН. 1997. Т. 353. С. 785.
- Демонтерова Е.И., Иванов А.В., Резницкий Л.З., Беличенко В.Г., Хунг Ц.Х., Чунг С.Л., Иизука Й., Ванг К.Л. История формирования Тувино-Монгольского массива по данным UPB- датирования методом LA-IPS-MS детритовых цирконов из песчаника дархатской серии (Западное Прихубсугулье, Северная Монголия) // Докл. РАН. 2011. Т. 441. С. 358–362.
- Демьянович В.М., Ключевский А.В., Черных Е.Н. Напряженно-деформированное состояние и сейсмичность в зоне Белино-Бусийнгольского разлома (Южное Прибайкалье) // Вулканология и сейсмология. 2008. № 1. С. 46–61.
- Джурик В.И., Ключевский А.В., Серебренников С.П., Демьянович В.М., Батсайхан Ц., Баяраа Г. Сейсмичность и районирование сейсмической опасности территории Монголии. Иркутск: ИЗК СО РАН. 2009. 420 с.
- Добрынина А.А., Саньков В.А., Чечельницкий В.В., Цыдыпова Л.Р., Герман В.И. Сейсмоакустические эффекты Хубсугульского землетрясения 5 декабря 2014 г. с = 4.9 // Докл. РАН. 2017. Т. 477. С. 711–715.
- Еманов А.Ф., Еманов А.А., Филина А.Г., Лескова Е.В. Пространственно-временные особенности сейсмичности Алтае-Саянской горной области // Физическая мезомеханика. 2005. Т. 8. № 1. С. 49–64.
- Еманов А.Ф., Еманов А.А., Филина А.Г., Лескова Е.В., Колесников Ю.И., Рудаков А.Д. Общее и индивидуальное в развитии афтершоковых процессов крупнейших землетрясений Алтае-Саянской горной области // Физическая мезомеханика. 2006. Т. 9. № 1. С. 33–44.
- Еманов А.Ф., Еманов А.А., Лескова Е.В. Сейсмические активизации в Белино-Бусингольской зоне // Физическая мезомеханика. 2010. Т. 13. № Спец. выпуск. С. 72–77.
- Еманов А.Ф., Лескова Е.В., Еманов А.А., Радзиминович Я.Б., Гилёва Н.А., Артёмова А.И. Белин-Бий-Хемское землетрясение 16 августа 2008 г. с КР = 15, МW = 5.7, I0 = 7 (Республика Тыва). Землетрясения Северной Евразии. 2008год. Обнинск. 2014а. С.378-385.
- Еманов А.Ф., Еманов А.А., Лескова Е.В., Селезнёв В.С., Фатеев А.В. Тувинские землетрясения 27.12.2011 г., МL = 6.7 и 26.02.2012 г., МL = 6.8 и их афтершоки // Докл. РАН. 2014б. Т. 456. № 2. С. 223–226.
- Еманов А.Ф., Еманов А.А., Фатеев А.В., Соловьёв В.М., Шевкунова Е.В., Гладышев Е.А., Антонов И.А., Корабельщиков Д.Г., Подкорытова В.Г., Янкайтис В.В., Елагин С.А., Серёжников Н.А., Дураченко А.В., Артёмова А.И. Сейсмологические исследования в Алтае-Саянской горной области // Российский сейсмологический журнал. 2021. Т. 3. № 2. С. 20–51.
- Еманов А.Ф., Еманов А.А., Чечельницкий В.В., Шевкунова Е.В., Радзиминович Я.Б., Фатеев А.В., Кобелева Е.А., Гладышев Е.А., Арапов В.В., Артёмова А.И., Подкорытова В.Г. Хубсугульское землетрясение, 12.01.2021г. = 6.7, = 6.9 и афтершоки начального периода // Физика Земли. 2022. № 1. С. 67–82.
- Зорин Ю.А., Беличенко В.Г., Турутанов Е.Х., Кожевников В.М., Скляров Е.В., Тумуртогоо О., Хозбаяр П., Арвисбаатар Н., Бямба Ч. Террейны Восточной Монголии и Центрального Забайкалья и развитие Монголо-Охотского складчатого пояса // Геология и геофизика. 1998. Т. 39. № 1. С. 11–25.
- Ильин А.В. Хубсугульский фосфоритоносный бассейн // Тр. Совместной Сов. Монгол. экспедиции. Т. 6. 1973. 167 с.
- Ключевский А.В., Демьянович В.М., Баяр Г. Оценка рекуррентных интервалов и вероятности сильных землетрясений в Байкальском регионе и Монголии // Геология и геофизика. 2005. Т.46. № 7. С.746-762.
- Кочарян Г.Г. Геомеханика разломов. М: ГЕОС, 2016. 424 с.
- Кочетков В.М., Хилько С.Д., Зорин Ю.А., Ружич В.В., Турутанов Е.Х., Арвисбаагар Н., Баясгалан., Кожевников В.М., Эрдэнбелэг Б., Чипизубов А.В., Монхоо Д., Аниканова Г.А., Ключевский А.В., Найдич В.И., Баяр Г., Боровик Н.С., Гилёва Н.А., Адьяа М., Балжинням И., Джурик В.И., Потапов В.А., Юшкин В.И., Дугармаа Т., Цэмбэл Л. Сейсмотектоника и сейсмичность Прихубсугулья. Новосибирск: Наука 1993. 182 с.
- Кузьмичёв А.Б. Тектоническая история Тувино-Монгольского массива: раннебайкальский, позднебайкальский и раннекаледонский этапы. М: ИЛСАН. 2004. 182 с.
- Леви К.Г., Шерман С.И., Саньков В.А. Современная геодинамика Азии: карта, принципы составления, геодинамический анализ // Геотектоника. 2009. № 2. С. 78–93.
- Логачёв Н.А. Главные структурные черты и геодинамика Байкальской рифтовой зоны // Физическая мезомеханика. 1999. Т. 2. № 1–2. С. 163–170.
- Логачёв Н.А. Об историческом ядре Байкальской рифтовой зоны // Докл. РАН. 2001. Т. 376. № 4. С. 510–513.
- Лухнев А.В., Лухнева О.Ф., Саньков В.А., Мирошниченко А.И. Косейсмические эффекты Хубсугульского землетрясения в Монголии 11 января 2021 г. // Геодинамика и тектонофизика. 2022. № 13(2). URL: https://doi.org/10.5800/GT-2022-13-2s-0626
- Мельникова В. И., Гилёва Н.А., Серёдкина А.И., Радзиминович Я.Б. Сильные землетрясения Юго-Западного фланга Байкальского рифта в 2014 г.: Урикское 1 ноября с = 13.6, = 4.6, = 7–8 и Хубсугульское 5 декабря с = 13.9, = 4.9, = 7–8 // Землетрясения Северной Евразии. 2020. № 23. С. 350–363.
- Мишарина Л.А., Мельникова В.И., Балжинням И. Юго-Западная граница Байкальской рифтовой зоны по данным о механизме очагов землетрясений // Вулканология и сейсмология. 1983. № 2. С. 74–83.
- Молнар П., Курушин Р.А., Кочетков В.М., Демьянович М.Г., Борисов В.А., Ващилов Ю.Я. Деформация и разрывообразование при сильных землетрясениях в Монголо-Сибирском регионе. Глубинное строение и геодинамика Монголо-Сибирского региона / Н.А. Логачев, В.М.Кочетков, Ю.А.Зорин (ред.).Новосибирск: Наука. 1995. С. 5‒55.
- Опарин Н.В., Сашурин А.Д., Кулаков Г.И., Леонтьев А.В., Назаров Л.А., Назарова Л.А., Тапсиев А.П., Хачай О.А., Хачай О.Ю., Еманов А.Ф.,Еманов А.А., Лескова Е.В., Колесников Ю.И., Немирович-Данченко М.М., Востриков В.И., Юшкин В.Ф., Яковицкая Г.Е., Акинин А.А., Кю Н.Г., Панжин А.А., Дядьков П.Г., Кучай О.А., Кесельман С.И., Борисов В.Д. Современная геодинамика массива горных пород верхней части литосферы: истоки, параметры, воздействие на объекты недропользования. Новосибирск: изд-во СО РАН. 2008. 449 с.
- Парфеевец А.В., Саньков В.А. Напряжённое состояние земной коры и геодинамика юго-западной части Байкальской рифтовой зоны/ Леви К.Г. (отв. ред.) Новосибирск: изд-во ГЕО. 2006. 151 с.
- Саньков В.А., Мирошниченко А.И., Парфеевец А.В., Аржанникова А.В. Новые данные о позднекайнозойских полях тектонических напряжений Прихубсугулья (Монголия) // Докл. РАН. 2003. Т. 388. № 4. С. 526–529.
- Саньков В.А., Лухнев А.В., Мирошниченко А.И., Леви К.Г., Ашурков С.В., Башкуев Ю.Б., Дембелов М.Г., Кале Э., Девершер Ж., Верноль М., Бехтур Б., Амаржаргал Ш. Современные движения земной коры Монголо-Сибирского региона по данным GPS- геодезии // Докл. РАН. 2003. Т. 392. № 6. С. 792–795.
- Сорокин А.Г., Ключевский А.В. Инфразвуковые сигналы от землетрясения 5 декабря 2014 г. в акватории озера Хубсугул (Северная Монголия) // Докл. РАН. 2019. Т. 484. № 5. С. 610–614.
- Тимошкина Е.П., Михайлов В.О., Смирнов В.Б., Волкова М.С., Хайретдинов С.А. Модель поверхности разрыва Хубсугульского землетрясения 12.01.2021 по данным спутниковой РСА интерферометрии // Физика Земли. 2022. № 1. С. 83–89.
- Уфимцев Г.Ф. Малые впадины в Байкальской рифтовой зоне // География и природные ресурсы. 2013. № 4. С. 28–36.
- Хилько С.Д., Курушин Р.А., Кочетков В.М., Мишарина Л.А., Мельникова В.И., Гилева Н.А., Ласточкин С.В., Балжинням И., Монхоо Д. Землетрясения и основы сейсмического районирования Монголии. Тр. совместной советско-монгольской научно-иссл. геол. экспедиции. М.: Наука. 1985. Вып. 41. 224 с.
- Шебалин П.Н. Афтершоки как индикаторы напряженного состояния в системе разломов // Докл. РАН. 2004. Т. 398. № 2. С. 249–254.
- Шебалин П.Н., Баранов С.В., Дзебоев Б.А. Закон повторяемости количества афтершоков // Докл. РАН. 2018. Т. 481. № 3. С. 320–323.
- Шерман С.И. Избранные труды: тектонофизика разломообразования и сопутствующих процессов в литосфере. Иркутск: Институт земной коры СО РАН. 2017. 1476 с.
- Школьник С.И., Беличенко В.Г., Резницкий Л.З., Бараш И.Г. Фрагменты зоны задугового палеоспретинга в Тункинском террейне // Докл. РАН. 2011. Т. 436. № 1. С. 109–113.
- Meltzer A., Stachnik J.C., Sodnomsambuu D., Munkhuu U., Tsagaan B., Dashdondog M., Russo R. The Central Mongolia Seismic Experiment: Multiple Applications of Temporary Broadband Seismic Arrays // Seismological Research Letters. 2019. V. 90(3). P. 1364–1376. URL: https://doi.org/10.1785/0220180360
- Battogtokh D., Bayasgalan A., Wang K., Ganzorig D., Bayaraa J. The 2021 Mw 6.7 Khankh earthquake in the Khuvsgul rift, Mongolia // Mongolian Geoscientist. 2021. V. 26(52). P. 46–61. https://doi.org/10.5564/mgs.v26i52.1361
Supplementary files


















