Latitudinal Variations of the Geomagnetic Field
- Authors: Reshetnyak M.Y.1,2
-
Affiliations:
- Schmidt Institute of Physics of the Earth, Russian Academy of Sciences
- Pushkov Institute of Terrestrial Magnetism, Ionosphere and Radio Wave Propagation, Russian Academy of Sciences
- Issue: No 2 (2023)
- Pages: 15-19
- Section: Articles
- URL: https://journals.rcsi.science/0002-3337/article/view/138996
- DOI: https://doi.org/10.31857/S0002333723020102
- EDN: https://elibrary.ru/LIIBQH
- ID: 138996
Cite item
Full Text
Abstract
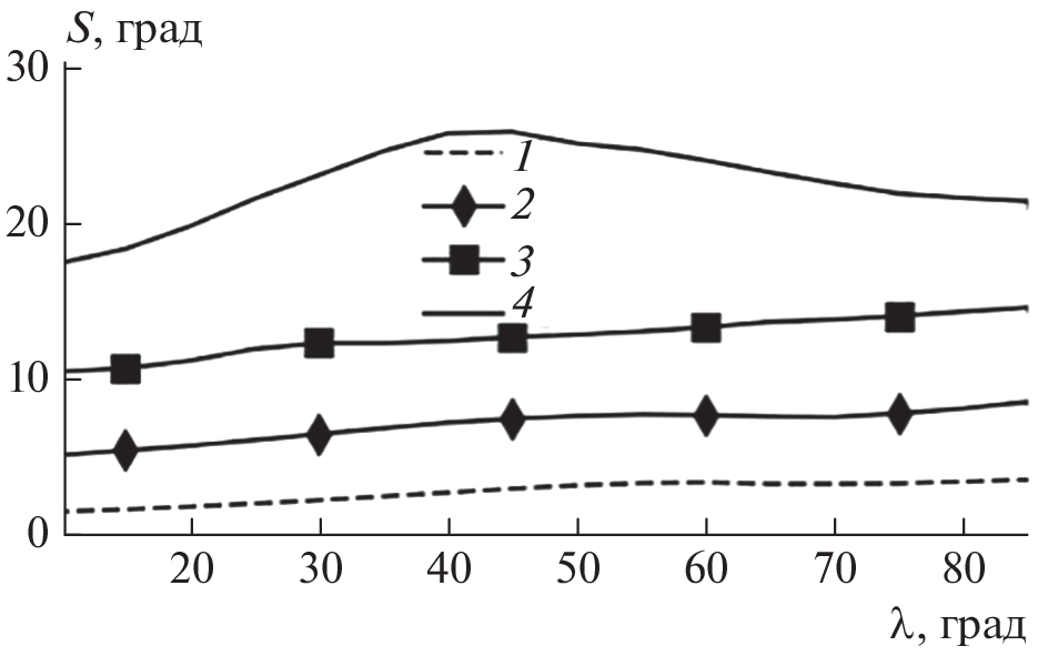
The model of variations in the Earth’s magnetic field with random Gaussian coefficients is considered. It is shown that at small amplitudes of random nondipole field component σ, the scatter of the direction of the virtual geomagnetic pole grows with increasing latitude. At large σ, the scatter does not change much and its maximum is located at middle latitudes.
Keywords
About the authors
M. Yu. Reshetnyak
Schmidt Institute of Physics of the Earth, Russian Academy of Sciences; Pushkov Institute of Terrestrial Magnetism, Ionosphere and Radio Wave Propagation, Russian Academy of Sciences
Author for correspondence.
Email: m.reshetnyak@gmail.com
123242 Russia, Moscow; 108840 Russia, Troitsk, Moscow
References
- Бураков К.С., Галягин Д.К., Начасова И.Е., Решетняк М.Ю., Соколов Д.Д., Фрик П.Г. Вейвлет анализ напряженности геомагнитного поля за последние 4000 лет // Физика Земли. 1988. № 9. С. 83–88.
- Петрова Г.Н., Решетняк М.Ю. О временном спектре поля вековой геомагнитной вариации и его источников // Физика Земли. 1999. № 6. С. 53–60.
- Решетняк М.Ю. Эволюция крупномасштабного геомагнитного поля за последние 12 тысяч лет // Геомагнетизм и Аэрономия. 2020. Т. 60. № 1. С. 126–136.
- Хохлов А.В. Моделирование вековых геомагнитных вариаций. Принципы и реализация // Геофизические исследования. 2012. Т.13. № 2. С. 50–61.
- Baag C.G., Helsley C. Geomagnetic secular variation model E // J. Geophys. Res. 1974. V. 79. № 32. P. 4918–4922.
- Biggin A.J., van Hinsbergen D.J., Langereis C.G., Straathof G.B., Deenen M.H. Geomagnetic secular variation in the cretaceous normal superchron and in the Jurassic // Phys. Earth Planet. Int. 2008. V. 169. P. 3–19.
- Christensen U.R., Tilgner A. Power requirement of the geodynamo from ohmic losses in numerical and laboratory dynamos // Nature. 2004. V. 429. № 6988. P. 169.
- Cox A. Latitude dependence of the angular dispersion of the geomagnetic field // Geophys. J. Int. 1970. V. 20. P. 253–269.
- Hulot G., Mouël J. Le. A statistical approach to the earth’s main magnetic field // Phys. Earth Planet. Int. 1994. V. 82. № 3–4. P. 167–183.
- Hulot G., Gallet Y. On the interpretation of virtual geomagnetic pole (VGP) scatter curves // Phys. Earth Planet. Int. 1996. V. 95. № 3–4. P. 37–53.
- Irving E., Ward M.A. A statistical model of the geomagnetic field // Pure Appl. Geophys. 1964. V. 57. № 1. P. 47–52.
- Johnson C., McFadden P. Time-averaged field and paleosecular variation. In Treatise on Geophysics. 2007. V. 5. P. 417–453.
- Korte M., Constable C., Donadini F., Holme R. Reconstructing the holocene geomagnetic field // Earth Planet. Sci. Lett. 2011. V. 312. № 3. P. 497–505.
- Lowes F.J. Spatial power spectrum of the main geomagnetic field // Geopys. J. R. Astr. Soc. 1974. V. 36. P. 717–725.
- McFadden P., Merrill R., McElhinny M., Lee S. Reversals of the Earth’s magnetic field and temporal variations of the dynamo families // J. Geophys. Res. Solid Earth. 1991. V. 96. № B3. P. 3923–3933.
Supplementary files





