On the effect of the specific heat release of a mixture of radionuclides on the relative mass transported in the “self-delivery” of spent nuclear fuel mode during space burial
- Authors: Onufriev A.V.1, Onufriev V.V.1, Perevezentsev V.V.1, Dmitriev S.N.1
-
Affiliations:
- Bauman Moscow State Technical University (National Research University)
- Issue: No 3 (2024)
- Pages: 110-124
- Section: Articles
- URL: https://journals.rcsi.science/0002-3310/article/view/269780
- DOI: https://doi.org/10.31857/S0002331024030077
- ID: 269780
Cite item
Full Text
Abstract
The issues of disposal of radioactive waste (RW) are currently one of the serious environmental challenges. One of the ways of disposal can be the space burial of radioactive waste, which reduces the pollution of the Earth. The paper considers the issues of transportation of radioactive waste, representing a mixture of isotopes of spent nuclear fuel (SNF), estimates of the mass-energy costs of SNF transportation using electric rocket engines (ERD). A variant is considered in which the transported mixture of SNF isotopes is both a payload and an energy source – “self-delivery”. The relations for calculating the relative mass of the transported SNF at various parameters are obtained.
Full Text
ВВЕДЕНИЕ
За все время работы ядерных реакторов было произведено 370 тыс. т отработавшего ядерного топлива [1]. Большую часть из этой массы отходов можно использовать повторно, однако до сих пор отсутствует простое решение проблемы изоляции или переработки особо опасных РАО. Актиниды 241Am, 244Cm, 237Np, 94Tc и другие долгоживущие продукты деления, 129J способны проникать через среды захоронения, активно воздействовать на человека через воду и пищу, имеют большой период полураспада и значительное удельное тепловыделение [2]. По оценкам [3] общая масса таких РАО в мире не превышает 200 т, а их ежегодный прирост составляет до 20 т. При таких масштабах актуален вопрос о возможности эффективного космического захоронения данных отходов.
ХАРАКТЕРИСТИКИ РАДИОНУКЛИДОВ ОТРАБОТАННОГО ЯДЕРНОГО ТОПЛИВА
Радиоактивные отходы классифицируются по агрегатному состоянию, уровню активности и физико-химическому состоянию [4]. По агрегатному состоянию РАО разделяют на жидкие, твердые и газообразные. По уровню активности жидкие радиоактивные отходы разделяют на высокоактивные, среднеактивные и низкоактивные. Твердые радиоактивные отходы разделяют на отходы 1-й группы (слабоактивные), 2-й группы (среднеактивные) и 3-й группы (высокоактивные) [4]. Выделяют РАО, захоронение которых не несет опасности для окружающей среды и человека, и особо опасные РАО – захоронение которых влечет риски, связанные с радиационным заражением и высокие затраты, связанные с захоронением. В табл. 1 и 2 представлена классификация РАО по уровню активности.
Таблица 1. Классификация жидких РАО по уровню активности [4]
Отходы | Удельная активность, Бк/л (Ки/л) |
Низкоактивные | Менее 3.7∙105 (менее 10-5) |
Среднеактивные | 3.7∙105– 3.7∙1010 (10-5– 1) |
высокоактивные | Более 3.7∙1010 (более 1) |
Таблица 2. Классификация твердых РАО по уровню активности [4]
Группа | Мощность дозы гамма-излучения в 10 см от поверхности, мЗв/ч (мбэр/ч) | Удельная β-активность, Бк/кг (Ки/кг) | Удельная α-активность, Бк/кг (Ки/кг) | Поверхностное загрязнение, частиц/(см2∙мин) | |
α частицами | β частицами | ||||
1 | 1.3∙10-3–0.3 (0.13–30) | 7.4∙104– –3.7∙106 (2∙10-6–10-4) | 7.4∙103– –3.7∙105 (2∙10-7–10-5) | 5∙102–104 | 5∙10–103 |
2 | 0.3–10 (30–1000) | 3.7∙106– –3.7∙109 (10-4–10-1) | 3.7∙105– –3.7∙108 (2∙10-5–10-2) | 104–107 | 103–106 |
3 | Более 10 (более 103) | Более 3.7∙109 (более 10-1) | Более 3.7∙108 (более 10-2) | Более 107 | Более 106 |
Радиоактивные отходы, образующиеся на атомной электростанции (АЭС) в период ее эксплуатации, относятся в основном к низкоактивным РАО и содержат радионуклиды с периодом полураспада менее 30 лет. Высокоактивные радионуклиды АЭС составляют менее 1% от всех РАО [4].
Радиологическая опасность и, следовательно, время контролируемого хранения для различных РАО определяется степенью их активности и представлено в табл. 3.
Таблица 3. Время контролируемого захоронения различных классов РАО [4]
Уровень активности РАО | Время хранения, лет |
Низкий и средний | До 300 |
Высокий | До 1000 |
РАО, содержащие трансурановые элементы | Более 1000 |
Таким образом основная проблема в утилизации РАО приходиться на малую долю всех РАО, произведенных АЭС, что дает возможность рассматривать удаления высокоактивных РАО с большим периодом полураспада в космическое пространство.
СОСТАВ И ХАРАКТЕРИСТИКИ РАДИОНУКЛИДОВ ОТРАБОТАННОГО ЯДЕРНОГО ТОПЛИВА
Состав ОЯТ различных реакторов несколько различается и зависит от степени выгорания топлива. Рассмотрим состав ОЯТ типичного реактора типа ВВЭР электрической мощностью 1000 МВт. В таком реакторе при использовании уранового топлива ежегодно образуется 21 т ОЯТ объемом 11 м3, что составляет 1/3 часть от общей топливной загрузки [3]. В табл. 4 приведено массовое содержание различных элементов в 1 т ОЯТ сразу после извлечения из реактора.
Таблица 4. Массовый состав 1 т ОЯТ реактора [3]
Изотоп | 235U+238U | Pu | 137Cs | 90Tc | 90Sr | 129I |
Масса, кг | 950–980 | 5–10 | 1.2–1.5 | 0.8 | 0.5 | 0.2 |
Изотоп | 241Am+243Am | 237Np | 151Sm | 242Cm+244Cm | ||
Масса, кг | 0.1–0.4 | 0.5 | 1.0∙10-2 | 0.6 |
Тепловыделение ОЯТ падает примерно в 100 раз после выгрузки из реактора и определяется в основном продуктами деления. В табл. 5 представлены сравнительно короткоживущие радионуклиды.
Таблица 5. Короткоживущие продукты деления в ОЯТ [4]
Нуклид | Т1/2 | Нуклид | Т1/2 |
85Kr | 10.8 лет | 137mBa | 156 сут. |
90Sr | 29.0 лет | 144Ce | 284.9 сут. |
90Y | 2.6 сут. | 144Pr | 17.3 мин. |
106Ru | 371.8 сут. | 147Pm | 2.6 лет |
106Rh | 30.1 сек. | 154Eu | 8.8 лет |
134Cs | 2.3 лет | 155Eu | 4.8 лет |
137Cs | 26.6 лет |
В ОЯТ содержатся долгоживущие продукты деления, которые могут представлять опасность из-за своей большей, чем у актинидов мобильности (способности проникать в другие среды, типичный критерий мобильности – растворимость). В табл. 6 представлены долгоживущие продукты деления в ОЯТ.
Таблица 6. Долгоживущие продукты деления [4]
Нуклид | 79Se | 99Tc | 93Zr | 126Sn | 129I | 135Cs |
Т1/2, лет | 3.0·105 | 2.11·105 | 1.5·106 | 2.3·105 | 1.6·107 | 2.3·106 |
К актиноидам относятся долгоживущие и относительно долгоживущие изотопы нептуния (237Np), америция (241Am, 243Am) и кюрия (244Cm, 245Cm). В табл. 7 приведен период полураспада долгоживущих минорных актиноидов и изотопов плутония, образующихся в ОЯТ.
Таблица 7. Минорные актиноиды
Изотоп | 237Np | 241Am | 243Am | 242mAm | 242Cm |
T1/2, лет | 2.1·106 | 4.3·102 | 7.4·103 | 1.5·102 | 163 (суток) |
Изотоп | 244Cm | 245Cm | 238Pu | 241Pu | |
T1/2, лет | 18.1 | 8.5·103 | 87.7 | 14.4 |
УДЕЛЬНОЕ ТЕПЛОВЫДЕЛЕНИЕ ПРОДУКТОВ ДЕЛЕНИЯ ОТРАБОТАННОГО ЯДЕРНОГО ТОПЛИВА
Представляют интерес (с точки зрения космического захоронения) радионуклиды, период полураспада которых превышает 1 год (за исключением 242Cm, который непрерывно генерируется в результате распада долгоживущего 242mAm).
В табл. 8 представлены тепловые характеристики продуктов деления и минорных актиноидов.
Таблица 8. Тепловые характеристики продуктов деления ОЯТ [4]
Изотопы америция 241Am, 241Am и изотопы кюрия 242Cm, 244Cm и 245Cm нарабатываются из изотопа урана 238U. К долгоживущим изотопам америция, нарабатываемым в значимых количествах в реакторах на тепловых нейтронах, относятся изотопы 241Аm и 243Am. Изотоп 242Аm нарабатывается в существенно меньших количествах, однако его содержание в америции, выделяемом из ОЯТ, может оказывать значительное влияние на характеристики нейтронного излучения материала. В ОЯТ 241Am является доминирующим изотопом и является основным источником гамма-активности и радиотоксичности ОЯТ. Кюрий вносит значительный вклад в гамма-активность, нейтронное излучение и радиотоксичность. Кюрий плохо подходит для трансмутации, поскольку сечения деления и захвата основных изотопов (242Cm и 244Cm) довольно малы.
ИССЛЕДОВАНИЕ МАССОВО-ЭНЕРГЕТИЧЕСКИХ ХАРАКТЕРИСТИК ТРАНСПОРТИРОВКИ ОТРАБОТАННОГО ЯДЕРНОГО ТОПЛИВА В РЕЖИМЕ “САМОДОСТАВКА”
Тепло, выделяемое ОЯТ, можно преобразовывать в полезную электрическую энергию посредством, например, термоэлектрического генератора (ТЭГ), который будет питать энергодвигательную установку (ЭДУ) [5–7]. Величина электрической мощности ЭРД ЭДУ может быть представлена как [8]:
NЭЛ = kTηТЭГqmMРАО,(1)
где kт – коэффициент, учитывающий снижение тепловой мощности ОЯТ вследствие уменьшения его массы в процессе транспортировки (по закону радиоактивного распада); ηТЭГ – коэффициент полезного действия (КПД) процесса преобразования тепловой энергии в электрическую с помощью ТЭГ; qт – удельное тепловыделение единицы массы смеси радионуклидов ОЯТ (смесь α, β – изотопов из табл. 8).
Зависимость (1) показывает, что электрическая мощность ЭРД является переменной, что негативно скажется на баллистике перелета, поэтому при транспортировке ОЯТ необходимо иметь избыток тепловой мощности, чтобы поддерживать электрическую мощность ЭРД постоянной [9].
Ранее авторами данной работы в [8] получена зависимость для расчета удельного тепловой мощности РАО как некого теплового эквивалента (без учета изотопного состава и периода полураспада) – qт, необходимой для выполнения операции космического захоронения, зная характеристическую скорость ΔVКА, удельный импульс (скорость истечения) ЭРД – Jуд, время ее работы – tр и КПД ТЭГ – ηТЭГ, удельные массы ТЭГ, ЭРД и ХИ – γТЭГ, γЭРД, γХИ. Рассмотренный подход не может быть применен к смеси изотопов (например, из ОЯТ), так как необходимо учитывать долевой массовый состав транспортируемых изотопов, скорость “выгорания” изотопов, которая меняет долевой состав ОЯТ и величину тепловой мощности, период полураспада каждого изотопа, его удельное тепловыделение. В работе [8] авторы получили зависимости необходимого удельного тепловыделения для совершения транспортной операции в режиме “самодоставка” – qт. Расчеты [8] показали, что величина потребного тепловыделения РАО составляет 0.1–0.3 Вт/г (100–300 Вт/кг). Сравнивая величину потребного удельного тепловыделения и величину удельного тепловыделения радионуклидов ОЯТ, представленных в табл. 8, получаем, что ряд радионуклидов подходит для использования в качестве первичного источника тепловой энергии в ЭДУ (выделены желтым цветом). В основном они относятся к “короткоживущим”, но для времени перелета 1–3 года весьма перспективны в качестве источника тепловой энергии.
ВЛИЯНИЕ УДЕЛЬНОГО ТЕПЛОВЫДЕЛЕНИЯ СМЕСИ РАДИОНУКЛИДОВ НА ВЕЛИЧИНУ ТРАНСПОРТИРУЕМОЙ ОТНОСИТЕЛЬНОЙ МАССЫ ДОЛИ ОТРАБОТАННОГО ЯДЕРНОГО ТОПЛИВА В РЕЖИМЕ “САМОДОСТАВКА”
Электрическая мощность ЭДУ в режиме “самодоставка” определяется тепловой мощностью смеси радионуклидов ОЯТ и КПД термоэлектрического генератора – ηТЭГ. В свою очередь, тепловая мощность смеси ОЯТ зависит от ее массы и удельного тепловыделения (усредненного по имеющимся радионуклидам).В процессе транспортировки тепловая мощность радионуклида, входящего в смесь ОЯТ, снижается по закону радиоактивного распада, поэтому можно записать соотношение:
(2)
где Мi – масса i-го радионуклида в составе транспортируемого ОЯТ; – его удельное тепловыделение; – его период полураспада; t – время.
Начальная массовая доля i-го радионуклида в составе транспортируемого ОЯТ может быть определена как:
(3)
где Мi.0 – начальная масса i-го радионуклида в составе транспортируемой смеси ОЯТ; – начальная суммарная масса транспортируемых радионуклидов.
Таким образом, тепловая мощность транспортируемой смеси радионуклидов ОЯТ (спадающая во времени по закону радиоактивного распада) может быть определена как:
(4)
Реактивная мощность струи ЭРД (обеспечивающая движение КА) Nр может быть записана с учетом КПД ЭРД – ηЭРД и КПД ТЭГ ηТЭГ как:
(5)
Неиспользованная тепловая мощность отводится в окружающее пространство регулируемым по площади теплоотвода холодильником-излучателем (ХИ).
С другой стороны, мощность струи может быть получена из физики работы ЭРД в составе ЭДУ с ТЭГ [9, 10] в виде:
(6)
где МКА.0 – начальная масса космического аппарата; ΔVКА – характеристическая скорость перелета; Jуд – скорость истечения из ЭРД; tр – заданное время транспортировки (перелета).
Таким образом, можно связать уравнения (5) и (6), из которых можно получить начальную загрузку смеси радионуклидов ОЯТ – αРАО.0 для транспортировки в режиме “самодоставка” в течение времени tр:
(7)
Выражение (7) может быть использовано, например, для расчета требуемой скорости истечения (удельного импульса) ЭРД для его подбора и проектирования при прочих известных данных, либо для расчета относительной полезной нагрузки – ОЯТ. По определению начальная относительная доля полезной нагрузки (в нашем случае относительная масса транспортируемой смеси радионуклидов ОЯТ) есть отношение начальной массы к начальной массе космического аппарата (ее предельная величина по энергобаллистике):
(8)
В составе КА есть контейнер с ОЯТ и радиационной защитой, блок ЭРД, ТЭГ, система хранения и подачи рабочего тела (СХПРТ) и ХИ – основные узлы, которые связаны конструкционными элементами [8, 11–13].
Массовое уравнение КА запишем в виде:
(9)
где kРЗ – коэффициент, учитывающий радиационную защиту контейнера с ОЯТ; МСХПРТ – масса рабочего тела ЭРД и системы подачи и хранения рабочего тела; МЭРД – масса блока ЭРД; МТЭГ – масса ТЭГ; МХИ – масса холодильника-излучателя (ХИ) ЭДУ; Мконстр – масса конструкционных элементов КА.
Масса СХПРТ определяется из баллистики транспортировки:
(10)
где φб – коэффициент массы баков системы хранения и подачи рабочего тела.
Отметим, что для выполнения транспортной операции необходимо, чтобы ЭРД имел постоянные характеристики, то есть, его электрическая мощность и мощность струи рабочего тела также должны быть постоянны. Минимальные значения тепловой мощности смеси ОЯТ и мощности струи ЭРД достигаются в конце транспортной операции при t = tр. Таким образом, можно считать значения мощностей из формул (4) и (5) базовыми для расчета масс этих агрегатов (при t = tр), входящих в ЭДУ КА в режиме “самодоставка”. Максимальное значение тепловой мощности ОЯТ реализуется при t = 0. Избыточная тепловая мощность отводится в окружающее пространство посредством регулируемой поверхности ХИ. Расчет массы ХИ ведется по начальной тепловой мощности смеси радионуклидов ОЯТ.
Масса ЭРД, ТЭГ и ХИ ЭДУ может быть привязана к их мощности- NЭРД (электрическая мощность ЭРД), NТЭГ (тепловая мощность ТЭГ), NХИ (отводимая тепловая мощность ХИ)и коэффициенту удельной массы γЭРД,, γТЭГ,, γХИ:
(11)
(12)
(13)
Отметим, что для ХИ максимальное значение отводимой мощности в окружающее пространство имеет место при t = 0, поэтому в формуле (13) отсутствует экспоненциальный множитель, а масса его и размеры определяются по начальным значениям тепловой мощности РАО.
В результате получим массовое уравнение КА для транспортировки ОЯТ в режиме “самодоставка”:
(14)
Уравнение (14) можно преобразовать относительно величины транспортируемой смеси радионуклидов ОЯТ:
(15)
Введем параметр тепловыделения ОЯТ как теплового источника:
В результате выражение (15) запишется в виде:
(16)
Массу конструкционных элементов КА выразим ее коэффициентом βконстр и массу КА:
Уравнение относительно массы транспортируемого ОЯТ с учетом предыдущих подстановок примет вид:
(17)
В результате получим уточненное выражение для расчета начальной относительной массы ОЯТ, необходимой для транспортировки в режиме “самодоставка”:
(18)
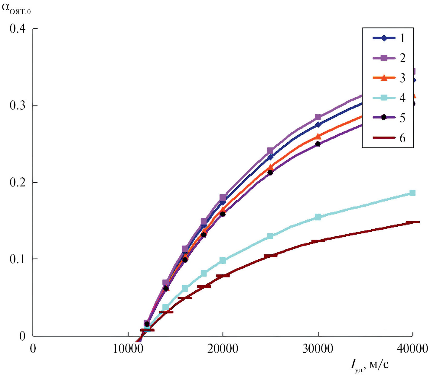
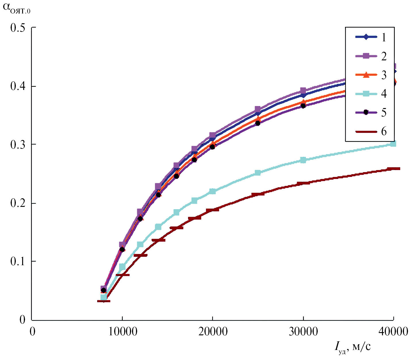
На основе выражения (18) и данных табл. 8 проведен расчет начальной массы транспортируемой смеси радионуклидов ОЯТ как функции скорости истечения (удельного импульса) ЭРД при различных параметрах – времени транспортировки, КПД ЭРД, ТЭГ, удельном тепловыделении и массовой доли радионуклидов в составе ОЯТ. На рис. 1–4 представлены результаты расчета относительной массы транспортируемой смеси радионуклидов как функции удельного импульса ЭРД.
Рис. 1. Зависимость массовой доли транспортируемого радионуклида и смеси ОЯТ в режиме “самодоставка” от удельного импульса ЭРД, γТЭГ = 1 кг/кВт, γЭРД = 1 кг/кВт, γХИ = 1 кг/кВт, βконстр = 0.3, αi = 0.2, tp =1 год, φб = 0.2, kРЗ = 0.2, Vx = 6000 м/с. 1 – цезий, 2 – стронций, 3 – европий, 4 – кюрий, 5 – плутоний, 6 – смесь ОЯТ.
Рис. 2. Зависимость массовой доли транспортируемого радионуклида и смеси ОЯТ в режиме “самодоставка” от удельного импульса ЭРД, γТЭГ = 0.5 кг/кВт, γЭРД = 0.5 кг/кВт, γХИ = 0.5 кг/кВт, βконстр = 0.3, αi =0.2, tp =1 год, φб = 0.2, kРЗ =0.2, Vx = 6000 м/с. 1 – цезий, 2 – стронций, 3 – европий, 4 – кюрий, 5 – плутоний, 6 – смесь ОЯТ.
Рис. 3. Зависимость массовой доли транспортируемого радионуклида и смеси ОЯТ в режиме “самодоставка” от удельного импульса ЭРД, γТЭГ = 1 кг/кВт, γЭРД = 1 кг/кВт, γХИ = 1 кг/кВт, βконстр = 0.3, αi = 0.2, tp = 1 год, φб = 0.2, kРЗ = 0.2, Vx = 10000 м/с. 1 – цезий, 2 – стронций, 3 – европий, 4 – кюрий, 5 – плутоний, 6 – смесь ОЯТ.
Рис. 4. Зависимость массовой доли транспортируемого радионуклида и смеси ОЯТ в режиме “самодоставка” от удельного импульса ЭРД, γТЭГ = 0.5 кг/кВт, γЭРД = 0.5 кг/кВт, γХИ = 0.5 кг/кВт, βконстр = 0.3, αi = 0.2, tp =1 год, φб = 0.2, kРЗ = 0.2, Vx = 10000 м/с. 1 – цезий, 2 – стронций, 3 – европий, 4 – кюрий, 5 – плутоний, 6 – смесь ОЯТ.
ОБСУЖДЕНИЕ РЕЗУЛЬТАТОВ
Расчеты показали, что относительная масса транспортируемых радионуклидов ОЯТ в режиме “самодоставка” составляет 0.15–0.26, что несколько меньше по сравнению с результатами работы [8]. Это объясняется тем, что в данной работе учтен закон радиоактивного распада, определяющий величину тепловыделения ОЯТ в процессе перелета, также влияющее на величину ХИ (в наших условиях ХИ переразмерен, так как определяется по начальной тепловой мощности ОЯТ как источника энергии на борту). Поэтому решение проблемы увеличения относительной полезной массы – массы ОЯТ в режиме “самодоставка” может быть найдено через модульное построение ХИ, при котором масса и размеры ХИ уменьшаются в процессе перелета в соответствии с изменением тепловой мощности. Следует отметить, что при этом может быть увеличена характеристическая скорость перелета вследствие растущего ускорения КА (это означает увеличение радиуса конечной орбиты захоронения ОЯТ).
Изменение времени транспортировки незначительно сказывается на величине относительной массы транспортируемого ОЯТ, что обусловлено выполнением неравенства:
Выделяемая тепловая мощность ОЯТ слабо снижается при tp = 1…3 года.
Отметим, что удельные массы агрегатов предлагаемой энергоустановки, основанной на радиоактивном распаде транспортируемой смеси радионуклидов ОЯТ (α и β “короткоживущие” изотопы) и прямом преобразовании энергии в электрическую на основе термоэлектрического генератора, позволяют осуществить транспортировку в режиме “самодоставка” на орбиты захоронения при величине характеристической скорости до 10 км/с. Это орбиты с удалением от Земли порядка орбиты Марса и более. Расчеты показали, что удельные массы агрегатов такой энергоустановки значительно влияют на относительную массу транспортируемой смеси ОЯТ.
ЗАКЛЮЧЕНИЕ
В работе приведены сведения по перспективным радионуклидам ОЯТ, которые можно транспортировать КА в режиме “самодоставка” с помощью электроракетных двигателей.
Получены расчетные зависимости относительной массы ОЯТ для такого варианта транспортировки с учетом свойств радионуклидов и параметров ЭДУ и баллистических данных.
Показано, что транспортировка смеси “короткоживущих” радионуклидов ОЯТ в режиме “самодоставка” позволяет обходиться без дополнительного источника энергии на борту КА.
About the authors
A. V. Onufriev
Bauman Moscow State Technical University (National Research University)
Author for correspondence.
Email: onufryev@bmstu.ru
Russian Federation, Moscow
V. V. Onufriev
Bauman Moscow State Technical University (National Research University)
Email: onufryev@bmstu.ru
Russian Federation, Moscow
V. V. Perevezentsev
Bauman Moscow State Technical University (National Research University)
Email: onufryev@bmstu.ru
Russian Federation, Moscow
S. N. Dmitriev
Bauman Moscow State Technical University (National Research University)
Email: onufryev@bmstu.ru
Russian Federation, Moscow
References
- Status and Trends in Spent Fuel and Radioactive Waste Management // IAEA Nuclear Energy Series No. 2018. № NW-T-1.14 (Rev. 1). 74 pp.
- Займовский А.С., Калашников В.В., Головин И.С. Тепловыделяющие элементы ядерных реакторов. М.: Атомиздат, 1966.
- Тевлин А.С. Атомные электрические станции с реакторами ВВЭР-1000. – 2-е дополненное изд. М.: Издательский дом МЭИ. 2008. 358 с.
- Отработавшее ядерное топливо тепловых реакторов [Электронный ресурс] // nuclphys.sinp.msu.ru URL: http://nuclphys.sinp.msu.ru/ne/ne3.htm#: (дата обращения: 10.12.2022).
- Семенов Ю.П., Филин В.М., Соколов Б.А. и др. О космическом захоронении особо опасных радиоактивных отходов атомной энергетики // Изв. РАН. Энергетика. 2003. № 3. С. 6–14.
- Пономарев-Степной Н.Н. Ядерная энергетика в космосе // Атомная энергия. 1989. Т. 66. Вып. 6. С. 371–374.
- Баканов Ю.А., Синявский В.В., Юдицкий В.Д. О возможных областях применения космических термоэмиссионных ЯЭУ большой мощности // Научно-технический сборник “Ракетно-космическая техника”. Серия 12. Вып. 3–4. Ч. 1. Калининград, Моск. обл.: Изд. РКК “Энергия”, 1995. С. 31–48.
- Онуфриев А.В., Дмитриев С.Н., Онуфриев В.В. Об особенностях транспортировки радиоактивных отходов на орбиты захоронения с помощью электроракетных двигательных установок // Известия академии наук. Энергетика. 2011. № 3. С. 129–138.
- Гришин С.Д., Лесков Л.В. Электрические ракетные двигатели для космических аппаратов. М.: Машиностроение, 1983. 148 с.
- Термоэлектрические генераторы. М.: Атомиздат, 1976. 320 с.
- Способ космического захоронения радиоактивных отходов в дальнем космосе и космический аппарат для его осуществления. Дмитриев С.Н., Онуфриев В.В., Онуфриев А.В. Патент на изобретение RU 2492537 C1, 10.09.2013. Заявка № 2012121400/11 от 24.05.2012.
- Онуфриев А.В., Дмитриев С.Н., Онуфриев В.В. Об особенностях проектирования технического облика космического аппарата для транспортировки радиоактивных отходов // Известия высших учебных заведений. Машиностроение. 2014. № 5 (650). С. 62–71.
- Онуфриев А.В., Дмитриев С.Н., Онуфриев В.В. О техническом облике космического аппарата для транспортировки радиоактивных отходов // Известия высших учебных заведений. Машиностроение. 2014. № 8 (653). С. 52–61.
Supplementary files







