Otoacoustic emissions: major trends in pediatric practice
- Authors: Garbaruk E.S.1,2, Pavlov P.V.1, Gorkina O.K.1, Subora N.V.2, Belogurova M.B.2,3
-
Affiliations:
- St. Petersburg State Pediatric Medical University
- Academician I.P. Pavlov First St. Petersburg State Medical University of the Ministry of Healthcare of Russia
- Chemotherapy and Composite Treatment of Pediatric Tumors “Clinical Scientifi c and Practical Centre of Oncology”
- Issue: Vol 11, No 3 (2020)
- Pages: 101-108
- Section: Reviews
- URL: https://journals.rcsi.science/pediatr/article/view/42537
- DOI: https://doi.org/10.17816/PED113101-108
- ID: 42537
Cite item
Abstract
The high prevalence of hearing loss in children determines the need for reliable methods for the timely detection and diagnosis of hearing impairment at any age, starting from a birth. Otoacoustic emissions are widely used in hearing screening and audiological assessment as an objective tool for cochlear status evaluation. Over the past 30 years, their use in routine audiological assessments has increased significantly. Understanding the subtle processes that occur in the cochlea during the transmission of acoustic stimuli which generate otoacoustic emissions as well as knowledge about the registration parameters, otoacoustic emissions characteristics, otoacoustic emissions advantages and constraints are important for results analysis. Contemporary understanding of the occurrence of auditory sensations as well as the description of various types of otoacoustic emissions used in routine clinical practice (transient otoacoustic emissions and distorting product otoacoustic emissions) are presented in the review. The features of otoacoustic emissions using in pediatric practice are described: in newborns hearing screening, including the peculiarities of applying of this test for infants having had got their treatment in the intensive care units. Otoacoustic emissions significance for hearing diagnosis and as well as for ototoxicity monitoring is shown. Reliability, non-invasiveness, objectivity, simplicity of the otoacoustic emissions testing has done it one of the main methods both in hearing screening and diagnostics for children on any age.
Full Text
INTRODUCTION
According to the World Health Organization, there were 466 million people worldwide with disabling hearing loss in 2018, among which 34 million are children [10, 20]. For both children and adults, timely detection of a hearing pathology and subsequent comprehensive differential audiological diagnostics are necessary and important factors for subsequent successful rehabilitation.
The modern arsenal of audiological methods contains a significant number of both objective (electroacoustic) and subjective (psychoacoustic) tests. The choice of methods for testing depends on the group of patients being examined, as well as the purpose of the study. The use of a comprehensive approach consisting of several techniques allows you to conduct topical diagnostics and observe the principle of cross-checking test results. Some audiological techniques can be used in isolation for mass screening tests. One of the main objective audiological tests is the registration of otoacoustic emissions (OAE).
SOURCE OF OTOACOUSTIC EMISSION GENERATION
The OAE phenomenon, discovered in 1978 By D. Kemp [16], took its reliable place in clinical practice in the mid-80s. The OAE is an extremely quiet sound that can be registered in the external auditory canal using a highly sensitive microphone. It is generated by two outer hair cells (OHC) located in the Corti organ. The reaction of the OHC to depolarization/hyperpolarization is active and expressed by a change in the length of the OHC, a property known as electromotility. Mechanical changes in the length of the OHC are transmitted to the basilar membrane, swaying it more strongly in the frequency resonance area. The strongest connection of OHC with supporting cells, basilar membrane, stereocilia of OHC with tectorial membrane recorded in the main curl snails and diminishing toward the apex. This explains the inability to register the OAE at frequencies of 500 Hz or lower. As the oscillation amplitude of the basilar membrane increases, the stereocilia of OHC comes into contact with the tectorial membrane, and OHC are excited, functioning mainly as sensory receptors. Depolarization of internal hair cells leads to the excitation of afferent fibers of the auditory nerve and consequently, the transfer of acoustic information to the central parts of the auditory system. Active movements of OHC are transmitted to the basilar membrane and there are reverse-directional traveling waves that reach the footplate of the stirrup and lead to fluctuations in the chain of auditory bones and the tympanic membrane. Otoacoustic emission is thus a by-product of a normally functioning snail. Because of the active mechanism (electromotility) of OHC, a high sensitivity and frequency selectivity of the cochlea are provided [2, 9, 13, 14, 16, 18].
OAE can be registered either in response to sound stimulation or in its absence; in the latter, it is a spontaneous otoacoustic emission (SOAE). SOAE is present in approximately 60% of adults and 80% of young children with normal hearing. The absence of SOAE in all normally hearing people makes it impossible to apply this type of OAE in clinical practice. Depending on the type of acoustic stimulus being applied, there are several types of signals. In routine clinical practice (both in screening and diagnostic studies), two types of OAE are used: Transient-evoked otoacoustic emission (TEOAE) and distortion product otoacoustic emission (DPOAE) [7, 9, 13].
TRANSIENT-EVOKED OTOACOUSTIC EMISSION
A wide-band acoustic click is used to record TEOAE. The response is sound vibrations of various frequencies that occur 6–8 ms after the start of the stimulus and continue for 20–30 ms. The intensity of the stimulus is 82 ± 2 dB sound pressure level (SPL). The highest amplitude of TEOAE is registered in the speech frequency range from 1 to 4 kHz. It is possible to register TEOAE at frequencies up to 6 kHz for newborns and young children. The amplitude of TEOAE in children exceeds that recorded in adults (Fig. 1). The norm criterion is the presence of a response in at least three semi-octave frequency bands with a ratio of OAE level to noise level of at least 3 dB. TEOAE is registered if the hearing thresholds do not exceed 25–30 dB of the norm of the threshold of audibility (nTA) which corresponds to a normal absolute sensitivity [9, 13, 16].
Fig. 1. Registration of Transient Evoked Otoacoustic Emission (TEOAE): а – TEOAE in newborn; b – TEOAE in adult; c – absence of TEOAE. Grey columns show background noise, black ones — TEOAE
Рис. 1. Пример регистрации задержанной вызванной отоакусической эмиссии: а — у новорожденного; b — у взрослого; c — отсутствие. Серые столбцы — фоновый шум; черные — задержанная вызванная отоакусическая эмиссия
DISTORTION PRODUCT OF AN OTOACOUSTIC EMISSION
OAE can be registered by acoustic delivery of not only broadband stimulus, but also tonal signals. The presentation of the two tones (f1 and f2) leads to the generation of several new frequency responses. These responses are non-linear as response rates are not present in the stimulus. The response with the highest amplitude is usually registered at the frequency 2 f1–f2. This response is used in clinical practice (Fig. 2). Numerous studies have allowed us to determine the optimal parameters of stimulation for the registration of DPOAE. The greatest amplitude of the DPOAE is when the ratio of the applied frequencies f2/f1 equals 1.22. As for the intensity of the applied stimuli, there are two types of stimulations used in clinical practice. The first one uses the intensities I1 = 65 dB SPL and I2 = 55 dB SPL. In this case, the sensitivity of DPOAE is similar to that of TEOAE, i.e., DPOAE is registered when hearing thresholds do not exceed 25–30 dB nTA. In the second variant, the stimuli are delivered with an intensity of I1 = I2 = 70 dB SPL. In this case, the DPOAE can be registered if the hearing thresholds do not exceed 40 dB nTA, i.e., they correspond to the norm or the 1st degree of a sensorineural hearing loss [9, 13, 16, 18]. All the equipment designed for audiological screening and most clinical devices are equipped with a single stimulation option I1 = 65 dB SPL and I2 = 55 dB SPL. Most devices used to record DPOAE investigate the frequency range from 1 to 6 kHz, the most socially significant in terms of speech intelligibility. OAE registration is not possible in the low-frequency range for the reasons listed above. Some instruments which record DPOAE at frequencies of 10–12 kHz can be used to assess a high-frequency hearing loss, including the monitoring of ototoxicity.
Fig. 2. Registration of Distortion Product Otoacoustic Emission (DPOAE): а – normal DPOAE; b – absence of DPOAE. Grey columns show background noise, solid line – DPOAE
Рис. 2. Пример регистрации отоакустической эмиссии на частоте продукта искажения: а — соответствует норме; b — отсутствует. Серым цветом отмечен фоновый шум; сплошной линией — отоакустическая эмиссия на частоте продукта искажения
ADVANTAGES/DISADVANTAGES OF AN OTOACOUSTIC EMISSION
The advantages of this method include its objectivity, high sensitivity and specificity, the ability to use it at any age, and the speed of implementation. The objectivity of the test, i.e., its independence from the reactions of the subject, allows the test to be used in young children, children with developmental delays, and non-contact patients. The test has high sensitivity and specificity estimated at 95%–96% and 90%, respectively [17]. Given that cochlear structures are fully formed by the time of normal delivery, diseases can be registered from the first days of life. An important advantage of the test is its speed: testing both ears takes only a few minutes. However, the disadvantages of a survey using the OAE can be attributed to 1) strong dependence of OAE on the functional state of the conductive apparatus (the presence of anomalies of structure, cerumen, diseases of the outer/middle ear, and other pathological conditions of the sound-conducting system may lead to the absence of OAE); 2) OAE is generated by OHC, reflects the micromechanical processes in the organ of Corti, and does not allow the identification of retrocochlear pathology; 3) OAE does not allow the exploration of the low-frequency area (frequencies below 1 kHz); 4) this method is qualitative, not quantitative. In the absence of the OAE, we cannot judge the degree of hearing loss. Only a deviation from the norm can be ascertained [5, 8, 9, 11, 15].
THE USE OF OTOACOUSTIC EMISSIONS IN THE DIFFERENTIAL DIAGNOSIS
In clinical practice, OAE register as TEOAE and DPOAE. As a part of a comprehensive battery of tests, the use of the OAE allows the differentiation of sensory and neural forms of a hearing loss, enabling the accurate formulation of a diagnosis to choose further treatment and rehabilitation tactics.
APPLICATION OF OTOACOUSTIC EMISSION IN SCREENING TESTS
TEOAE and DPOAE can be used in screening. The ability to use OAE from the first days of life, the speed and simplicity of testing, and high sensitivity to the presence of a hearing loss have made this OAE one of the main methods used in the audiological screening of newborns, along with the registration of auditory evoked potentials. During a properly organized screening by the OAE method, the proportion of newborns with a positive screening result (OAE was absent from one or two ears) should not exceed 5% [15]. One of the main factors affecting the result of screening is the age at which it is performed. Due to the high dependence of the OAE registration on the state of the sound-conducting device, its use in the first two or three days of life gives a lot of false-positive results. Therefore, it is important to conduct this test no earlier than 3–4 days of life, as close as possible to the discharge of the newborn from the maternity home [8, 15, 19].
The disadvantage of OAE registration is its inability to detect retrocochlear pathology, including auditory neuropathy. In practice, retrocochlear pathology is rarely detected in the population of healthy newborns. This consideration combined with economic factors makes OAE registration a highly effective tool for universal audiological screening of newborns in maternity hospitals. However, if the newborn has a neurological disorder, it is necessary to use the registration of auditory evoked potentials in combination with OAE for screening [5, 9, 11, 15].
One of the outstanding issues at the moment is the detection of low-frequency hearing loss (Fig. 3). The methods used in neonatal audiological screening (OAE registration and auditory evoked potentials registration) do not examine hearing in the range of 1 kHz or lower. However, this type of hearing loss, especially when it progresses, will have an expressed negative impact on the development of the child. In this regard, the issue of implementing universal hearing screenings of children of early, preschool, and school ages, as well as careful monitoring of the child’s development by parents and specialists remains relevant.
Fig. 3. Low-frequency hearing loss in a 3-years child: а – pure tone audiogram; b – DPOAE registration. Grey columns show background noise, solid line – DPOAE
Рис. 3. Низкочастотная тугоухость у ребенка 3 лет: а — тональная пороговая аудиограмма; b — регистрация отоакустической эмиссии на частоте продукта искажения. Серым цветом отмечен фоновый шум; сплошной линией — отоакустическая эмиссия на частоте продукта искажения
THE USE OF OTOACOUSTIC EMISSIONS FOR THE MONITORING OF AN OTOTOXICITY
The toxic effect of certain drugs on the hearing organ has been well studied. Drug-induced ototoxicity is associated with damage to the structures of the inner ear and/or the VIII pair of cranial nerves. The most commonly used drugs with potential ototoxic effects are antitumor and aminoglycoside antibacterial drugs, loop diuretics, calcium channel blockers, non-steroidal anti-inflammatory and antimalarial drugs, salicylates, etc. The degree of damage to the auditory analyzer depends on the drug used, its dose, age, simultaneous use of several ototoxic drugs, genetic predisposition, concomitant diseases, and a general condition. Ototoxic damage is usually sensorineural high-frequency symmetrical. Early diagnosis is necessary since it is possible to reduce the ototoxic effect by adjusting the dosage regimens in some cases. In the case of a developed hearing loss, it is necessary to start a sign language rehabilitation and auditory prosthetics on time [1, 3, 6, 12].
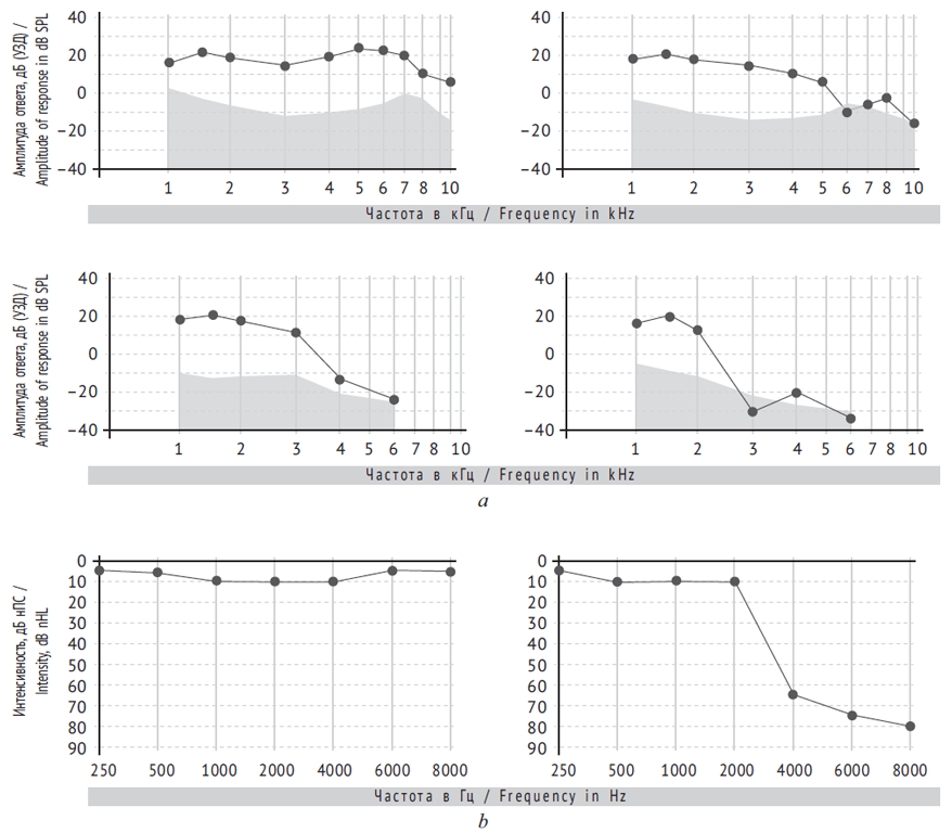
The nature of the initial appearance of ototoxicity requires the use of diagnostic methods that evaluate the high-frequency range. The main methods are conducting the tonal threshold audiometry in an extended frequency range and registering the OAE. For young children as well as patients in serious conditions, the tonal threshold audiometry is difficult to measure, and OAE is becoming the main method for monitoring ototoxicity. The registration of DPOAE with the ability to record up to 10–12 kHz is used for this purpose. Fig. 4 presents some results of audiological testing of a child with a medulloblastoma who received a polychemotherapy with cisplatin.
Fig. 4. Long-term hearing monitoring in a child threaded with ototoxic drugs: а – four DPOAE records: before, during and after treatment; b – pure tone audiogram before and after treatment
Рис. 4. Динамическое наблюдение за слуховой функцией ребенка, получающего ототоксические препараты. а — четыре записи отоакустической эмиссии на частоте продукта искажения до начала, в процессе и после окончания лечения; b — тональная аудиограмма до начала и после окончания лечения
There is a high correlation between the data tone threshold audiometry and the results of DPOAE. This fact as well as the possibility of using DPOAE for patients of any age, in any condition, and the noninvasiveness of the method confirms its high value for monitoring ototoxicity [4].
CONCLUSION
High information content, non-invasiveness, objectivity, simplicity, and speed of registration made otoacoustic emission an irreplaceable and reliable tool in routine audiological practice. A wide range of applications of this technique includes monitoring of ototoxicity, mass screening tests of hearing for newborns, and use in differential diagnosis, especially for young children.
About the authors
Ekaterina S. Garbaruk
St. Petersburg State Pediatric Medical University; Academician I.P. Pavlov First St. Petersburg State Medical University of the Ministry of Healthcare of Russia
Author for correspondence.
Email: kgarbaruk@mail.ru
PhD, Senior researcher, Research center
Russian Federation, Saint PetersburgPavel V. Pavlov
St. Petersburg State Pediatric Medical University
Email: pvpavlov@mail.ru
MD, PhD, Dr Med Sci, Professor, Head Department of Otorhinolaryngology
Russian Federation, Saint PetersburgOksana K. Gorkina
St. Petersburg State Pediatric Medical University
Email: gorkina-ok@yandex.ru
Assistant Professor, Department of Otorhinolaryngology
Russian Federation, Saint PetersburgNina V. Subora
Academician I.P. Pavlov First St. Petersburg State Medical University of the Ministry of Healthcare of Russia
Email: matchenkova@inbox.ru
Pediatric Oncologist, Raisa Gorbacheva Memorial Research Institute of Children Oncology, Hematology and Transplantation
Russian Federation, Saint PetersburgMargarita B. Belogurova
Academician I.P. Pavlov First St. Petersburg State Medical University of the Ministry of Healthcare of Russia; Chemotherapy and Composite Treatment of Pediatric Tumors “Clinical Scientifi c and Practical Centre of Oncology”
Email: deton.hospital31@inbox.ru
MD, PhD, Dr Med Sci, Professor, Head, Department of Oncology with a Course of Radiation Diagnostics and Radiotherapy
Russian Federation, Saint PetersburgReferences
- Белогурова М.Б., Гарбарук Е.С., Субора Н.В., Павлов П.В. Исследование эффекта ототоксичности у детей, получавших химиотерапию препаратами платины // Вопросы гематологии/онкологии и иммунопатологии в педиатрии. – 2018. – Т. 17. – № 3. – С. 22–27. [Belogurova MB, Garbaruk ES, Subora NV, Pavlov PV. Platinum induced hearing loss in children with cancer: the prospective study. Pediatric Hematology/Oncology and Immunopathology. 2018;17(3):22-27. (In Russ.)] https://doi.org/10.24287/1726-1708-2018-17-3-22-27.
- Гарбарук Е.С., Горкина О.К., Павлов П.В. Отоакустическая эмиссия: фундаментальные предпосылки и клиническое применение (обзор литературы) // Медицина: теория и практика. – 2019. – Т. 4. – № 3. – С. 70–77. [Garbaruk ES, Gorkina OK, Pavlov PV. Otoacoustic emissions: fundamental principles and clinical application (literature review). Meditsina: teoriya i praktika. 2019;4(3):70-77. (In Russ.)]
- Гарбарук Е.С., Нномзоо А., Павлов П.В., Горкина О.К. Алгоритм аудиологического наблюдения детей с врожденными пороками сердца // Педиатр. – 2019. – Т. 10. – № 2. – С. 129–135. [Garbaruk ES, Nnomzoo AA, Pavlov PV, Gorkina OC. Algorithm of hearing monitoring of children with congenital heart disease. Pediatrician (St. Petersburg). 2009;10(2):129-135. (In Russ.)]. https://doi.org/10.17816/PED102129-135.
- Дьяконова И.Н., Рахманова И.В., Ишанова Ю.С., Бурмистрова Д.С. Слуховая функция недоношенных детей после лечения ототоксическими антибиотиками // Вестник оториноларингологии. – 2018. – Т. 83. – № 2. – С. 9–13. [D’yakonova IN, Rakhmanova IV, Ishanova YuS, Burmistrova DS. The hearing function in the premature children following their treatment with the use of ototoxic antibiotics. Vestn Otorinolaringol. 2018;83(2): 9-13. (In Russ.)]. https://doi.org/10.17116/otorino20188329-13.
- Лалаянц М.Р., Бражкина Н.Б., Гептнер Е.Н., и др. Слуховые вызванные потенциалы у детей с заболеванием спектра аудиторных нейропатий // Вестник оториноларингологии. – 2018. – Т. 83. – № 4. – С. 15–20. [Lalayants MR, Brazhkina NB, Geptner EN, et al. Auditory evoked potentials in children with auditory neuropathy spectrum disorder. Vestn Otorinolaringol. 2018;83(4):15-20. (In Russ.)] https://doi.org/10.17116/otorino201883415.
- Остроумова О.Д., Ших Е.В., Реброва Е.В., и др. Лекарственно-индуцированная тугоухость как проявление лекарственно-индуцированной ототоксичности // Вестник оториноларингологии. – 2019. – Т. 84. – № 4. – С. 72–80. [Ostroumova OD, Chikh EV, Rebrova EV, et al. Drug-induced hearing loss as a manifestation of drug-induced ototoxicity. Vestn Otorinolaringol. 2019;84(4):72-80. (In Russ.)] https://doi.org/10.17116/otorino20198404172.
- Пальчун В.Т., Левина Ю.В., Мельников О.А. Отоакустическая эмиссия: исследование нормы // Вестник оториноларингологии. – 1999. – № 1. – С. 5–9. [Pal’chun VT, Levina YuV, Mel’nikov OA. Otoakusticheskaya emissiya: issledovanie normy. Vestn Otorinolaringol. 1999;(1):5-9. (In Russ.)]
- Министерство Здравоохранения Российской Федерации. Сенсоневральная тугоухость у детей: клинические рекомендации. – 2016. – 29 с. [The Ministry of Health of the Russian Federation. Sensonevral’naya tugoukhost’ u detey: klinicheskie rekomendatsii. 2016. 29 p. (In Russ.)]
- Таварткиладзе Г.А. Руководство по клинической аудиологии. – М.: Медицина, 2013. [Tavartkiladze GA. Rukovodstvo po klinicheskoy audiologii. Mоscow: Meditsina; 2013. (In Russ.)]
- Чадха Д.Ш. Глобальные действия при нарушениях слуха // Вестник оториноларингологии. – 2018. – Т. 83. – № 4. – С. 5–8. [Chadha DrS. Global action for hearing loss. Vestn Otorinolaringol. 2018;83(4):5-8. (In Russ.)]
- Ясинская А.А., Таварткиладзе Г.А. Эффективность аудиологического скрининга у новорожденных, основанного на использовании автоматизированной регистрации задержанной вызванной отоакустической эмиссии и стационарных слуховых вызванных потенциалов // Российская оториноларингология. – 2008. – № S1. – С. 421–426. [Yasinskaya AA, Tavartkiladze GA. Effektivnost’ audiologicheskogo skrininga u novorozhdennykh, osnovannogo na ispol’zovanii avtomatizirovannoy registratsii zaderzhannoy vyzvannoy otoakusticheskoy emissii i statsionarnykh slukhovykh vyzvannykh potentsialov. Russian otorhinolaryngology. 2008;(S1):421-426. (In Russ.)]
- Brock PR, Knight KR, Freyer DR, et al. Platinum-Induced Ototoxicity in Children: A Consensus Review on Mechanisms, Predisposition, and Protection, Including a New International Society of Pediatric Oncology Boston Ototoxicity Scale. J Clin Oncol. 2012;30(19): 2408-2417. https://doi.org/10.1200/JCO.2011. 39.1110.
- Dhar S, Hall JW. Otoacoustic Emissions: Principles, Procedures, and Protocols. 2nd ed. Plural Publishing; 2018.
- Fettiplace R, Hackney CM. The sensory and motor roles of auditory hair cells. Nat Rev Neurosci. 2006;7(1): 19-29. https://doi.org/10.1038/nrn1828.
- The joint committee on infant hearing. Year 2019 position statement: principles and guidelines for early hearing detection and intervention programs. J Early Hear Detect Interv. 2019;4(2):1-44.
- Kemp DT. Otoacoustic emissions, their origin in cochlear function, and use. Br Med Bull. 2002;63: 223-241. https://doi.org/10.1093/bmb/63.1.223.
- Maung MM, Lwin YY, Aung N, et al. Diagnostic accuracy of distortion product otoacoustic emissions (DPOAE) and transient evoked otoacoustic emissions (TEOAE) in high risk newborn: a comparative study. Clin Pediatr. OA. 2016;1(110):2.
- Otoacoustic emissions — clinical applications. 2nd ed. Ed. by R.M. Robinette, T. Glattke. New York: Thieme; 2002.
- Thornton ARD. Maturation of click evoked otoacoustic emissions in the first few days of life. In: Otoacoustic Emissions from Maturation to Ageing. Series in Audiology Number 1. Ed. by F. Grandori, L. Collet, P. Ravazzani. London: Decker Europe; 1999. P. 21-32.
- Who.int [Internet]. Estimates [cited 2020 Jul 4]. Available from: http://www.who.int/pbd/deafness/estimates/en/.
Supplementary files





