On the possibility of creating highly efficient solvers for topical diffraction problems
- Авторлар: Vesnik M.V.1
-
Мекемелер:
- Kotelnikov Institute of Radioengineering and Electronics of the Russian Academy of Sciences
- Шығарылым: Том 13, № 3 (2024)
- Беттер: 100-109
- Бөлім: NEW MATHEMATICAL AND PHYSICAL METHODS
- URL: https://journals.rcsi.science/2225-4293/article/view/293839
- DOI: https://doi.org/10.25210/jfop‑2403IUSLTP
- EDN: https://elibrary.ru/IUSLTP
- ID: 293839
Дәйексөз келтіру
Толық мәтін
Аннотация
An algorithm for creating highly efficient solvers to address current problems, based on solving diffraction problems of electromagnetic waves and other types of waves, is presented. The algorithm is based on the application of heuristic methods of diffraction theory. The recently proposed method of fundamental components, which differs from traditional heuristic methods by including a tuning procedure, allows for the creation of highly efficient (i.e., fast and accurate) solvers, opening new possibilities for studying current scientific and technical problems.
Толық мәтін
Введение
Существует ряд актуальных проблем, таких как рассеяние электромагнитных волн на воздушных, наземных и морских целях с пониженной радиолокационной заметностью, распространение электромагнитных волн в условиях городской застройки, дифракция света на матрицах фотоприемников, дифракция элементарных частиц на ловушках и других объектах, дифракция упругих волн на неоднородностях в среде распространения и т. п. При исследовании этих проблем применяют специальные вычислители (солверы) — компьютеры и/или пакеты прикладных программ, предназначенные для решения задач дифракции. Если размеры исследуемых объектов относительно невелики по сравнению с длиной волны, солверы хорошо справляются с поставленными задачами, даже если эти задачи поставлены математически строго. При увеличении размеров исследуемого объекта или при уменьшении длины волны возникают проблемы, связанные с уменьшением быстродействия солвера. Приходится отказываться от математически строгой постановки и применять эвристические подходы, основанные на знании физических особенностей процесса дифракции.
1. Математическая постановка задачи
Под геометрией задачи понимают форму рассеивателя и граничные условия на его поверхности, а также взаимное расположение рассеивателя, источника падающей волны, точки наблюдения и поляризации падающей и рассеянной волн.
На языке математики решение задачи дифракции означает, что мы ищем решение краевой задачи, удовлетворяющее [1]:
- волновому уравнению;
- граничным условиям на поверхности;
- условиям регулярности излучения;
- условию Мейкснера на ребре.
Такое решение удовлетворяет условиям существования и единственности и может считаться надежным результатом (численным экспериментом, или критерием истины), поскольку, в отличие от приближенных подходов, описывает истинное поведение поля.
Математически строгое решение можно получать в аналитическом или численном виде. Строгие аналитические решения можно получить далеко не всегда, поскольку их, как правило, получают методом разделения переменных, а количество ортогональных систем координат, в которых можно применить этот метод («разделяющих» систем координат), ограничено [2]. Для большинства рассеивателей сложной формы, представляющих практический интерес, строгих аналитических решений не существует, поскольку разделение переменных провести невозможно, или же решение получить очень сложно. Например, с момента получения аналитического решения задачи дифракции на клине до получения аналитического решения задачи дифракции на плоском угловом секторе прошло около 100 лет [1].
Численные решения можно получить для большого количества рассеивателей. Но и здесь существуют ограничения, связанные с допустимыми размерами рассеивателя. Для рассеивателей большого размера может не хватить ресурсов даже самого современного компьютера.
Приближенные решения можно получить для рассеивателей любого типа. Но в этом случае точность может не соответствовать требованиям практической задачи.
2. Эвристические подходы
2.1. Традиционные эвристические подходы в теории дифракции
К традиционным эвристическим подходам (ТЭП) относят метод геометрической оптики (ГО) [3, 4], метод физической оптики (ФО) [5], геометрическую теорию дифракции (ГТД) [6–8], физическую теорию дифракции (ФТД), или, что то же самое — метод краевых волн (МКВ) [9–11]. Термин ФТД вначале применяли для обозначения МКВ, но позже термин ФТД получил расширенное толкование для обозначения, в том числе, и других эвристических подходов. Традиционные эвристические подходы сыграли важную роль в теории дифракции [12]. Наряду с традиционными эвристическими подходами применяют гибридные методы [13], сочетающие в себе черты строгих и эвристических подходов.
Традиционные эвристические подходы основаны на «постулатах» (или предписаниях совершить ряд математических процедур, результат которых считают приближенным решением задачи дифракции). Эти постулаты имеют под собой физическую основу, но могут давать результаты, не совпадающие с математически строгим решением. Иногда точность традиционных эвристических подходов достаточна для описания задачи дифракции, иногда — нет.
- В приближении ГО рассеянное поле находят в виде совокупности лучей, пришедших от точек зеркального отражения на рассеивателе;
- В приближении ФО рассеянное поле находят в виде интеграла по поверхности рассеивателя от отраженного ГО поля;
- В приближении ГТД поле, рассеянное кромкой, находят в виде поля от касательной структуры, с учетом возмущения поля вблизи кромки касательной структуры;
- В приближении ФТД (МКВ) поле, рассеянное кромкой, находят в виде интеграла по поверхности рассеивателя с учетом возмущения поля касательной структуры вблизи кромок.
Разницу между результатами счета по «постулатам» и математически строгим решением будем называть заложенной методической погрешностью. Все ТЭП обладают заложенной методической погрешностью.
2.2. Точность эвристических подходов
В некоторых случаях точность традиционного эвристического подхода вполне соответствует требованиям практической задачи. Так, радиолокационный сигнал от объекта с поверхностью, имеющей плавные скругления, можно достаточно точно представить в виде суммы вкладов зеркальных точек, найденных в приближении ГО. Главный луч, первый и второй лепестки зеркальной антенны можно достаточно точно найти в приближении ФО. Сигнал, рассеянный объектом со скругленными кромками, можно достаточно точно найти в приближении ГТД. Сигнал, рассеянный многогранниками, можно достаточно точно найти в приближении ФТД (МКВ).
Тем не менее, иногда точности ФТД (МКВ) может быть недостаточно. Например, при решении обратных задач сочетание быстродействия и точности имеет критически важное значение. Поэтому, если есть возможность увеличить точность при сохранении быстродействия, то такой возможностью следует обязательно воспользоваться.
2.3. Области стационарной фазы
Одним из способов представления рассеянного поля является интеграл по поверхности рассеивателя. Если точно знать поле на поверхности, то и в точке наблюдения этот интеграл даст точное решение. Важно отметить, что самые точные решения традиционных эвристических подходов, о которых мы говорили в предыдущем пункте, связаны с тем, что сигналы от некоторых областей интегрирования попадают в точку наблюдения синфазно. К таким случаям относятся зеркальное отражение от поверхности (а также рассеяние «прямо вперед», когда рассеиватель затеняет падающую волну) или рассеяние на кромке, когда углы между кромкой и направлениями на источник и на точку наблюдения совпадают (эта ситуация называется «дифракционный конус»). При интегрировании по синфазной области (поверхности или кромке) расчет по ТЭП в точке наблюдения соответствует строгому решению. Это обстоятельство помогает при построении эвристических формул [14].
2.4. Условие дальней зоны
При построении эвристических формул важную роль играет условие дальней зоны. С физической точки зрения оно означает, что как из точки наблюдения, так и из точки расположения источника рассеиватель виден под очень малым углом. Если условие дальней зоны выполняется, эвристические формулы существенно упрощаются.
2.5. Применение эталонных решений на полубесконечных рассеивателях
При построении эвристических решений используют принцип локальности поля. В соответствии с этим принципом возмущение поля какой-либо неоднородностью происходит только в окрестности этой неоднородности. Под неоднородностью понимаем, например, ограничение бесконечной плоской поверхности кромкой или ограничение бесконечной кромки вершиной. Поэтому возмущение поля вблизи неоднородности на трехмерном рассеивателе можно считать таким же, как возмущение поля на «эталонном» полубесконечном рассеивателе. В отличие от большинства трехмерных («3D») рассеивателей конечного размера, в случае полубесконечных рассеивателей с большей вероятностью существуют «разделяющие» системы координат (см. п. 2), и можно рассчитывать на получение строгих аналитических решений. Если же это не удается, можно воспользоваться численными решениями для эталонных рассеивателей.
Эталонные эвристические формулы на полубесконечных и бесконечных рассеивателях мы помечаем индексами 1D — 3D. Эти индексы означают размерность задач, из которых взяты соответствующие строгие решения, для последующего их включения в эвристические формулы. Индекс 1D означает одномерную задачу (зеркальное отражение от плоской поверхности), 2D — двумерную, 2.5D — двумерную при наклонном падении, 3D — трехмерную задачу.
В рамках «постулатов» эвристических подходов ГТД и ФТД (МКВ) заменяют реальное поле на 3D рассеивателе приближенным и считают, что возмущение поля вблизи кромки трехмерного рассеивателя происходит так же, как в соответствующей 2D эталонной задаче. Задав таким образом поле на трехмерном рассеивателе, применяют ГТД или ФТД (МКВ).
В рамках ФТД (МКВ) заданное приближенное поле интегрируют вдоль кромки.
Что касается ГТД, то в рамках данного подхода решение существует только тогда, когда точка наблюдения лежит на дифракционном конусе, поскольку в соответствующей двумерной задаче лучи попадают в точку наблюдения только из соответствующей области стационарной фазы на кромке бесконечной длины, других решений нет. В трехмерной же задаче может быть ситуация, когда для конкретной точки наблюдения область стационарной фазы на кромке конечной длины отсутствует. Тогда в приближении ГТД никакого решения нет, в то время как в приближении ФТД (МКВ) решение есть, хотя и неточное. Это обстоятельство сыграло главную роль при выборе именно ФТД (МКВ) для проекта «Стелс».
3. Основы метода базовых компонентов
Как мы уже говорили ранее, в некоторых случаях решения по ТЭП имеют точность, удовлетворяющую требованиям исследуемой актуальной проблемы. Если же это не так, приходится искать способы повышения точности. Недавно предложенный метод базовых компонентов (МБК) [1, 15] позволяет увеличить точность эвристического решения до заранее заданных величин. Отличие МБК от ТЭП состоит в том, что применение МБК предусматривает проведение процедуры настройки — сравнения первичной эвристической функции с верификационным решением (как правило, численным), проведения коррекции и получения окончательной эвристической формулы.
В качестве первичной эвристической формулы выбирают наиболее подходящее физически обоснованное решение. Например, это может быть одна из формул ТЭП или какая-то другая. После проведения процедуры настройки получают окончательную эвристическую формулу, которая уже не имеет заложенной методической погрешности, поскольку процедура настройки сводит погрешность к минимуму.
4. Основные базовые компоненты, описываемые первичными эвристическими формулами
4.1. Форма теневого контура (3D)
Как уже было сказано, строгих аналитических решений на трехмерных рассеивателях очень мало, поскольку для решения краевой задачи требуется осуществить разделение переменных. Систем координат, допускающих сделать это («канонических»), мало (не более двух десятков). Но если отказаться от полного решения краевой задачи и «назначить» поле на поверхности рассеивателя, то можно затем провести интегрирование поля по поверхности и найти рассеянное поле приближенно, в том числе для «неканонической» системы координат.
Рассмотрим плоский многоугольник конечных размеров, на который падает плоская электромагнитная волна (рис. 1).
Рис. 1. Падение электромагнитной волны на плоский многоугольник.
На рис. 1 использованы следующие обозначения: — направляющий вектор падающей волны, — направляющий вектор точки наблюдения, — вектор нормали к рассеивателю, — вектор единичной внутренней нормали к контуру C, окружающему рассеиватель, — единичный вектор, касательный к контуру, N — количество сторон и вершин многоугольника.
На прямолинейной j-ой стороне, идущей от вершины j — 1 к вершине j, вектор не меняется, а вектор текущей координаты точки контура связан с радиус-вектором исходной вершины , координатой вдоль контура t и постоянным касательным вектором соотношением .
Важную роль играет вспомогательный вектор :
, (1)
представляющий собой проекцию на поверхность рассеивателя разности между направляющими векторами падающей волны и точки наблюдения.
Влияние на рассеянный сигнал формы теневого контура плоского рассеивателя при выполнении условия дальней зоны можно описать при помощи формулы, математически строгой в приближении ФО. При этом интеграл по площади рассеивателя S сводится к интегралу по его контуру C
, (2)
где — единичная внутренняя нормаль к контуру C, окружающему рассеиватель, — единичный вектор, касательный к контуру, t — координата, отсчитываемая вдоль контура.
Ключевую роль в интегралах из (2) играет стоящая в показателе экспоненты функция фазы в точке интегрирования:
. (3)
Если на каких-то участках контура , то интеграл по этим участкам дает наиболее существенный вклад в рассеянное поле. Интеграл (2) [16] представляет другую форму соотношений, полученных в [17] независимо от более ранней работы на эту тему [18].
Просуммировав рассеянное поле по всем сторонам многоугольника, получим
, , (4)
где — фаза сигнала, рассеянного j-ой вершиной с направляющим вектором , — длина j-ой стороны многоугольника (расположенной между (j – 1)-ой и j-ой вершинами).
Впоследствии формулу (4) можно усовершенствовать, выделив в ней дифракционные коэффициенты в приближении ФО и заменив их эталонными решениями — строгими дифракционными коэффициентами на кромке исследуемого рассеивателя. Это было сделано в работах [1, 15, 19, 20].
4.2. Профиль кромки (2D, 2.5D)
При падении ТН- или ТЕ-поляризованной электромагнитной волны на кромку идеально проводящей полуплоскости можно из общего решения выделить дифракционные коэффициенты известной формы [1, 9–11, 15]
(5)
В случае, если граничные условия на безграничной поверхности таковы, что коэффициенты отражения и прохождения равны R и T соответственно, для полуплоскости с теми же граничными условиями из (5) можно получить эвристическую формулу «обобщенного дифракционного коэффициента» для полупрозрачной полуплоскости [1, 15]:
. (6)
При T = 0, выражение (6) совпадает с одним из выражений (5). Таким образом, в зависимости от значения R (6) описывает обе поляризации электромагнитной волны.
Корректируя поведение поля на кромках, в эвристических формулах можно учесть также форму профиля кромки, как при нормальном, так и при наклонном падении. Учет формы кромки при помощи метода обобщенного эйконала реализован в работах [1, 15].
4.3. Граничные условия (1D, 2D, 2.5D)
Помимо формы теневого контура и формы профиля кромки можно также учитывать граничные условия на поверхности рассеивателя. В эвристическую формулу для дифракционного коэффициента идеально проводящей полуплоскости можно добавить коэффициенты отражения и прохождения для плоской безграничной поверхности и получить первичную эвристическую формулу. После проведения процедуры настройки можно получить уточненные формулы, пригодные для исследования нормального и наклонного падения [1, 15].
Для примера рассмотрим падение электромагнитной волны на полуплоскость с двухсторонними импедансными граничными условиями [21, 22]. Геометрия задачи показана на рис. 2.
Рис. 2. Падение ТН-поляризованной электромагнитной волны на полуплоскость.
На рис. 2 показаны две системы угловых координат и , причем , . Это сделано для того, чтобы легче интегрировать в формулы результаты различных работ, в которых применяется либо одна, либо другая система координат.
Введем также обозначения для углов в точках сингулярностей , , откуда следует , . Когда угол точки наблюдения равен одному из углов точек сингулярностей, знаменатель первого или второго слагаемого в выражениях (5) или (6) обнуляется, а соответствующее слагаемое становится сингулярным.
Поскольку в данной статье мы ограничимся изложением лишь методики получения эвристического решения, не будем останавливаться на подробностях получения методом Винера-Хопфа верификационного решения [23, 24], которое здесь и далее по тексту будем называть «решение МВХ».
Для случая падения ТН-поляризованной волны на безграничную поверхность с двухсторонними импедансными граничными условиями коэффициенты отражения и прохождения равны
, , (7)
. (8)
Подставляя выражения и в (6), получим выражение для соответствующего обобщенного дифракционного коэффициента
. (9)
Сравнение эвристического выражения (9) с решением МВХ показывает, что точного соответствия между ними нет, и нужна коррекция (в рамках МБК называемая нами процессом «настройки»). Процесс настройки позволил получить более точное выражение
, (10)
где
. (11)
Числовой коэффициент является множителем, который умножаем на Х. Таким образом, из (10) следует, что окончательная эвристическая формула представляет собой первичную эвристическую формулу (9), умноженную на добавочный множитель.
В первом приближении можно считать, что = 1. Для дальнейшего увеличения точности окончательной эвристической формулы введем формулу количественной оценки точности в виде интеграла по области значений угла
. (12)
Чем ближе между собой функции fr и fh (10), тем меньше значение Lfh (12). Минимизируя функцию Lfh по параметру для каждого значения Х, можно феноменологически найти массив значений , который обеспечивает во всей области значений угла наилучшее совпадение между верификационным решением МВХ и окончательной эвристической функцией (10).
Для данного типа граничных условий (двухсторонние импедансные граничные условия), когда известны аналитические выражения и , оказалось возможным найти аналитическое выражение для функции и сравнить его с ранее найденным массивом значений . Для этого на окончательную эвристическую формулу наложили условие выполнения принципа взаимности. Применительно к эвристической формуле для дифракционного коэффициента принцип взаимности означает, что если в ней поменять местами угловые координаты источника и точки наблюдения, то значение рассеянного поля не изменится. Нетрудно показать, что для формул (5) принцип взаимности выполняется, а для (9) — нет, поскольку коэффициент отражения (7) зависит только от угла падения, ведь в случае безграничной поверхности подразумевается, что отражение происходит под зеркальным углом. А формула дифракционного коэффициента должна содержать оба угла, которые, в общем случае, отличаются. Поэтому подстановка угла рассеяния, отличного от угла падения, приведет к отличию результатов расчета, что противоречит принципу взаимности.
Рассмотрим теперь формулу (10). В соответствии с принципом взаимности должно выполняться равенство
. (13)
Проведя необходимые выкладки [24], можно получить выражение для функции
. (14)
Данная функция полностью соответствует массиву , который был ранее получен феноменологическим образом. Интересно, что функция не зависит от углов и , в то время как параметр имеет слабую зависимость от . Влияние функции на окончательную эвристическую формулу (10) подробно описано в работе [24].
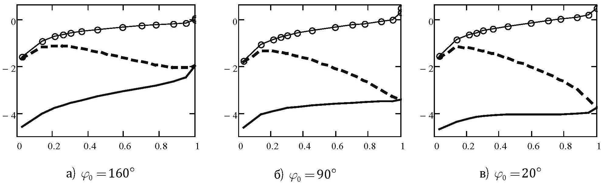
На рис. 3 показаны графики количественной оценки (12) в зависимости от параметра X. Поскольку , для удобства представления результатов введем новую функцию x(X) следующим образом: , и тогда 0 < x(X) < 1.
Рис. 3. Графики количественной оценки для эвристических формул при разных значениях угла падения.
По горизонтали отложены величины x(X), по вертикали отложены параметры количественной оценки (ПКО), полученные по методике (12) для формул (9) и (10). Графики с кружочками соответствуют ПКО для формулы (9). Пунктирная линия соответствует ПКО для формулы (10) при . Сплошная линия соответствует ПКО для формулы (10) для величин , рассчитанных по формуле (14).
Таким образом, в данном случае применение МБК позволяет увеличить точность первичной эвристической формулы (9) на два порядка.
Состав базовых компонентов, как и необходимая точность расчета, определяется требованиями практической задачи. Один из возможных наборов приведен в [15].
5. Приемы МБК
При построении при помощи МБК эвристических формул была продемонстрирована эффективность ряда приемов.
5.1. Выполнение принципа взаимности
Налагая на формулу условие выполнения принципа взаимности, можно подтвердить или, наоборот, опровергнуть правильность этой формулы [24].
5.2. Условная кромка
Условная кромка — это прямая на рассеивателе, по отношению к которой источник и точка наблюдения находятся на дифракционном конусе. Условная кромка совпадает с реальной кромкой в случае, когда реальная кромка является осью дифракционного конуса.
Получение решения на условной кромке является альтернативой традиционным эвристическим методам и, в отличие от ГТД и ФТД (МКВ), удовлетворяет принципу взаимности. Вместе с тем, решение на условной кромке сочетает в себе характерные особенности как ГТД, так и ФТД (МКВ) [1, 15, 19, 20].
5.3. Настроечные параметры в эвристических формулах
В процессе настройки можно применять настроечные параметры, местоположение и величина которых обеспечивают максимальную точность окончательной эвристической формулы.
5.4. Количественная оценка точности
Для сравнения точности разных эвристических формул применяют формулы количественной оценки точности. Их можно применять как для оценки точности, так и в процессе настройки [24].
6. Перспективы применения МБК
6.1. Цели с малой радиолокационной заметностью
Преимущество: можно находить дифракцию импульсов с широким спектром. Уточнение решения ФТД (МКВ) при помощи эвристического решения задачи дифракции на плоском угловом секторе.
6.2. Распространение радиоволн в условиях городской застройки
В рамках МБК была построена теория распространения радиоволн в условиях городской застройки. На предварительно построенной трассе распространения луча находят его ослабление в результате взаимодействия с препятствиями различной формы и с различными граничными условиями.
При вычислении ослабления луча применяется подход «зона, существенная для распространения радиоволн» (ЗСРВ) [25]. В рамках этого подхода луч, проведенный в соответствии с ГТД, окружают пространственной областью, примерно равной первой зоне Френеля, и учитывают влияние только тех объектов (или частей объектов), которые находятся внутри этой зоны. Ослаблением луча другими объектами пренебрегают, что позволяет сэкономить значительную часть ресурсов компьютера.
Этот же подход можно применять в задачах дифракции на радиолокационных целях больших размеров и сложной формы.
6.3. Дифракция упругих волн
Подход МБК можно применять не только в электродинамике, но и в других областях физики. К относительно простым (при выполнении условия дальней зоны) эвристическим формулам можно применять преобразование Фурье и без чрезмерных усилий переходить из частотной области во временну́ю область и обратно. В частности, МБК показывает хорошие результаты при исследовании дифракции упругих волн [1, 26].
6.4. Задачи, связанные с дистанционным зондированием.
Применение МБК к задаче дистанционного зондирования Земли из космоса также показало хорошие результаты [27, 28].
7. Обсуждение
Основной принцип МБК состоит в применении процедуры уточнения эвристической формулы. Для начала данной процедуры нужно иметь первичную эвристическую формулу (например, выражение из числа ТЭП, или комбинацию таких выражений, или другую физически обоснованную формулу) и верификационное решение (расчет или эксперимент). Процедура состоит из следующих шагов: [первичная эвристическая формула + верификационное решение] ⇒ [процесс настройки] ⇒ [окончательная эвристическая формула (компактная и уточненная)]. В процессе настройки с целью увеличения точности к первичной эвристической формуле подбирают добавочные элементы (множители или слагаемые), а также (если есть необходимость) подбирают места расположения и значения настроечных параметров.
Как показано в данной статье, удачно выбранная первичная эвристическая формула может стать основой для получения очень точной (по сравнению не только с ТЭП, но и с верификационным решением) окончательной эвристической формулы. В свою очередь, эта формула может стать основой для дальнейших исследований, т. е. выступить в качестве первичной эвристической формулы при дальнейшем исследовании задач с похожей постановкой. Например, формула (10) может стать основой для решения задачи дифракции на полуплоскости в случае выполнения соотношения (8).
Альтернатива МБК — заранее рассчитанные базы данных значений эталонных задач и гибридные методы [13]. Другая альтернатива — инженерные формулы, имеющие точность, соответствующую заданным параметрам актуальной проблемы, но не имеющие физического обоснования. Такие формулы обычно непригодны для проведения физической интерпретации.
Построенный пакет эвристических формул для 3D задачи можно проверить при помощи численного решения. Если размеры рассеивателя таковы, что строгое численное решение получить невозможно, можно уменьшить размеры рассеивателя и провести сравнение эвристических формул и строгого расчета на уменьшенной модели. При увеличении размера рассеивателя точность эвристических решений лишь увеличивается.
Один способ применения окончательных эвристических формул МБК — использование вместо численных решений в солверах. Другой способ — физическая интерпретация численного решения.
Выводы
Продемонстрировано на ряде примеров, что на основе подхода МБК можно создавать пакеты эффективных (компактных и точных) эвристических формул для описания актуальных проблем, связанных с решениями задач дифракции.
Для применения МБК нужно иметь надежное верификационное решение и первичную эвристическую формулу, соответствующую физическим особенностям задачи и тенденциям поведения верификационного решения.
В свою очередь, правильно подобранный набор эвристических формул с удачно расположенными настроечными параметрами может стать основой создания высокоэффективного (быстродействующего и точного) солвера.
Авторлар туралы
M. Vesnik
Kotelnikov Institute of Radioengineering and Electronics of the Russian Academy of Sciences
Хат алмасуға жауапты Автор.
Email: vesnik@cplire.ru
д. ф.- м. н., в. н. с.
Ресей, MoscowӘдебиет тізімі
- Vesnik, M.V. The Method of the Generalized Eikonal: New Approaches in the Diffraction Theory. Berlin: Walter de Gruyter; 2015. 201 p.
- Морс Ф.М., Фешбах Г. Методы теоретической физики. Том 1. М.: ИЛ, 1958. 931 c.
- Хенл Х., Мауэ А., Вестпфаль К. Теория дифракции. М.: Мир, 1964. 428 c.
- Kravtsov, Y.A., Zhu, N.Y. Theory of diffraction: heuristic approaches. Oxford: Alpha Science Int., 2010. 400 p.
- Борн М., Вольф Э. Основы оптики. М.: Наука, 1973. 719 c.
- Keller, J.B. Geometrical theory of diffraction // J Opt Soc Am. 1962. Vol. 52 (2). P. 116–130. doi: 10.1190/1.9781560803232
- James, G.L. Geometrical Theory of Diffraction for Electromagnetic Waves. London: Peter Peregrinus Ltd., 1976. 264 p.
- Боровиков В.А., Кинбер Б. Е. Геометрическая теория дифракции. М.: Связь, 1978. 247 c.
- Уфимцев П.Я. Метод краевых волн в физической теории дифракции. М.: Сов. радио, 1962. 243 с.
- Уфимцев П.Я. Теория дифракционных краевых волн в электродинамике. Введение в физическую теорию дифракции. М.: БИНОМ. Лаборатория знаний, 2012. 372 с.
- Уфимцев П.Я. Основы физической теории дифракции. М.: БИНОМ. Лаборатория знаний, 2009. 353 c.
- Pelosi, G. et al. High-Frequency Techniques in Diffraction Theory: 50 Years of Achievements in GTD, PTD, and Related Approaches // IEEE Antennas Propag. Magazine. 2013. Vol. 55. Iss. 4. P. 17–19. doi: 10.1109/MAP. 2013.6645133
- Кюркчан А.Г., Смирнова Н. И. Математическое моделирование в теории дифракции с использованием априорной информации об аналитических свойствах решения. М.: Медиа Паблишер, 2014. 226 с.
- Весник М.В. Точки стационарной фазы, области постоянной фазы и зона, существенная для распространения радиоволн в задачах дифракции // Сборник трудов VI Всероссийской Микроволновой конференции, ИРЭ им. В.А. Котельникова РАН, 2018. C. 189–193.
- Весник М.В. Физическая интерпретация математически строгого решения задачи дифракции при помощи эвристических формул // Современная математика. Фундаментальные направления. 2016. Т. 62. C. 32–52.
- Vesnik, M.V. Elimination of Infinites in Diffraction Coefficients of Physical Optics Current’s Components for a Shadow Contour of a Scatterer // Proceedings of the 1995 International Symposium on Electromagnetic Theory, 1995. P. 407–409.
- Vesnik, M.V., Ufimtsev, P.Ya. An Asymptotic Feature of Corner Waves Scattered by Polygonal Plates // Electromagnetics. 1992. Vol. 12. Iss. 3–4. P. 265–272. doi: 10.1080/02726349208908315
- Gordon, W.B. Far field approximations to the Kirchhoff-Helmholtz representations of scattered fields // IEEE Trans. A&P. 1975. Vol. 23. Iss. 4. P. 590–592. doi: 10.1109/TAP. 1975.1141105
- Весник М.В. Свойства дифракционных коэффициентов в задаче дифракции на трехмерном плоском многоугольнике. Ч. 1: Основы метода базовых компонентов // Радиотехника и электроника. 2020. Т. 65. № 11. C. 1052–1060. doi: 10.31857/S0033849420110194
- Весник М.В. Свойства дифракционных коэффициентов в задаче дифракции на трехмерном плоском многоугольнике. Ч. 2: Применение метода базовых компонентов для решения практических задач // Радиотехника и электроника. 2020. Т. 65. № 12. C. 1147–1159. doi: 10.31857/S0033849420120189
- Весник М.В. Применение метода базовых компонентов для получения эвристического решения задачи дифракции на полуплоскости с неидеальными граничными условиями // Радиотехника и электроника. 2019. Т. 64. № 11. C. 1103–1109. doi: 10.1134/S003384941911024X
- Банков С.Е., Весник М. В., Кравченко В. Ф.. Эвристическое решение задачи дифракции на сверхпроводящей полуплоскости // Радиотехника и электроника. 2020. Т. 65. № 4. C. 363–371. doi: 10.31857/S0033849420040014
- Vesnik, M. Physical Interpretation of the Solution to the Problem of Diffraction on a Half-plane with Non-Ideal Boundary Conditions // Journal of Engineering Research and Sciences. 2022. Vol. 1. Iss. 3. P. 52–58. doi: 10.55708/js0103006
- Vesnik, M.V. A technique for obtaining analytical heuristic solutions in problems of diffraction on two-dimensional semi-infinite objects with non-ideal boundary conditions // Waves in Random and Complex Media. 2022. P. 1–17. doi: 10.1080/17455030.2022.2108160
- Весник М.В. Учет дифракционного ослабления на трассах распространения радиоволн в условиях городской застройки // Физические основы приборостроения. 2018. Т. 7. № 1 (27). С. 73–78.
- Vesnik, M.V. Analytical heuristic solution for the problem of elastic wave diffraction by a polygonal flat 3D scatterer // Abstracts of International conference Days on Diffraction, St. Petersburg, 2013. P. 27–31.
- Данилычев М.В., Смирнов М. Т., Весник М. В., Кутуза Б. Г. Вклад радиоизлучения Солнца в излучение морской поверхности в L-диапазоне // Материалы 14-й Международной научно-технической конференции Акустооптические и радиолокационные методы измерений и обработки информации. 2021. C. 40–47. doi: 10.25210/armimp-2021
- Данилычев М.В., Весник М. В., Смирнов М. Т., Кутуза Б. Г. Вклад радиоизлучения Солнца на частоте 1.42 ГГц в излучение морской поверхности. Сравнение результатов эксперимента и модельных расчетов // Материалы 19-й Международной конференции «Современные проблемы дистанционного зондирования Земли из космоса». Электронный сборник материалов конференции. Институт космических исследований Российской академии наук. Москва, 2021. С. 18. doi: 10.21046/19DZZconf-2021a
Қосымша файлдар





