A New Method for Express Detection of Antibiotic Resistance
- 作者: Pleskova S.N.1,2, Lazarenko E.V.1,2, Sudakova I.S.2, Kriukov R.N.1, Bezrukov N.A.1,2
-
隶属关系:
- N.I. Lobachevsky Nizhny Novgorod State University, Ministry of Science and Higher Education
- R.E. Alekseev Nizhny Novgorod State Technical University, Ministry of Science and Higher Education
- 期: 卷 59, 编号 1 (2023)
- 页面: 74-80
- 栏目: Articles
- URL: https://journals.rcsi.science/0555-1099/article/view/138745
- DOI: https://doi.org/10.31857/S0555109923010075
- EDN: https://elibrary.ru/CVOIPK
- ID: 138745
如何引用文章
全文:
详细
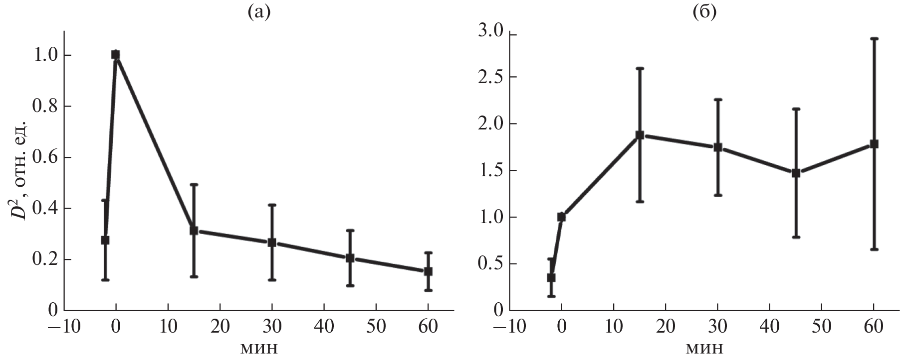
The oscillation mode of an atomic force microscope (AFM) was used to create a highly sensitive real-time detection system for antibiotic resistance. This mode allows to evaluate the sensitivity or resistance of Gram-negative (Escherichia coli) and Gram-positive (Staphylococcus aureus) bacteria to an antibiotic in 15–30 minutes. The analytical signal (changes in the amplitude-frequency characteristics of the cantilever) is based on the metabolic activity of bacteria. Bacteria was adding on the cantilever and was causing it to oscillate with high amplitude. If the bacteria are sensitive to the antibiotic, the amplitude drops statistically significant within 15–30 minutes, if the bacteria are resistant, then the amplitude either does not change or increases. The obtained results were comparable with the disk diffusion method.
作者简介
S. Pleskova
N.I. Lobachevsky Nizhny Novgorod State University,Ministry of Science and Higher Education; R.E. Alekseev Nizhny Novgorod State Technical University,
Ministry of Science and Higher Education
编辑信件的主要联系方式.
Email: pleskova@mail.ru
Russia, 603950, Nizhny Novgorod; Russia, 603115, Nizhny Novgorod
E. Lazarenko
N.I. Lobachevsky Nizhny Novgorod State University,Ministry of Science and Higher Education; R.E. Alekseev Nizhny Novgorod State Technical University,
Ministry of Science and Higher Education
Email: pleskova@mail.ru
Russia, 603950, Nizhny Novgorod; Russia, 603115, Nizhny Novgorod
I. Sudakova
R.E. Alekseev Nizhny Novgorod State Technical University,Ministry of Science and Higher Education
Email: pleskova@mail.ru
Russia, 603115, Nizhny Novgorod
R. Kriukov
N.I. Lobachevsky Nizhny Novgorod State University,Ministry of Science and Higher Education
Email: pleskova@mail.ru
Russia, 603950, Nizhny Novgorod
N. Bezrukov
N.I. Lobachevsky Nizhny Novgorod State University,Ministry of Science and Higher Education; R.E. Alekseev Nizhny Novgorod State Technical University,
Ministry of Science and Higher Education
Email: pleskova@mail.ru
Russia, 603950, Nizhny Novgorod; Russia, 603115, Nizhny Novgorod
参考
- Crofts T.S., Gasparrini A.J., Dantas G. // Nat. Rev. Microbiol. 2017. V. 15. P. 422–434.
- Davies J., Davies D. // Microbiol. Mol. 2010. V. 74. № 3. P. 417–433.
- Liu B., Pop M. // Nucleic Acids Res. 2009. V. 37. № 1. P. 443–447.
- Nathwani D., Varghese D., Stephens J., Ansari W., Martin S., Charbonneau C. // Antimicrob. Resist. Infect. Control. 2019. V. 8. № 35. https://doi.org/10.1186/s13756-019-0471-0
- CLSI, Performance Standards for Antimicrobial Disk Susceptibility Tests, Approved Standard / Ed. 7, CLSI document M02-A11. Clinical and Laboratory Standards Institute, 2012.
- CLSI, Method for Antifungal Disk Diffusion Susceptibility Testing of Yeasts, Approved Guideline. / Ed. 2, CLSI document M44-A. Clinical and Laboratory Standards Institute, 2004.
- Balouiri M., Sadiki M., Ibnsouda S.K. // J. Pharm. Anal. 2016. V. 6. № 2. P. 71–79.
- Kasas S., Ruggeri F.S., Benadiba C., Maillard C., Stupar P., Tournu H. et al. // Proc. Natl. Acad. Sci. 2015. V. 112. № 2. P. 378–381.
- Venturelli L., Kohler A.C., Stupar P., Villalba M.I., Kalauzi A., Radotic K. et al. // J. Mol. Recognit. 2020. V. 33. № 12. P. 1–14.
- Pleskova S.N., Fomichev O.I., Kriukov R.N, Sudakova I.S. // Biophysics. 2021. V. 66. № 6. P. 950–955.
- Villalba M.I., Stupar P., Chomicki W., Bertacchi M., Dietler G., Arnal L. et al. // Small. 2018. V. 14. № 4. 1702671. https://doi.org/10.1002/smll.201702671
- Kasas S., Malovichko A., Villalba M.I., Vela M.E., Yantorno O., Willaert R.G. // Antibiotics. 2021. V. 10. № 3. 287. https://doi.org/10.3390/antibiotics10030287
- Pal S., Sayana A., Joshi A., Juyal D. // J. Family Med. Prim. Care. 2019. V. 8. № 11. P. 3600–3606.
- Lee D.S., Lee S.J., Choe H.S. // Biomed. Res. Int. 2018. V. 26. 7656752. https://doi.org/10.1155/2018/7656752
- Willaert R.G., Vanden Boer P., Malovichko A., Alioscha-Perez M., Radotic K., Bartolic D. et al. // Sci. Adv. 2020. V. 6. № 26. eaba3139. https://doi.org/10.1126/sciadv.aba3139
- Munita J.M., Cesar A. // Microbiol. Spectr. 2016. V. 4. № 2. 1128. https://doi.org/10.1128/microbiolspec.VMBF-0016-2015





